氧化石墨烯(GO)作为防腐涂料的填料被广泛应用;然而,它在涂层基体中的分散性和界面相容性仍然受到限制。本研究利用带负电荷的AC (NAC)和带正电荷的GO (NGO)静电自组装制备了非晶态纤维素(AC)边缘功能化氧化石墨烯。通过傅里叶红外光谱(FTIR)和X-射线光电子能谱(XPS)对其结构进行了表征,并通过高分辨率透射电镜(HRTEM)对其进行了直接观察。NAC作为纳米填料在水性环氧树脂(WEP)涂料中增强了NGO的防腐性能,因为NAC/NGO复合材料分散良好,与基体有较强的界面相互作用。此外,即使浸泡时间为1024 h, 2.0 wt% NAC/NGO@EP在低频(f = 0.1 Hz)下的阻抗值为8.955 × 108 Ω·cm2,比纯环氧树脂(EP)高3个数量级。因此,所开发的非晶化和静电自组装方法适用于制备纤维素和其他二维材料的复合材料。

图1. 非晶纤维素(NAC/NGO)制备边缘功能化氧化石墨烯。

图2. MCC、AC和NAC的XRD谱图(a), AC和NAC的FTIR谱图(b)。

图3. GO和NGO的FTIR光谱(a), GO和NGO的XPS测量光谱(b-e), GO和NGO的XRD谱图(f)。

图4. MCC的SEM图像(a), AC (b)、NAC (c)、GO (d)、NGO (e)和NAC/NGO (f)的TEM图像,GO (g)、NGO (h)和NAC/NGO(i)的AFM图像。

图5. 纯EP (a)、NAC@EP (b)、GO@EP (c)、NGO@EP (d)和2.0 wt% NAC/NGO@EP (e)断裂面的SEM图像。

图6. GO@EP (a)和2.0 wt% NAC/NGO@EP (b)的TEM图像。

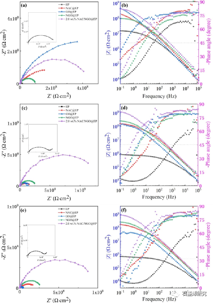
图7. 在3.5 wt% NaCl溶液中,不同复合材料涂层在钢表面的EIS曲线:117 h (a, b)、711 h (c, d)和1024 h (e, f)。

图8. 不同复合涂层的fb和R1的拟合结果(a, b), EP、NAC@EP、GO@EP、NGO@EP和2.0 wt% NAC/NGO@EP涂层的Rp和涂层损伤指数的计算结果(c, d)。

图9. 纳米复合涂层的防腐机理: 在3.5 wt% NaCl溶液中浸泡1024 h后,纯EP (a)、NAC/NGO@EP (b)的防腐示意图、GO@EP (c)和NAC/NGO@EP (d)的SEM图谱,NAC/NGO@EP锈斑内表面XPS测量光谱(600 h中性盐雾试验后)(e)。

图10. 纯EP及其复合材料的拉伸强度(a),纯EP及其复合材料的DMA结果:存储模量(b)和tanδ (c)。
相关研究成果由中国科学院金属研究所沈阳材料科学国家研究中心Jinsong Zhang等人于2023年发表在Applied Surface Science (https://doi.org/10.1016/j.apsusc.2023.156576)上。原文:Amorphous cellulose edge-functionalized graphene oxide for anticorrosive reinforcement of waterborne epoxy coatings。
本文来自石墨烯研究,本文观点不代表石墨烯网立场,转载请联系原作者。
