本期推荐广西科技大学蓝永庭教授团队开展的镁合金在模拟体液中抗腐蚀性能的研究进展情况。论文题目为:石墨烯对AZ31镁合金在模拟体液中腐蚀性能的影响,发表在《有色金属工程》2023年第6期。
引文格式:刘乃华,华振虎,蓝永庭. 石墨烯对AZ31镁合金在模拟体液中腐蚀性能的影响[J].有色金属工程,2023, 13(6):1-8 .
LIU NaiHua,HUA ZhenHua,LANG YongTing.Effect of graphene on the corrosion performance of AZ31 magnesium alloy in simulated body fluids[J].Nonferrous Metals Engineering, 2023, 13(6):1-8 .
研究背景
生物医疗植入器械对新型金属生物材料的需求一直在不断增长,以满足社会发展导致的一些因交通事故、运动损伤、骨质老化造成的骨损伤的人们需求,这些通常需要植入器械来辅助治疗。镁合金作为热门的新型医疗植入材料,不仅具有良好的生相容性和力学性能,而且具有与人体骨骼相近的密度和弹性模量。相较其他金属材料更可以有效避免应力遮挡效应,从而植入人体后稳定性更佳。尽管镁合金良好的导热性能和无磁性,便于后期治疗,但镁合金本身耐腐蚀性较差,限制了其在医疗领域的广泛应用。
研究进展
近年来关于在镁合金中添加石墨烯的研究发展快速,国内外研究学者发现石墨烯(GNPs)其独特的蜂窝状晶格结构,能够使其拥有良好的致密性,可以有效阻隔大部分腐蚀介质,是一种绝佳的耐腐蚀性材料。诸多研究表明石墨烯合金化不仅可以提高镁合金的耐腐蚀性,而且可以提高镁合金的力学性能。
研究采用石墨烯增强镁基复合材料,材料组成主要以AZ31为基体,石墨烯纳米片(GNPs)为增强体,石墨烯添加量分别为0.0%、0.1%、0.3%、0.6%,即AZ31+xGPNs(x=0.0%,0.1%, 0.3%, 0.6%)。经过在挤压比为22:1,挤压温度为350℃的工艺条件下,AZ31镁合金复合材料被挤压成直径为25mm、长度200mm的棒材,空冷直至室温状态。
通过开展金相显微镜(OM)观测、X射线衍射分析(XRD)、扫描电镜(SEM)与EDS分析实验,以获取试验材料的微结构特征及其物相组成。采用SBF模拟体液开展失重试验和电化学测试腐蚀试验,并采用扫描电镜(SEM)与EDS能谱分析材料在模拟体液中的腐蚀形貌与腐蚀产物组成成分。
1.金相显微镜观察发现(见图1),石墨烯的添加使晶粒尺寸细化明显,不同石墨烯含量之间的晶粒大小差异减小,且晶粒分布更为均匀。

图1 AZ31+xGNPs镁合金的挤压态组织
2.X射线衍射分析中(见图2),石墨烯(GNPs)的添加使Mg相和Mg17Al12相衍射峰增强。其原因是GNPs的添加使AZ31镁合金的晶粒细化,单位体积内晶粒的数量增多,AZ31镁合金的结晶度提高,从而使其在XRD衍射分析中表现出衍射峰增强的现象。


图2 AZ31+xGNPs镁合金的XRD图谱
3.各组试样在SBF模拟体液中浸泡84h后的腐蚀形貌(见图3),石墨烯的添加虽然不能完全限制腐蚀行为的发生,但在局部范围内,石墨烯的添加能够减少腐蚀反应的发生,特别是减少镁合金基体碎片化腐蚀现象。结合能谱仪检测结果,得知腐蚀产物主要由氧(O)、碳(C)、磷(P)、镁(Mg)、钙(Ca)和铝(Al)元素组成。表明腐蚀产物主要由Mg(OH)2、Mg3(PO4)2、Ca3(PO4)2、Al3(PO4)2等难溶物质组成。由腐蚀产物可知,添加石墨烯后的镁合金腐蚀产物与未添加石墨烯的镁合金腐蚀产物元素组成相近,所以石墨烯的添加并没有改变腐蚀产物的组成。

