英文原题:Control of Raman Scattering Quantum Interference Pathways in Graphene
通讯作者:谭平恒,中国科学院半导体研究所;张昕,中国科学院半导体研究所;Ludger Wirtz,卢森堡大学
作者:Xue Chen (陈雪), Sven Reichardt, Miao-Ling Lin (林妙玲), Yu-Chen Leng (冷宇辰), Yan Lu (鲁妍), Heng Wu (伍恒), Rui Mei (梅瑞), Andrea C. Ferrari
背景介绍
量子路径之间的干涉存在于各种物理过程中,比如电子间碰撞、激子输运、化学反应动力学、非弹性光散射等。拉曼散射过程的量子描述揭示出不同的中间电子激发(intermediate electronic excitations)可产生不同的量子相干路径(Quantum Interference Pathways)。由于石墨烯所具有的独特线性能带结构和半金属特性,人们可通过调谐费米能级(EF)或者激光能量(EL)来实现对其电子激发的调控,成为研究拉曼散射量子相干路径之间干涉效应的理想平台。通过调谐激光能量EL可获取其拉曼激发线型(Raman excitation profile, REP,即拉曼强度随激光能量EL的变化关系),并进一步获得其散射过程中元激发的寿命信息。然而,精细REP需要多条能够覆盖从紫外到近红外的激光线,这对实验平台提出了挑战。相应地,拉曼散射中光激发电子寿命及其对量子相干路径干涉效应的影响仍然缺乏直接的实验研究。
文章亮点
近日,中国科学院半导体研究所谭平恒研究员、张昕研究员,卢森堡大学Ludger Wirtz教授等在ACS Nano上发表了石墨烯拉曼散射量子相干路径的调控研究。研究者们利用能量范围在1.2~2.7 eV之间26条激光线的多波长拉曼光谱技术对掺杂石墨烯(doped graphene)的拉曼散射量子相干路径进行了调控,探究了量子相干路径的干涉对掺杂石墨烯拉曼G模的强度(I(G))的影响,揭示出拉曼散射过程中量子相干路径干涉过程以及电子-电子相互作用对掺杂石墨烯中光激发载流子寿命的主导作用。

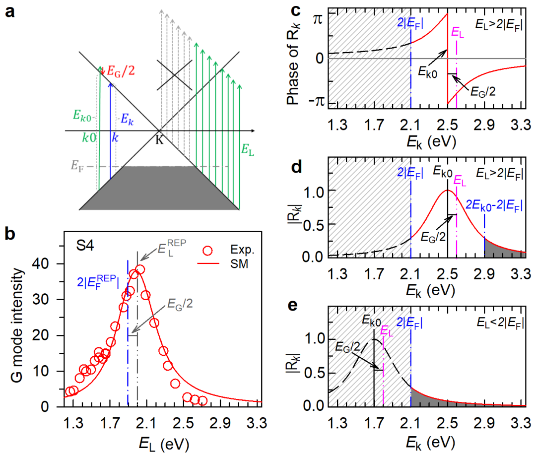
图1. 调谐激光能量实现对拉曼散射量子相干路径之间干涉效应的调控。
在本征石墨烯中,布里渊区中所有电子态的垂直光学跃迁都被允许,不同相位的拉曼散射量子相干路径之间的相消干涉导致拉曼G模(相应声子能量为EG)强度I(G)对EL不敏感。而在空穴掺杂石墨烯中,根据泡利不相容原理,掺杂使得从狄拉克点到EF之间电子态的光学跃迁完全禁戒,只有能量在EF以下的电子态(拉曼散射过程的初态)才可以被能量为EL 的激光激发到拉曼过程的中间态,如图1a所示。通过调节EL,可导致不同相位的拉曼散射量子相干路径间的相消干涉相较于本征石墨烯中的情况发生变化,从而可控制拉曼散射量子路径。当EL–EG与EF相应的电子跃迁能量(~2EF)接近时,石墨烯的拉曼散射路径可得到最大限度的控制。研究者利用26条激光线获得了掺杂石墨烯(EF~-1.05 eV)拉曼G模的REP,如图1b所示。我们可以看到,I(G) 随着EL的增加逐渐增强高达30倍;当EL~2.0 eV(接近2|EF|)时,I(G)达到最大值;随后I(G)随EL的继续增加而减弱。