研究背景
双层转角石墨烯因其独特的性能近年来受到了广泛关注,当两层石墨烯之间的转角达到1.08°时,能带杂化及反交叉的出现导致在狄拉克点附近形成平带。在1.08°的转角下,双层石墨烯会产生很多不寻常的的现象(包括超导、电子强关联、自发铁磁性、量子化的反常霍尔态以及拓扑保护态等)。因此,1.08°常被称为“魔角”。近年来,科研工作者从实验和理论预测方面对魔角进行了大量的研究。截止目前,大部分关于双层转角石墨烯的研究集中在其电学性质上,关于热输运方面的研究还很少。虽然现在已有一些关于双层转角石墨烯热传导方面的研究报道,但不同转角下的热传导机制仍然不太清楚。首先,现有的实验和模拟计算研究的热传导没有覆盖到魔角~1.08°。由于实验上对角度控制的复杂性,现有的实验研究大多采用了比较大的角度间隔(>5°),这就导致魔角附近的热导率测量被忽略。其次,之前的非平衡分子动力学模拟采用的系统尺寸比较小(<25nm),这个尺寸小于石墨烯中大部分声子的平均自由程。因此,在这种体系下,大部分声子都属于弹道输运,这与无限长样品中由扩散主导的声子输运行为相左。
研究概述
本工作报道了当转角在1.08°附近时,热导率呈现了一个反常的局部极小值。通过运用齐性非平衡分子动力学进行系统的研究发现,这个热导率的局部极小值源自于原子振动振幅和应力的空间分布与散射位点密度之间的竞争。在摩尔超晶格中,不同位置两层石墨烯的堆叠方式是不一样的,在一个周期内其典型的堆叠方式包括AA、AB/BA、SP堆叠(如图1所示)。不同的堆叠模式使得不同位置的原子振动和应力都有所区别,导致声子所感受到的环境不一样,从而产生声子散射位点,降低热导率。热魔角的形成源自于原子振动振幅和应力的非局域化与AA堆积密度增加之间的竞争。前者削弱了单个散射位点的散射强度,而后者增大了散射位点的密度。这两种效应的结合最终导致了转角石墨烯中出现了热传导的不规则性。热魔角的出现,揭示了纳米尺度下新的传热机制,并进一步揭示了二维材料的独特物理特性。

