成果介绍
频率选择或甚至频率可调的太赫兹(THz)光器件是许多需要纳米级操作、控制和光限制技术应用的关键组件。在这种情况下,基于等离激元共振的栅极可调谐光电晶体管通常被认为是THz辐射频率选择探测的最有前途器件。利用等离激元波在这种探测器中的相消干涉不仅保证了频率的选择性,而且还显著提高了目标频率的灵敏度。然而,到目前为止,THz探测器中等离激元辅助共振的清晰特征仅在低温下被揭示出来,在与应用相关的室温条件下仍未被观察到。
有鉴于此,近日,西班牙萨拉曼卡大学Juan A. Delgado-Notario等展示了在高质量单层石墨烯制成的短沟道栅控光电探测器中对THz辐射的室温共振探测。这种有趣的谐振状态在室温下的存在最终依赖于单层石墨烯中弱的本征电子-声子散射,这避免了器件沟道中存在的等离激元振荡的阻尼。
图文导读

图1. 石墨烯基谐振THz光电探测器。

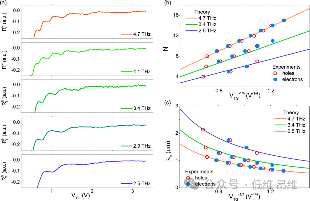
图2. 谐振THz光电探测的频率相关性。

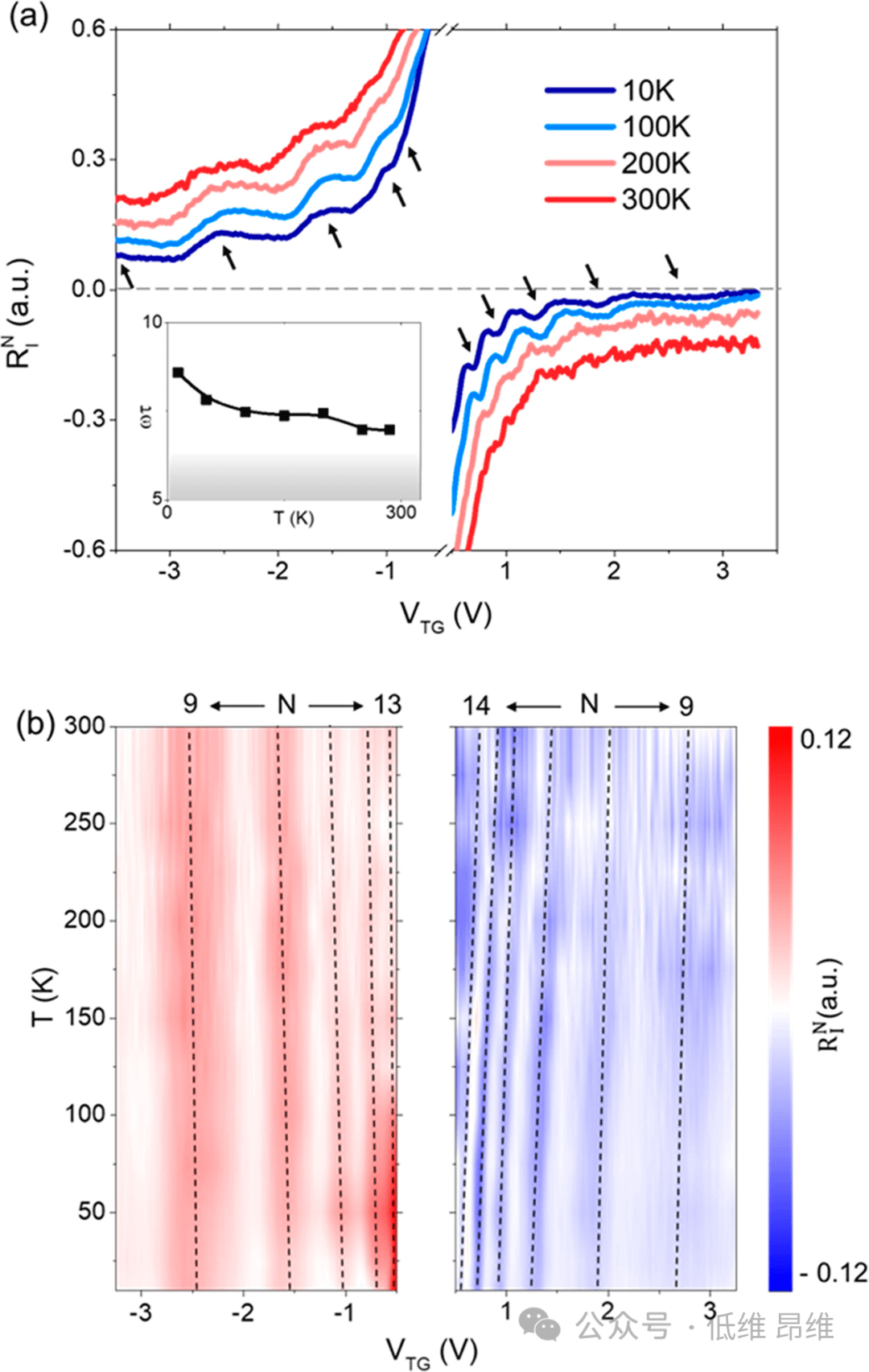
图3. 等离激元共振的温度演变。
文献信息
Room-Temperature Plasmon-Assisted Resonant THz Detection in Single-Layer Graphene Transistors
(Nano Lett., 2024, DOI:10.1021/acs.nanolett.3c04300)
文献链接:https://pubs.acs.org/doi/10.1021/acs.nanolett.3c04300
本文来自低维 昂维,本文观点不代表石墨烯网立场,转载请联系原作者。
