作者信息
第一作者:胡冰洁、吴尧
通讯作者:王亮、刘政、雷振东
通讯单位:上海大学、南洋理工大学
开发先进高效的合成方法对于二维(2D)材料的广泛应用至关重要,基于此,上海大学王亮研究员联合新加坡南洋理工大学刘政教授团队近日在二维半导体催化剂的克级制备上取得重要进展。相关成果以“Gram-Scale Mechanochemical Synthesis of Atom-Layer MoS2 Semiconductor Electrocatalyst via Functionalized Graphene Quantum Dots for Efficient Hydrogen Evolution”发表在材料科学领域期刊《Small》(影响因子为13.3)。本研究提出了一种简单且可扩展的无溶剂机械剥离方法,采用石墨烯量子点(GQDs)作为剥离剂,用于近原子层二硫化钼纳米片的合成和功能化。所制得的二硫化钼纳米片(ALMS)显示出 4 nm的超薄平均厚度,并表现出高溶剂稳定性。值得注意的是,ALMS的产率高达63%,表明此方法所生产的稳定纳米片对于大规模生产应用的潜力。此外,ALMS催化剂表现出非凡的电化学稳定性,保持稳定的性能近200小时,突出了其作为高效耐用的电催化剂的潜力。这种GQDs辅助的大规模机械合成途径为开发高效高性能的超薄2D材料提供了一条行之有效的途径。
研究背景
半导体二维二硫化钼(2D-MoS2)是一种高度研究的过渡金属二硫族化物,由于其具有低成本、高比表面积和表面反应性,已经成为析氢应用中有前途的电催化剂。然而,在迄今开发的用于合成2D-MoS2的各种策略中,液体辅助剥离方法所需用于稳定2D-MoS2的表面活性剂的存在会阻碍其导电性,从而限制其电催化性能;化学辅助插层技术则难以产生大面积的2D-MoS2;溶剂热法的缺点包括所获产物层数不受控制,以及需要高压的苛刻合成条件。因此,化学球磨法由于其简单高效、可扩展性、高成本效益和环境相容性,已经成为一种广泛采用的大规模合成二维催化材料技术。
图文导读
I. ALMS的机械制备。

图 1 ALMS 合成示意图。
如图1所示,ALMS是通过球磨法合成的。球磨过程中引入的GQDs因表面SO3基团改性而提高的表面自由能,用于辅助剥离获得ALMS。此外,用作剥离剂的GQDs可以回收循环利用,节省了球磨原料的消耗,降低了成本,并增加了大规模生产的产量。因此,单个反应中产生约1.27g催化剂,最终产率达到63%,超薄ALMS的可扩展大规模制备得以实现。
II. ALMS的形貌表征。

图2 分散在溶剂中的bulk MoS2(左)和ALMS(右)在静置2天前(a)与后(b)的图像;(c)GQDs溶液在可见光(左)和365 nm紫外光(右)下的照片;(d)SO3-GQDs的TEM图像;(e)SO3-GQDs的高分辨率TEM图像;(f)SO3-GQDs的AFM图像;(g)ALMS的TEM图像;(h)SO3-GQDs的高分辨率TEM图像;(i)SO3-GQDs的AFM图像。
如图2a所示,ALMS的分散体显示出明显的丁达尔效应。此外,与bulk MoS2相比,ALMS在异丙醇溶液中的稳定性显著提高,证明了ALMS纳米片的优异稳定性和分散特性。随后,TEM图像进一步阐明ALMS的形态,揭示了ALMS的纳米片状结构,厚度约4 nm (图2i)。ALMS的HRTEM 图像清楚地显示出0.27 nm的晶格间距,对应于2H MoS2的(100)晶格平面(JCPDS 65-2023)。附着的GQDs显示出与 MoS2纳米片的紧密连接,表明合成样品的高质量。
III.ALMS的结构表征。

图 3 ALMS和bulk MoS2的结构表征。(a)XRD图谱;(b)拉曼光谱;(c)XPS总谱;(d)XPS Mo 3d光谱;(e)XPS S 2p光谱;(f)CO2-TPD;(g)NH3-TPD;(h)电导率测试;(i)接触角测试。
结构表征则进一步显示出ALMS的2H结构,XRD图中特征峰位于(100)晶面处与HRTEM表征结果一致(图 3a),而拉曼光谱(图 3b)中380和406 cm-1处的峰值分别对应于面内E2g和面外A1g振动模式,对应于ALMS的2H相。XPS测量进一步确定ALMS的表面成分和化学状态,其中,在168.4和169.6 eV处的峰归属于-SO3H 官能团,这为磺酸基团参与MoS2电子结构的调节提供了重要证据。CO2-TPD和NH3– TPD实验研究了合成ALMS样品的化学吸附性能,ALMS与bulk MoS2相比,表现出显著增强的CO2和NH3吸附能力。电导率测试结果表明,相比于bulk MoS2(0.032 S·m-1),ALMS具有更出色的导电性能(20.9 S·m-1)。接触角测量结果得到ALMS表现出较小的接触角,表明ALMS表面的优异亲水性,有助于增强电解质在催化剂表面上的吸附,并促进更有效的制氢。总的来说,这些全面的表征证实了ALMS作为电解水领域中非常有前途的催化剂的潜在性质。
Ⅳ.ALMS的HER测试。

