
论文信息:S. Roy, S. Mondal and K. Debnath, Symmetric Bound States in the Continuum in an All Graphene Metasurface—Design and Sensor Applications, IEEE Sensors Journal, 23, 8352-8359 (2023).
论文链接:doi: 10.1109/JSEN.2023.3255223.
研究背景
对称保护的Q-BICs在介电超表面已经得到了很好的探索,从可见光到红外区域都报告了非常高的Q因子。混合金属超表面主要在远红外太赫兹波段进行探索。太赫兹区域最近引起了巨大的研究兴趣。特别地,从0.1THz到10THz的太赫兹波段在光谱学、通信、生物医学等领域具有广阔的应用前景。Q-BICs Q因子在金属-杂化结构的太赫兹区域出现极限值的原因主要是由于等离子体辐射通道。但提出的从可见光到远红外太赫兹波段的器件大多缺乏动态能力。除调整光刻参数外,没有办法在制作完成后对Q-BIC点进行调谐。石墨烯已经成为活性器件应用中最令人兴奋的二维材料。通过调节石墨烯的化学势,可以改变操作的波长区域。这种调谐可以通过电偏压或化学掺杂方法来实现。然而,石墨烯在BIC中的积极应用仅探索了化学势控制的吸收性能。在远红外太赫兹波段,人们已经探索了基于金属杂化的石墨烯结构,利用化学势探索对称性保护的BICs。当石墨烯处于较高的化学势时,它表现为半金属性。基于太赫兹波段的这一特性,已经报道了自由开关和可调转换器。然而,已报道的结构大多是基于金属的,以及笨重的器件尺寸。从根本上说,已报道的结构未能探索石墨烯的可调方面。作者首次报道了一种在远红外太赫兹波段可调谐的基于全石墨烯的Q-BIC超表面。
研究内容
图1(a)为所提超表面的结构示意图。在SU-8衬底上,沉积了一层石墨烯。石墨烯层被图案化成矩形二聚体结构。在晶胞周期内,放置两个有限间距的矩形二聚体,如图1(b)所示。周期(Px=Py)为2μm,S为300 nm,L1和L2为800 nm。在这些参数下,对称保护的BIC存在,没有能量泄漏的辐射通道。通过扰动系统,即改变第二个二聚体的长度L2,打破面内对称性。

图1. (a)所提出的全石墨烯Q-BIC超表面结构示意图。(b)所提出的超表面的单胞。
图2(a)为不同L2值的透过率图。二聚体1长度L1固定为800 nm。定义非对称参数为α=(L2-L1/L1)。在L1=L2处,入射远红外太赫兹频率的透射谱没有凹陷。这是理想的BIC点,没有辐射泄漏,Q值发散,线宽为零,如图2(b)所示。作者对矩形二聚体2长度L2进行扰动,打破了结构的面内对称性。随着L2向较低值或较高值移动,非对称参数的绝对值增大。随着α的增加,透射中的凹陷变得突出,这些是Q因子随非对称参数α的增大而减小的Q-BIC点。观察到Q因子遵循非对称参数Q∝α-2。由于这些是传输中的等离激元Q-BIC凹陷,Q因子的值范围从中等到高,在BIC点发散。

