论文信息:
S. Ali Hassani Gangaraj, Boyuan Jin, Christos Argyropoulos and Francesco Monticone, Enhanced Nonlinear Optical Effects in Drift-Biased Nonreciprocal Graphene Plasmonics, ACS Photonics 2023.
论文链接:https://doi.org/10.1021/acsphotonics.3c00491
研究背景
非线性光-物质相互作用通常需要增加局部场及其与物质的相互作用时间来实现增强。传统方法基于共振或慢光效应,但存在带宽很窄、结构过大和材料吸收等各种问题。非互易系统提供了一种替代方法:通过阻断非互易波导结构中单向波的路径,宽带电磁场可以在端接附近急剧增强和局部化。以前这种方法只在三维陀螺材料平台上进行过研究,需要外部磁铁和笨重的材料,并不实用。本文我们采用无磁机制来打破二维等离子体材料中的互易性。利用电压偏置的石墨烯片上的高速漂移电子来提升表面等离子体极化波色散的正向/反向简并,从而创建具有与电流平行和反平行的不同传播特性的模式。在石墨烯超表面的边缘产生了可控、非对称和较强的场热点,理论上证明了这种非对称场热点可以增强三阶非线性光学效应。
研究内容
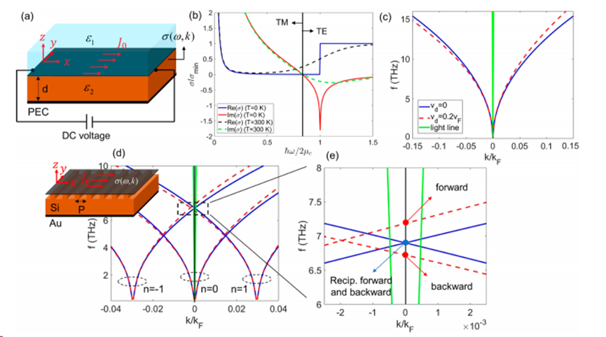
结构设置如图1a所示,假设石墨烯被放置在硅和真空之间的界面上。硅层厚度d = 2 μm。如图1b,在没有漂移电流的情况下,色散曲线由两个对称分支(蓝色实线)组成,表示互易和两个相同的反传播模式。相反,如果石墨烯薄片被漂移的电子偏置,则对称性破坏(红色虚线),这表明沿+ x和- x方向的非互易性和不同的传播特性。图1c显示了不同电子漂移速度下TM激发SPPs的色散关系。图1d选择周期P使光栅补偿面波与入射平面波之间的矢量失配,将石墨烯片置于硅光栅与真空的交界面,则可以利用传播平面波激发发射石墨烯spp。图1d显示了基本次谐波(n = 0)和第一次空间谐波(n =±1)。第一次谐波进入光锥并在k = 0处穿过垂直轴,这意味着SPPs可能被平面波激发。图1e显示了不同漂移速度下光锥周围的放大视图。在没有漂移电子的情况下,向后和向前传播模式在同一点(蓝点)穿过k = 0轴,这意味着如果结构正常照射,我们预计在交叉点的频率周围会出现吸收共振。相反,在存在漂移电子的情况下,反向和正向传播模式以不同的频率(红点)穿过k = 0轴,这意味着一旦系统偏置,共振分裂成两个不同的共振,与非互易等离子体子传播平行和反平行的漂移电子有关。