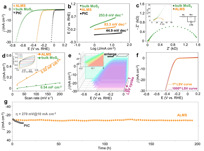
图 4 (a)在0.5 M H2SO4中进行测试的ALMS、bulk MoS2和Pt/C的LSV曲线;(b)相对应于(a)中LSV曲线的塔菲尔斜率;(c)bulk MoS2和ALMS的奈奎斯特图;(d)bulk MoS2和ALMS在0.25 V下测得的电容电流与RHE之比,(d)中插图显示了扫描速率为20至200 mV S-1时ALMS的循环伏安图;(e)ALMS的LSV曲线;(f)1000个循环前后测量的ALMS的LSV曲线;(d)相对于RHE为270mV下ALMS的计时电流曲线。
线性扫描伏安法(LSV)曲线(图4a)显示,ALMS在10 mA cm-2下展现出约270 mV的过电位,明显优于bulk MoS2催化剂(~600 mV)。相比之下,ALMS表现出较低的Tafel斜率(83.3 mV dec-1)(图4b)和较低的电荷转移电阻(48 Ω)(图4c)。利用循环伏安法测量的电化学双电层电容(Cdl)而评估催化剂的电化学表面积(ESCA)(图4d),ALMS更大的Cdl值(2.52 mF cm-2),表明其更大的ESCA。此外,ALMS 催化剂在电流测量中表现出非凡的长期耐久性,因为电流密度在近200小时内保持稳定(图4g),这种非凡的稳定性可归因于GQDs和MoS2之间的强相互作用,以及有利于有效释放H2气泡的宽敞开放的纳米片结构的存在。这些发现显示出ALMS作为一种高效持久的催化剂的潜力。
Ⅳ.机械球磨的可扩展生产优化。

图 5 (a)不同球磨速度下制备样品(MoS2-1200、MoS2-1400、MoS2-1600和MoS2-1800)的LSV曲线;(b)MoS2-1200、MoS2-1400、MoS2-1600和MoS2-1800的塔菲尔斜率;(c)MoS2-1200、MoS2-1400、MoS2-1600和MoS2-1800的奈奎斯特图;(d)不同球磨时间下制备样品(MoS2-6、MoS2-12和MoS2-15)的LSV曲线;(e)MoS2-6、MoS2-12和MoS2-15的塔菲尔斜率;(f)MoS2-6、MoS2-12和MoS2-15的奈奎斯特图;(g)不同球磨条件下样品的过电位分析;(h)不同球磨时间样品的过电位曲线分析;(i)不同球磨条件下样品的过电位火山图。
为了提高通过机械剥离制备二硫化钼纳米片的效率并实现最佳生产,本文对球磨工艺参数,包括转速和时间的影响进行了系统的研究。如图5a所示,使用极化曲线表征在不同球磨速度下获得的样品。在1200 rpm的球磨速度下合成的MoS2-1200表现出高达520 mV的过电位,当球磨速度升高,MoS2-1400仍然显示出450 mV的较高过电位,而MoS2-1600显示出270 mV的过电位,将球磨速度进一步提高到1800 rpm,导致MoS2-1800的过电位略微升高,为340 mV。由此,最终1600 rpm被选定为最佳球磨速度。为了深入了解催化剂的反应动力学,采用了Tafel斜率。如图5b所示,MoS2-1200、MoS2-1400、MoS2-1600和MoS2-1800的Tafel斜率分别为206.5、212.8、83.3和273 mV dec-1。这表明在相同的外加过电位下,MoS2-1600表现出最快的Volmer步骤动力学。此外,与MoS2-1200、MoS2-1400和MoS2-1800相比,MoS2-1600的Rct(48 Ω)显著降低(图5c),表明制备过程中1600 rpm有助于提高电导率和改善电子迁移。类似地,接着评估了不同球磨时间(6 h、12 h和15 h)下的催化剂性能(图5d-f),确定12 h为最佳球磨时间。根据观察到的过电位随速度和时间变化的趋势(图5g-i),本研究确定1600 rpm和12 h为最佳球磨条件。这些发现为大规模机械生产提供了有价值的见解,并有助于通过机械剥离开发高效和高性能的二硫化钼纳米片。
结果与讨论
本文提出了一种简单有效的一步合成法,在球磨过程中利用GQDs作为剥离剂来合成和功能化近原子层的MoS2纳米片(ALMS)。这种无溶剂方法展现了显著的优势,包括大规模生产的可扩展性、高产率以及消除对苛刻反应要求的需求,如,有机溶剂、催化剂或真空环境。
(1)本文提出了一种简单、高产率、无溶剂、环保的机械剥离方法,GQDs辅助剥离克级合成了厚度约4 nm的ALMS。
(2)ALMS表现出高溶剂稳定性,相较于bulk MoS2能在异丙醇溶剂中保持更长时间的分散。
(3)ALMS作为催化剂用于电解水析氢,稳定工作近200 h,表现出优异的电化学稳定性,展现了其作为高效耐用的电催化剂的潜力。
文章信息
论文链接:https://onlinelibrary.wiley.com/doi/10.1002/smll.202305344
本文来自催化计,本文观点不代表石墨烯网立场,转载请联系原作者。