如图1c-1e中斜线阴影条纹所示,每一个对于特定在Ek<2|EF|范围内的量子相干路径因掺杂而导致拉曼散射过程禁戒,产生了相消效应。当EL>2|EF|时(图1d),路径之间发生了相消量子干涉,最终导致Ek >2Ek0 -2|EF|的同相位相干路径发生相长干涉而增强I(G)。当EL减小至EL=2|EF|+EG/2时,所有允许的相干路径具有同相位, I(G)达到最大值。但是随着EL继续减小,Ek0进入到2|EF|的电子跃迁禁戒的能量范围,所允许的同相位的相干路径减少了,从而减弱了I(G),如图1e所示。

图2. 费米能级对拉曼激发线型的影响。
为了理解量子干涉效应背后的物理机制,研究者们测量了具有不同EF掺杂石墨烯样品的REP,如图2a所示。结果显示REP的峰位与EF呈线性关系。根据量子相干路径干涉过程中获取的关系EL=2|EF|+EG/2,他们表征了掺杂石墨烯的EF,发现与通过G模频移确定的EF一致。此外,研究者们利用一阶拉曼散射的简化模型拟合REP,发现REP的线宽与EF也呈现出线性关系,如图2b所示。他们系统地分析了REP的线宽来源,揭示出被载流子浓度增强的电子-电子相互作用主导了REP的展宽,也即激发载流子的寿命。上述建立的关系EL=2|EF|+EG/2可以用于归一化REP,如图2c所示。归一化后的三个REP表现出相近的轮廓,这进一步证实了REP的线宽对EF的线性依赖关系。
总结/展望
基于一阶拉曼散射过程的简化模型,研究团队揭示出通过调谐EL调控拉曼散射量子相干路径间干涉过程。实验结果显示,当EL接近2|EF|时,I(G)由于量子路径间的相消干涉达到最大值;并且REP的峰位和线宽都线性依赖于EF,同时不同EF的REP归一化后表现出相同的线型。REP的线宽由电子-电子相互作用和电子-声子相互作用所贡献,但是随EF增加而线性增强的电子-电子相互作用主导了石墨烯中光激发载流子的寿命。本工作表明可以通过调谐EL来控制中间激发态以探索拉曼散射现象,而这种调控方式使多波长拉曼光谱技术成为探索固体中电子相互作用的有力工具。
相关论文发表在ACS Nano上,实验部分和简化模型分析在中国科学院半导体研究所完成,第一性原理计算部分由卢森堡大学的Sven Reichardt 和Ludger Wirtz 完成。中国科学院半导体研究所博士研究生陈雪为文章的第一作者, 中国科学院半导体研究所的谭平恒研究员,张昕研究员和卢森堡大学的Ludger Wirtz教授为共同通讯作者。
通讯作者信息:
谭平恒,中国科学院半导体研究所,研究员,
课题组主页:http://raman.semi.cas.cn/
张昕,中国科学院半导体研究所,研究员,
个人主页:http://lab.semi.ac.cn/yanjiusheng/contents/1323/148617.html
Ludger Wirtz,卢森堡大学,教授,
课题组主页:https://wwwen.uni.lu/research/fstm/dphyms/people/ludger_wirtz
ACS Nano 2023, 17, 6, 5956-5962
Publication Date: March 10, 2023
https://doi.org/10.1021/acsnano.3c00180
Copyright © 2023 American Chemical Society
本文来自ACS材料X,本文观点不代表石墨烯网立场,转载请联系原作者。
