石墨烯是实现高性能和多功能聚丙烯(PP)复合材料的潜在候选者。然而,石墨烯的制造工艺复杂、分散性低,以及石墨烯与聚丙烯链之间的界面附着力差,阻碍了石墨烯/聚丙烯复合材料的大规模生产和应用。在这里,我们开发了一种马来酸酐接枝聚丙烯(MAPP)胶乳辅助石墨烯剥离和熔融共混的策略,以解决工业生产中面临的关键挑战。石墨前体的表面性质经过精心设计,可实现约100%的高石墨烯剥离率,并在获得的轻度氧化石墨烯(MOG)片和MAPP链之间诱导大量氢键。因此,MAPP改性的MOG可以均匀地分散在PP基体中,并与聚合物表现出优异的界面相容性。添加5wt%的MOG可使初始分解温度、结晶温度、拉伸强度和杨氏模量同时提高43.2、11.4°C、21.5和50.7%,电导率提高到0.02 s·m–1。这项工作说明了通过石墨烯的同步剥离和界面改性,低成本、环保且可行的石墨烯/PP复合材料工业生产的实用解决方案。

图1.MAPP/MOG分散体和PP-M/MOG纳米复合材料的制备。(a) MOG的剥离和通过熔融共混形成PP-M/MOG纳米复合材料的示意图。(b)MAPP胶乳(左)和MAPP/MOG分散体(右),(c)MAPP/MOG母料,和(d)模压PP-M/MOG纳米复合材料的光学图像。

图2:剥离MOG片材的形态和结构。(a) 剥离的MOG片材的TEM图像。(b) HRTEM图像显示了剥离的MOG片材的两层结构的边缘。(c) (b)中对应的SAED图像。(d) 分散良好的剥离MOG片材的TEM图像。(e) 根据200张计算的MOG片材的横向尺寸分布。(f) 几层MOG片的AFM图像。

图3.CEG的界面工程以及MOG和MAPP之间的非共价相互作用。(a) CEG和MOCEG的XRD图谱和(b)TGA曲线。(c) MOCEG的XPS C1s峰和组分拟合。(d) 拉曼光谱和(e)GNS和MOG的G带的相应放大图。(f) MAPP胶乳(黑色)、MAPP/GNS分散体(绿色)和MAPP/MOG分散体在离心前(红色)和离心后(蓝色)的紫外-可见吸收光谱。(g) MAPP分子在GNS和MOG片上的吸附能。MAPP与(h)GNS和(i)MOG的RDG散点图,橙色矩形显示MOG和MAPP之间的强氢键相互作用。

图4.PP-M/MOG纳米复合材料的微观形态。(a–h)具有(a,e)0.5、(b,f)1、(c,g)3和(d,h)5wt%的各种MOG负载量的PP-M/MOG纳米复合材料的冷冻断裂表面的FESEM图像。(i) 1D SAXS曲线。(j) 洛伦兹校正SAXS曲线。(k) 长期厚度。(l) 不同MOG含量的PP-M/MOG纳米复合材料的2D SAXS图谱。

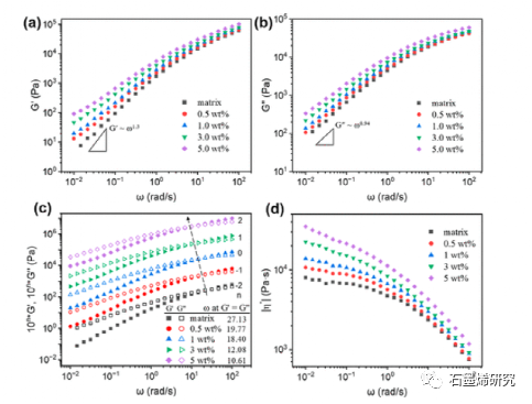
图5.PP-M/MOG纳米复合材料的流变性能。(a) 储能模量(G′)。(b) 损耗模量(G〃)。(c) G′和G〃沿Y轴分别乘以10n。(d) 具有不同MOG含量的PP-M/MOG纳米复合材料在180°C下的复粘度(η*)与角频率(ω)。

图6. PP-M/MOG纳米复合材料的热降解和结晶性能。(a) TG曲线。(b) 不同MOG含量的PP-M/MOG纳米复合材料的Tonset、T–50和Tmax直方图。(c) 所制备的PP-M/MOG-5与填充有不同纳米填料的PP纳米复合材料的ΔTonset的比较。(d) 结晶曲线。(e) 熔化曲线。(f) 不同MOG含量的PP-M/MOG纳米复合材料的熔融焓和结晶度。

图7.PP-M/GNS和PP-M/MOG纳米复合材料的力学性能。(a)PP-M/GNS和(b)PP-M/MOG纳米复合材料的拉伸应力-应变曲线。(c)不同填料含量的复合材料的拉伸强度和杨氏模量。(d–k)具有(f,g)0.5、(h,i)1和(j,k)5wt%MOG负载量的(d,e)PP-M基体和PP-M/MOG纳米复合材料的拉伸断裂表面的FESEM图像。

图8.PP-M基体和PP-M/MOG纳米复合材料的电导率。
相关研究成果由复旦大学Yizhen Shao和Hongbin Lu等人2023年发表在ACS Applied Materials & Interfaces (https://doi.org/10.1021/acsami.3c06185)上。原文:Straightforward Strategy Toward In Situ Water-Phase Exfoliation and Improved Interfacial Adhesion to Fabricate High-Performance Polypropylene/Graphene Nanocomposites。
本文来自石墨烯研究,本文观点不代表石墨烯网立场,转载请联系原作者。