图2. (a)矩形长度变化的对称保护BIC和非对称诱导Q-BIC,L2(L1固定在800 nm)。(b) Q因子随非对称参数的变化。
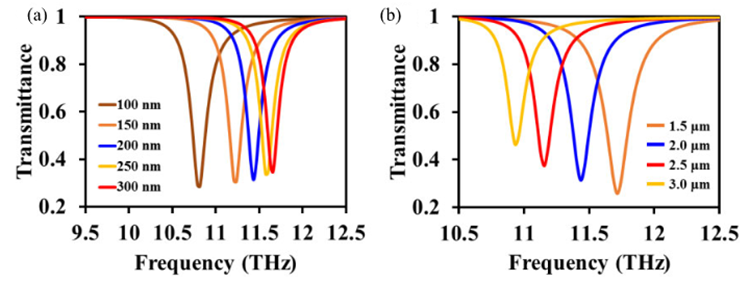
作者进行了参数研究来微调所提出的超表面结构的Q-BIC。石墨烯的化学势保持在0.95eV。矩形二聚体长度分别为L1=800nm和L2=400nm,周期(Px=Py)=2μm和间隔S=300 nm,在频率11.436 THz处的透射率为30 %。首先改变二聚体的厚度t,保持周期不变。如图3(a)所示,随着二聚体厚度的增加,Q-BIC点有一个蓝移(频率的增加)。在较高的厚度处,偏移速率较小。这是因为在固定分离的情况下,随着两个二聚体厚度的增加,单个二聚体的共振合并。随后研究周期(Px=Py)的变化,保持其他参数不变,如图3(b)所示。随着周期的增加,Q-BIC点向更低的频率(更高的波长)移动。但即使是光刻参数变化,也无法调谐到实际的远红外太赫兹光谱(0.1~10THz)中。

图3. 参数研究(a)两种二聚体的不同厚度。(b)不同周期。
随后作者对石墨烯化学势进行调节,这是二维材料石墨烯最为突出特点,增加了有源器件应用的优势。作者通过化学掺杂的方法来改变石墨烯的化学势,通过改变化学势,可以调谐到太赫兹波段。二聚体的各项参数设定为L1=800nm,L2=400nm,Px=Py=2μm,t=200nm,S=300nm,从0.95eV开始改变化学势。如图4所示,随着结构向低化学势方向移动,Q-BIC共振频率发生红移。从石墨烯的带内电导率可以推断,随着化学势的增加,其表现为半金属性。随着化学势的变化,超表面的性质也发生变化。模式的安排决定了BIC和Q-BIC响应。在较低的化学势下,石墨烯的能带半满。因此,它变得具有更强的吸收性,导致由于透射或反射引起的总入射电磁能量损失较小。

图4. 不同石墨烯化学势下的Q-BIC透射谱。
作者还对提出的超表面结构进行了角度依赖的研究。结果如图5所示,给出了在远红外THz频率下s偏振平面波入射的不同角度。作者也进行了p极化平面波激发的研究,在透射谱中没有观察到任何凹陷。模拟中使用的所有材料都是各向同性的,作者通过打破单胞沿x平面的面内对称性来显示BIC,而在沿y平面保持对称性。在透射谱中观察到Q-BIC点在10°到45°的入射角范围内始终保持在11.436THz,倾角为70%。其他入射频率均为单位传输。在较高角度即>45°时,透过率下降,光谱发生轻微偏移。其他入射频率的透射率也向低值偏移,这与单位透射不同。

图5. Q-BIC传输倾角的角度依赖研究。
结论与展望
作者提出了一种支持非对称Q-BIC的全石墨烯超表面。通过在SU-8衬底上选择两个刻蚀的石墨烯矩形二聚体来建立BIC点。Q-BIC发生在Q因子发散的二聚体长度和厚度相等处。为了观察Q-BIC点,作者改变了长度参数来破坏面内对称性。这种不对称性通过透射谱中的Q-BIC凹陷打开了辐射通道。作者计算了Q-BICs的Q因子的有限值,它遵循非对称参数Q∝α-2。为了揭示石墨烯费米能级调控进入实际太赫兹区域(0.1~10THz)的潜力,在接近实际太赫兹光谱的远红外区对结构进行了优化。但通过参数变化对结构进行光刻调谐并不能提供灵活的调谐进入太赫兹光谱的方法。通过改变石墨烯的化学势,可以将器件的Q-BIC光谱调谐到7.5THz。该超表面结构的设计是极其简单的。这样的系统将在一次性传感器系统中应用到先进的光子传感器领域。
本文来自热辐射与微纳光子学,本文观点不代表石墨烯网立场,转载请联系原作者。
