在凝聚态介观体系中,量子振荡一般是指电阻或者磁化率等被测物理量随着实验参数改变而周期性振荡的现象。对于处于磁场中的金属而言,它的量子振荡表现为电导(电阻)随磁场的倒数周期振荡,即所谓的Shubnikov-de Haas oscillations;而对绝缘体而言,由于费米面的态密度为零,类似金属中的量子振荡行为原则上是不可能出现的。然而近些年,人们陆续在近藤绝缘体SmB6、YbB12,InAs/GaSb量子阱以及半金属WTe2中都观察到了绝缘态的量子振荡行为,引起了人们的广泛关注,也预示着可能的新物理。目前这些反常振荡的起源还有待探讨,也亟需一个更简单、可调的体系来揭示其中的奥秘。
转角石墨烯是一类新型的强关联平带体系。它一般是以单层或者多层石墨烯为母体通过层间扭转堆垛而形成的莫尔超晶格结构,其强的层间莫尔势能会诱导出拓扑平带。自2018年魔角石墨烯(1+1)中关联绝缘态、超导态等被发现以来,该领域迅速发展并吸引了大量科学家的目光。在该领域,中科院物理所纳米实验室N07课题组率先以双层石墨烯为母体发现了一类新型的转角双层-双层石墨烯(2+2)莫尔超晶格体系,并在该体系中观察到自旋极化的半填充关联绝缘态(Nat.Phys.16,520(2020));随后,通过系统研究温度线性电阻行为,发现了电场可调的电子-声子相互作用和量子临界行为的迹象(PRB 106,035107(2022);并发现了电场可调的自旋-能谷竞争关系,实现了谷极化关联绝缘态和陈数为2的拓扑陈绝缘态(Nat.Commun.13,3292(2022))。相比于魔角石墨烯,2+2体系具有更加丰富的调控手段,其能带结构可以被电场调节,因而受到广泛关注。
近期,中国科学院物理研究所/北京凝聚态物理国家研究中心纳米物理与器件实验室N07课题组的杨威特聘研究员和张广宇研究员指导刘乐博士生等对转角双层-双层石墨烯中谷极化的关联绝缘态进行了深入研究。他们发现在莫尔价带半填充处关联绝缘态的电阻会随着磁场发生振荡(图1所示)。

图1 价带半填充处关联绝缘态的量子振荡
通过系统研究其输运行为对温度的响应,发现价带半填充处的基态在垂直磁场的诱导下会发生金属-绝缘体相变,并且量子振荡只在绝缘态区域出现(图2所示)。

图2 量子振荡的温度依赖关系
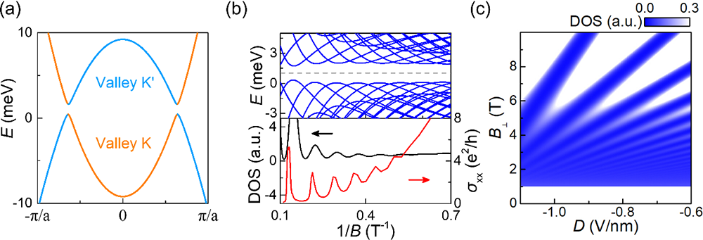
此外,这种反常量子振荡行为还能被电位移场所调控(图3所示)。他们通过快速傅里叶变换发现其振荡频率随电位移场的增加而线性减小,并根据振荡频率和振荡振幅对温度的响应提取了载流子浓度和有效质量,进一步证明这些物理量和电位移场之间存在强烈的依赖关系。

图3 电场可调的量子振荡
结合理论计算他们发现这种反常振荡行为可以用一个唯象的反带模型描述(图4所示),并通过该模型成功复现了实验现象。该工作首次在莫尔体系中观察到绝缘态的量子振荡现象,这拓宽了人们对转角体系中关联效应以及其诱导的复杂能带的认识,并为揭示绝缘体中反常振荡的物理机制提供了新的思路。

图4 反带模型复现实验现象
本研究工作获得了来自物理所固态量子信息实验室和怀柔综合极端实验装置的沈洁特聘研究员、吕力研究员,日本国立材料科学研究所的Kenji Watanabe研究员、Takashi Taniguchi研究员,上海科技大学的刘健鹏教授,松山湖材料实验室的龙根副研究员等合作者的帮助。该工作得到科技部重点研发计划、国家自然科学基金委、中国科学院B类先导和依托大科学装置开展建制化科研项目等资助。相关成果以“Quantum oscillations in field-induced correlated insulators of a moiré superlattice”为题发表在Science Bulletin, 68, 1127-1133(2023)。
原创文章,作者:石墨烯网,如若转载,请注明出处:http://www.graphene.tv/2023061094919/