图3 AZ31+xGNPs在SBF模拟体液中的腐蚀形貌以及EDS能谱图
4.在SEM扫描电镜下观察到试样腐蚀截面图(见图4),可以得到腐蚀深度最深为0 0%GNPs的AZ31镁合金,深度约为65μm,添加0.1%、0.3%、0.6%GNPs后的腐蚀深度分别为60、56、56μm。依据腐蚀深度可知,石墨烯的添加能够减缓模拟体液对AZ31镁合金的腐蚀。


图4 AZ31+xGNPs在SEM扫描电镜下的截面腐蚀形貌
整个腐蚀期间,镁合金的腐蚀速率整体呈下降趋势(见图5),但下降快慢与石墨烯含量有关,石墨烯含量越高腐蚀速率越低,且变化越缓慢,尤其AZ31+0.6%GNPs的腐蚀速率呈现较平缓变化。表明石墨烯有稳定镁合金腐蚀性能的作用。

图5 AZ31+GNPs在模拟体液中的腐蚀速率随时间变化曲线
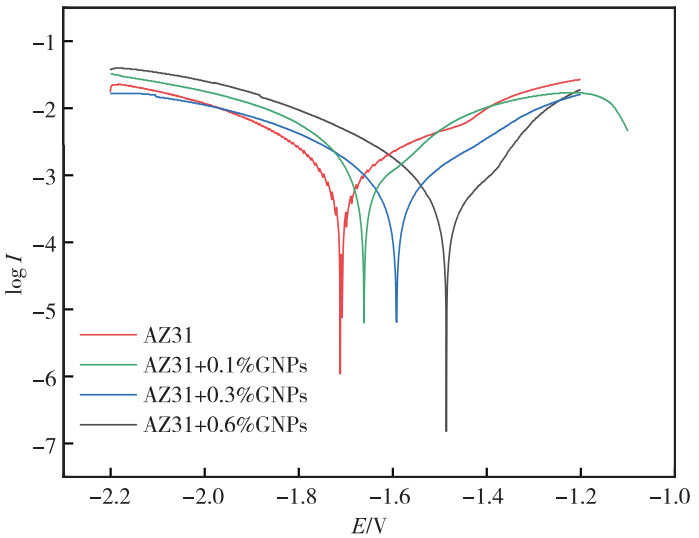
5.不同含量石墨烯GNPs的AZ31镁合金SBF模拟体在液中的极化曲线(见图6),由表1拟合后数据可得添加石墨烯的AZ31镁合金腐蚀电流密度比未添加石墨烯的AZ31镁合金腐蚀电流密度低。结果表明,石墨烯的添加能够降低AZ31镁合金在电化学测试中的腐蚀电流密度,延缓腐蚀介质进入基体中。

图6 AZ31+xGNPs镁合金在SBF模拟体液中的极化曲线
表1 添加石墨烯前后AZ31镁合金极化曲线的拟合结果

创新点
1)提出开展石墨烯镁基复合材料这种较为新颖的材料在模拟人体体液中的抗腐蚀性能的研究,探究石墨烯含量对 AZ31 镁合金在模拟体液中抗腐蚀性能及腐蚀演化规律,为今后可降解高性能镁合金的研发与制备提供了具有实际意义的实验数据。
2)研究发现,石墨烯的添加能够有效提高 AZ31 镁合金在模拟体液中的抗腐蚀性,且随石墨烯含量的增加,AZ31镁合金在SBF模拟体液中的重量损失减少,腐蚀速率降低,腐蚀电位升高,腐蚀电流密度降低。表明通过石墨烯含量的调整能够在一定程度上控制镁合金在模拟体液的腐蚀速率。
作者简介

蓝永庭 中共党员,工学博士,教授,硕士生导师。主要研究领域为金属材料细观力学性能,开展镁合金等金属的宏细观塑性本构模型、晶体塑性行为模拟计算、非线性本构方程求解算法及大规模计算等研究。2019年4月-2020年6月在美国马里兰大学做访问学者开展研究。国家自然科学基金项目评审专家,主持国家自然科学基金项目3项,广西自然科学基金项目2项,企业科研项目多项,作为核心课题成员共参与完成国家自然科学基金项目3项。《装备制造技术》青年编委,发表科技论文30余篇。
本文来自矿冶期刊汇,本文观点不代表石墨烯网立场,转载请联系原作者。