图1.双层转角石墨烯的摩尔晶格及三种典型的堆叠结构。
研究内容
1. 双层转角石墨烯热导率随扭转角度的变化及其与温度的关联性
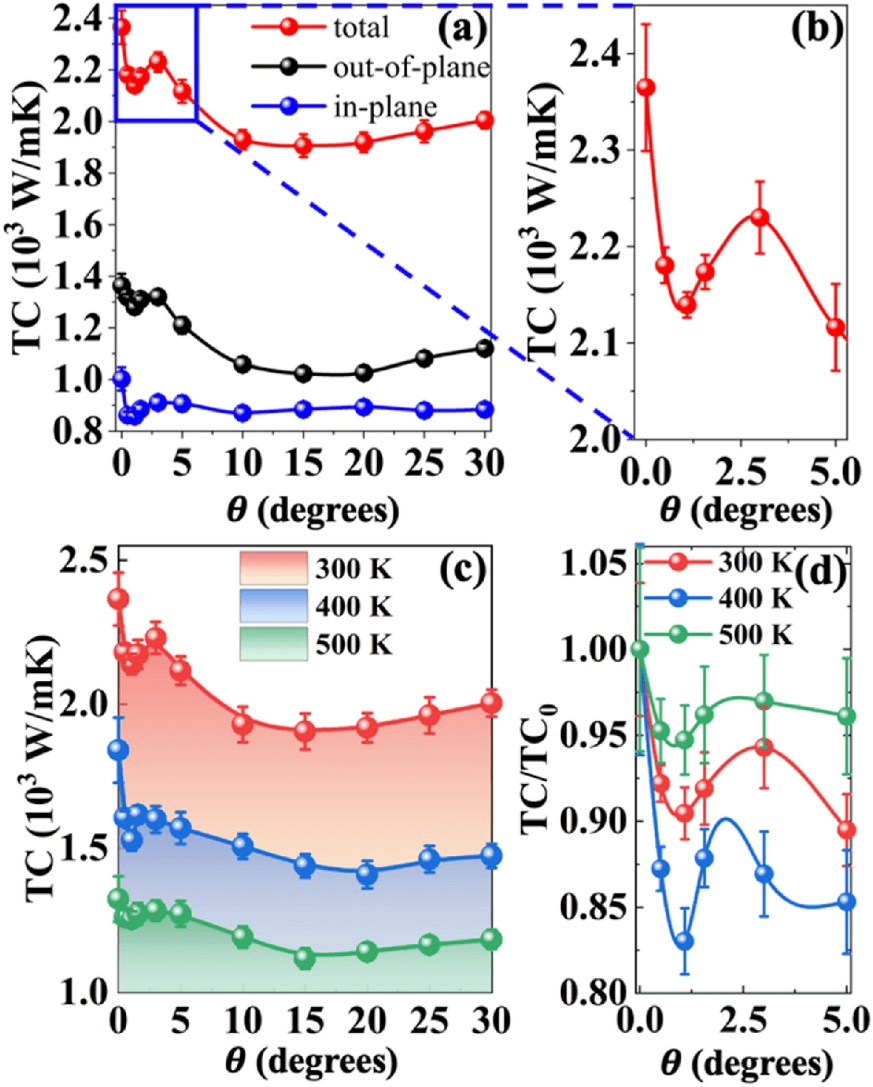
为了计算双层转角石墨烯的热输运性质,首先构建了具有不同转角的双层石墨烯体系,并利用GPUMD对各个体系在不同温度下进行了齐性非平衡分子动力学模拟,获得了热导率随转角和温度的变化数据。从图2可以看出,与未扭转的双层石墨烯相比,双层转角石墨烯的热导率有所降低。当扭转角度在0°~1.08°范围内,热导率随角度的增大而减小。当扭转角度大于10°时,热导率会有小幅上升,这与之前的实验及理论报道一致。但反常的是,双层转角石墨烯的热导率在转角为1.08°附近时有一个局部极小值,并且该极小值不随温度的变化而消失,采用不同的层间势函数也可以在同一个角度获得热导率极小值。这些结果表明,我们得到的热导率的极小值是由双层转角石墨烯本身的性质决定的。

图2.(a)300K下TBG面内、面外及总的热导率随转角(0°~30°)的变化。(b)300K下TBG总热导率随转角(<5°)的变化。(c)TBG总热导率在300K、400K和500K时随转角的变化。(d)TBG归一化总热导率在300K、400K和500K时随转角的变化。
在TBG中,摩尔晶格很大,并且层间堆叠不均匀。当层间扭转时,层间堆叠从稳定的AB堆叠逐渐转变为不稳定的AA和SP堆叠。这种不均匀的堆叠可以强烈地散射声子,进而降低热导率。另一方面,堆叠方式的空间分布也导致了原子振动和力学性质(例如振动幅度和应力)具有空间依赖特性。
2. 原子振动幅度及原子正应力随转角的变化

图3. 不同转角TBG面内原子振动振幅的空间分布(单位:Å):(a)θ=1.08°,(b)θ=1.56°,(c)θ=5°。图(a,b)中亮黄色区域代表AA堆叠。(d)不同角度下原子平均面内振动幅度分布。
图3是不同转角体系的原子面内振动幅度平均值的空间分布。从图中可以看出振动幅度跟空间有关,在比较小的角度时,面内的平均原子振动幅度(标记为Rxy)的空间分布在AA堆叠区域是最大的。随着转角的增大,不同区域振动幅度的失配很快地减小。从图3(d)可以看出,转角较小时Rxy的分布区域很大,但随着转角的增大快速减小。从3°开始,Rxy变成了分布很窄的正态分布,这与未扭转的结构相似。θ > 3°时,Rxy仅0.05 Å左右,稍大于未扭转结构(AB堆叠)的值。转角石墨烯的结构引起的空间不均匀性使得它的声子输运比未扭转的结构更为复杂。