图1 (a)支持漂移电子的石墨烯片。纵向电压在介电常数为ϵ1的半无限介电介质和介电常数为ϵ2的接地介电介质之间的石墨烯层中诱导电子漂移(PEC表示完美的电导体)。(b)石墨烯在室温、T = 300 K和T = 0 K时的电导率。(c)石墨烯层支撑的SPPs在不同漂移速度下的色散图。 (d)光栅周期性P = 0.7 μm的光栅硅衬底上石墨烯片支撑的SPPs色散图。 (e)图(d)围绕光线(绿色实线)的放大视图。
紧接着,我们研究了漂移偏置石墨烯支持的不对称spp在端接石墨烯结构中产生强场热点的潜力。结构如图2a所示。石墨烯薄片被放置在波纹硅衬底的顶部。石墨烯在沿x轴的两端由有损耗的不透明材料(例如导电材料)终止,其介电常数遵循Drude模型。图2a中的这些障碍有两个目的:增强终端处的场热点强度,并为石墨烯样品提供电压门。障壁沿石墨烯边缘均匀分布;因此,电压和产生的电流分布也是均匀的。整个结构通常由沿y轴磁场的平面波照射以激发TM波SPPs。分析图2a中结构支撑的石墨烯等离子体对不同漂移速度值的光吸收。如图2b所示,其中当正常入射的光共振激发由石墨烯片支撑的SPP的动量匹配的空间谐波时,吸收峰出现。很明显,在漂移电子的存在下,SPP吸收峰分裂成两个不同的共振,这些共振与SPP沿着和反对漂移电子传播有关。这些不对称表面模式的出现可以通过观察色散图来证实。图2c显示了与图2a相同结构的SPP色散曲线,但扩展到无穷远。
在非偏置和电流偏置情况下,沿石墨烯表面的电场大小如图2d – f所示。在没有漂移电子的情况下,对称的正向和反向传播的spp在石墨烯片的两端产生相等和对称的场热点。然而,当石墨烯被漂移电流偏置时,正向和反向传播模式之间的不对称性导致了两端的不对称热点。图2e显示了图2b中存在漂移电流时的低频吸收峰。在这个频率下,我们有一个更强的反向传播模式(图2c);因此,热点在左端更强烈。相反,图2b中的高频吸收峰与前向传播模式有关(见图2c插图)。这导致在端接石墨烯结构的右端产生更强、更强的场热点,如图2f所示。

图2。(a)结构示意图。(b)吸收随两个vd值的入射频率的函数。随着vd的增大,SPP共振峰分成两个不同的共振峰。(c)由石墨烯片支撑的SPPs在横向无限的硅衬底光栅上的色散图。插图显示了光线(绿色实线)周围的放大视图。(d−f) (d)无偏置情况下,(e)电流偏置,低频峰,(f)电流偏置,高频峰,石墨烯片吸收峰频率处的电场大小分布。插图分别显示了每种情况下xz平面上电场大小的空间分布。
为了证明漂移偏置非互易石墨烯系统增强的非线性光学效应,研究了三次谐波产生(THG)非线性过程。图2a中系统计算的THG转换效率作为入射频率的函数如图3a所示,在石墨烯片中有(红线)和没有(蓝线)漂移电流偏置。当漂移速度vd = 0.2vF时,在图2b所示的谐振频率下,线性情况下的非互易THG转换效率可高达0.3%。当vd = 0.2vF时的非互易THG转换效率比vd = 0时的倒易THG转换效率大约大3个数量级,当结果围绕两个共振峰值频率进行比较时。最后,通过增加输入强度可以进一步提高THG转换效率,如图3b、c所示,分别为互反和非互反情况,其中效率是在位于f = 17.8 THz的非互反共振峰处计算的。

图3。(a)图2a中vd = 0和vd = 0.2vF石墨烯结构的THG转换效率与入射频率f的关系。(b) vd = 0和(c) vd = 0.2vF情况下,THG转换效率作为输入强度的函数。
结论与展望
直流电可以在石墨烯上产生超高的电子漂移速度, 这提供了一种额外的机制来控制SPPs在石墨烯上的传播特性。特别是,漂移电子的存在使得石墨烯的光学导电性是非局部和非互易的,这一特性允许在SPP沿着或反对电子流的传播中提升正向/反向简并。通过在端接石墨烯结构上施加直流电流,可以产生可控的、不对称的强场热点,其中电场在端接处被强烈定位和增强。由于三阶非线性极化与局部电场的三次幂成正比,使用这种策略可以提高石墨烯的非线性光学响应。在实际漂移速度值和等离子激元共振频率下,THG转换效率可以高达0.3%。我们的理论发现进一步证明了电流偏态非互易系统在增强和反常光-物质相互作用方面的潜力。石墨烯等离子体为实际系统中实现这些效应提供了理想平台。
本文来自热辐射与微纳光子学,本文观点不代表石墨烯网立场,转载请联系原作者。
