石墨烯因其无与伦比的物理和化学性质而受到科学和工业领域的广泛关注。为了充分利用其进步,通过化学气相沉积(CVD)方法大规模生产石墨烯具有很高的吸引力,因为它是制备高质量石墨烯连续膜的一种有前途的方法。目前,在铜箔上用 CVD 生长石墨烯的工业化技术在晶体质量和生产规模方面已日趋成熟。然而,从铜基板到目标基板的转移过程是不可避免的,这个过程复杂、耗时且成本低,不可避免地会在石墨烯薄膜中引入皱纹、裂纹和污染,严重降低石墨烯优异的固有性能。因此,在目标基底(通常是电介质或绝缘体)上直接生长石墨烯可以避免具有挑战性的剥离转移过程。
此外,直接 CVD 沉积石墨烯可以实现石墨烯薄膜在规则二维平面以外的不规则形状基底上的连续保形覆盖,这对石墨烯转移也是一个巨大的挑战。因此,直接在目标基底上进行石墨烯 CVD 生长将成为实现面向应用目标的一种有吸引力的策略,从而促进石墨烯材料更便捷的应用。
北京大学刘忠范院士团队采用二元前驱体协同CVD策略,通过在无催化玻璃纤维织物上可控生长石墨烯,成功开发出石墨烯玻璃纤维织物(GGFF),解决了生长速度和质量之间的矛盾。二元前驱体由乙炔和丙酮组成,其中分解效率高的乙炔促进石墨烯快速生长,而采用含氧丙酮来提高膜层的均匀性和质量。
值得一提的是,本文自行构建了分叉引入-合流预混(BI-CP)系统,可控引入气体和液体前驱体,从而实现GGFF的稳定生产。GGFF具有太阳光吸收和红外发射特性,在此基础上开发了自适应双模式热管理薄膜,该薄膜可通过自发感知温度自动切换加热和冷却模式,实现优异的热管理性能,加热和冷却功率分别为~501.2和~108.6 W m−2,这些发现为石墨烯材料的大规模批量生产开辟了新策略,并激发了进一步应用的先进可能性。
本工作首次报道了通过二元前驱体协同CVD策略在GFF基底上可控生长石墨烯。利用分解效率高的乙炔作为活性炭原料实现石墨烯的快速生长,含氧丙酮则可提高石墨烯层的均匀性和晶体质量。二元前驱体的协同作用实现了石墨烯生长速率的提高同时降低了石墨烯的缺陷密度。设计了二元前驱体分叉引入-合流预混(BI-CP)系统,包括利用高精度注射泵控制液态丙酮的输送、二元前驱体与载气的预混合和汽化、气相传输管线的加热措施和监测单元,实现了前驱体的稳定可控引入。设计的BP-CP CVD系统可实现批次间和批次内GGFF的稳定制备,在热管理应用方面具有巨大的潜力。
相关研究成果以“Controllable preparation of graphene glass fiber fabric towards mass production and its application in self-adaptive thermal management”为题发表于《Science Bulletin》。
高质量GGFF的快速合成
通过直接CVD法在GGF上生长石墨烯制备GGFF的过程如图1a所示,其中将乙炔-丙酮混合物作为二元碳前体引入CVD系统。为了消除石墨烯生长过程中碳原子数量的影响,引入CVD体系的碳原子总数保持一致。生长速率随生长温度的增加而增加,确定~1100℃为最佳生长温度,平衡了CVD体系中石英管的生长速率和耐温性。在特定生长温度下,石墨烯的生长速率随丙酮用量的增加呈鞍形曲线,在丙酮浓度为~10%时达到峰值。在最佳生长温度和丙酮浓度下,二元前体体系的生长速率可达~0.25 min-1,是乙炔前体策略的4倍,是丙酮前体策略的2倍。