图4. 300K下不同转角TBG底层石墨烯沿x方向原子正应力的空间分布:(a)θ=1.08°,(b)θ=1.56°,(c)θ=5° (单位:eV)。图中标记的红圈表示AA堆叠中心。(d)不同转角TBG中所有原子的正应力分布。
与Rxy相似,我们发现面内的原子应力也具有空间分布的特性,这是因为扭转改变了石墨烯沿特定方向的周期性,导致上下两层沿同一方向的周期长度是不同的。晶格失配会引起上下两层的原子在面内的特定方向上互相吸引或排斥。图4是不同转角体系沿x方向的原子正应力(σxx)的空间分布。与最大/最小的振动幅度位于AA或AB堆叠处相反,最大/最小的应力位于SP堆叠区域,也就是两个相邻的AA区域中间。在转角较小时,可以明显看出原子应力分布的不均匀性。这种局域应力不均程度随着转角的增大快速降低,最终变的可以忽略。σxx和σxy的分布(Fig. 4(d))显示在转角较小时,应力分布在较宽的区域。随着转角的增大,应力分布范围降低,且转角从5°开始,应力分布变成了标准差很小的正态分布,这与未扭转的结构相似。

图5.TBG中与转角相关的S因子(由公式1计算得到)。其中,常数C选定为6×10-6ÅeV/nm2。
为了描述原子振动和应力分布的不均匀性对声子散射的影响,作者定义了一个S因子(公式1)以定性表征散射效应:

其中C是常数,标准偏差std(Rxy)和std(σ)可定性代表由于原子振幅和应力分布的不均匀性对声子散射强度的影响,即表征单个散射源的散射强度。而AA堆叠密度ρAA则代表了散射源的密度。因此,分母std(Rxy)std(σ)ρAA表示总的散射强度,即单个散射位点的散射强度乘以散射位点的密度。从而S因子可定性表征热导率随转角的变化。
图5展示了散射位点密度ρAA、std(Rxy)和std(σ)随转角的变化。当转角较小时,随着转角的增大,ρAA显著增大,而std(Rxy)和std(σ)快速减小。ρAA的增大可以产生更多的散射位点,但std(Rxy)和std(σ)的减小削弱了单个散射位点的散射强度。因此,这两个效应之间的竞争最终导致了热导率在1.08°之后的反常上升。图5也描述了300K时S因子随转角的变化。可以看出,S因子与热导率随转角的变化趋势相同。二者之间相似的变化趋势及同一转变角度说明热导率的极小值是由于单个散射位点的散射强度的减小及散射位点数量的增多之间的相互竞争导致的。
结论
作者发现了双层转角石墨烯在转角为1.08°时出现了一个热导率极小值。双层石墨烯的扭转引起了非均匀堆叠,从而导致了原子振动的局域化,进而散射声子。转角较小时,振动幅度和应力都随着转角的增大而离域化,导致了单个散射位点的散射强度的减小。另一方面,散射位点的数量随着转角的增大而显著增大。这两种效应之间的竞争最终导致了热魔角的形成。热魔角新颖的物理机制将为石墨烯在热管理领域的应用提供新的自由度。
程亚娟和樊哲勇博士为论文第一作者,南方科技大学深港微电子学院朱桂妹研究助理教授、南方科技大学材料科学与工程系/物理系双聘讲席教授李保文教授和广东工业大学材料与能源学院熊世云教授为论文通讯作者。本研究得到了国家自然科学基金、强脉冲辐射环境模拟与效应国家重点实验室基金和广东省基础与应用基础研究基金的支持。
论文信息:
Magic angle in thermal conductivity of twisted bilayer graphene.
Materials Today Physics 35 (2023) 101093
Yajuan Cheng, Zheyong Fan, Tao Zhang, Masahiro Nomura, Sebastian Volz, Guimei Zhu, Baowen Li, Shiyun Xiong.
论文链接:https://doi.org/10.1016/j.mtphys.2023.101093.
本文来自热知,本文观点不代表石墨烯网立场,转载请联系原作者。