图1. 石墨烯在二元前驱体体系中的生长行为。
二元前驱体对石墨烯CVD生长的协同效应
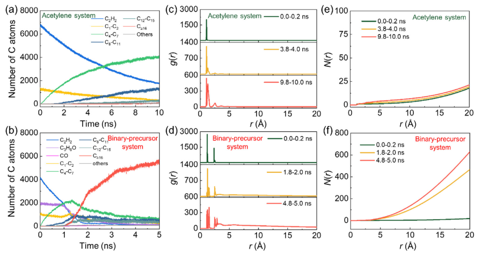
为了揭示二元前驱体体系对石墨烯CVD生长的协同作用,采用基于ReaxFF的分子动力学模拟方法对乙炔和二元前驱体体系的热解过程进行了研究。如图2a、b所示,两种系统间物种随时间的进化趋势差异显著。首先,与乙炔体系相比,二元前驱体体系中碳前驱体的含量下降幅度更大,这表明前驱体的热解速度更快。其次,随着模拟反应在乙炔体系中的进行,C4-C种类逐渐增加,成为主导产物,而C≥16的含量几乎没有增加。
在二元前驱体体系中,在较短的反应时间内,可观察到20 Å范围内的广泛分布,表明热解产物的范围很广,其中2-5 Å范围内的峰强度表明大量的中小型环物质。值得注意的是,只有二元前驱体体系在5-20 Å范围内出现了大尺度环种形成的峰,特别是大环种数量的显著增加,说明了二元前驱体体系中石墨化生长反应加速的原因。

图2. 二元前驱体体系热解过程的机理研究。
石墨烯在二元前驱体体系中的生长模型
图3系统地考察了石墨烯在二元前驱体CVD体系中的动态生长过程。显示在同等石墨烯总覆盖下,二元前驱体体系中多层石墨烯岛的覆盖比例和密度比乙炔体系中要低得多。图3a表明,二元前驱体体系比乙炔体系在更短的时间内实现了相似的石墨烯覆盖。此外,在相同的覆盖范围下,二元前驱体体系中单层面积的比例远高于乙炔体系。上述结果表明,二元前驱体体系有利于加速石墨烯薄膜覆盖率的增加,有效控制层数,可以缓解由于乙炔分解效率高而导致的多层成核不可控和石墨烯厚度不均匀等问题。

图3. 二元前驱体体系中石墨烯生长过程的演化。
GGFF量产
二元前驱体体系在提高石墨烯制备效率和质量方面表现出显著的效果,而石墨烯生长过程的可控性是GGFF规模化生产的一个重要问题,因为二元前驱体尤其是液体丙酮的供应难以精确控制。为了解决这一问题,设计并构建了精确的BI-CP控制系统,以实现二元前驱物的稳定引入,该系统由气体质量流量控制器、喷射泵、汽化室和反应室组成,如图4a所示。气体质量流量控制器调节气态反应物和载气的输送,同时在汽化室前安装喷射泵,实现液体丙酮剂量的精确控制。然后将气态反应物、载气和液源在汽化室中预混汽化,再引入反应室进行石墨烯CVD生长。

图4. GGFF的批量生产和批量稳定性。
GGFF在自适应热管理中的应用
通过上述材料制备方面的研究,可以成功实现GGFF规模化、稳定的批量生产。为了揭示GGFF的性质,它具有优异的太阳吸收特性和红外发射特性,太阳吸收率为~93.6%,红外发射率为~0.92。这些特性突出了其在热管理领域的潜在应用。GGFF优异的太阳能吸收特性使其能够有效地将太阳能转化为热能用于加热目的,同时其高红外发射率特性允许有效的辐射散热到外太空进行冷却,因此,GGFF是一种有前途的被动式热管理材料。

图5. 基于GGFF的自适应薄膜的热管理性能。
结论
本文提出了一种协同二元前驱体CVD策略,以解决在非金属GFF上生长石墨烯薄膜的生长速度和质量平衡的挑战。综合实验和理论模拟表明,乙炔和丙酮的协同作用加速了石墨烯的生长动力学,同时蚀刻亚稳核和非晶碳,从而产生高生长速率和高均匀性的GGFF。自行设计的BI-CP CVD系统能够精确控制气体和液体前体,促进GGFF的稳定批量制备。基于GGFF的自适应双模热管理膜,利用GGFF的太阳吸收和红外发射特性,可以在温度触发的太阳能加热模式和辐射冷却模式之间自发切换,不需要任何外部能量消耗。该合成技术将推动无转移石墨烯材料批量生产的深入研究,为石墨烯材料的实际应用铺平了新的道路。
原文:https://doi.org/10.1016/j.scib.2024.07.016
本文来自Carbontech,本文观点不代表石墨烯网立场,转载请联系原作者。
