背景介绍
电催化氧还原反应(ORR)被认为是连接可再生电力资源和以能源储存、燃料生产和环境修复为中心的化学转化的基石。与工业上建立的蒽醌工艺相比,双电子ORR作为现场和小规模生产过氧化氢(H2O2)的一种绿色和安全的方法备受关注。此外,电生成的H2O2可以通过原位活化产生的活性氧自由基(ROS)实现污染物的降解。最近,最先进的ORR催化剂是以贵金属为基础的催化剂及其合金,涵盖几乎所有金属的单原子催化剂已经引起了广泛的关注。在这些催化剂中,通常使用各种类型的碳作为支撑基材,如碳黑、石墨烯、碳纳米管、多孔碳、杂原子掺杂的碳和功能化的碳材料。其中,杂原子氮(N)掺杂是修饰碳材料的主要方法,因为它易于制备且选择性高。不同的氮种类对碳材料的贡献是完全不同的,可以按其物理化学结构分类如下:石墨型-N、吡咯型-N、吡啶型-N和氧化型-N。通过对其ORR催化性能和理论研究之后,人们发现N掺杂的碳材料不仅能促进H2O2的合成选择性,还能生成活性氧促进环境中污染物的去除。值得注意的是,由于不同氮物种的存在,氮掺杂碳材料的ORR过程变得模糊。因此,迫切需要对基于氮掺杂碳材料的ORR过程进行进一步澄清,进而为环境应用开发高效、持久和多功能的氧还原催化剂提供理论支持。
成果简介
北京师范大学卞兆勇教授课题组研究了氮掺杂石墨烯(NG)中氮的状态对分子氧转化为过氧化氢(H2O2)的促进作用。利用密度泛函理论(DFT)预测了石墨型-N、吡咯型-N和吡啶型-N在NG中的氧还原反应(ORR)活性。采用低温热还原法制备了氮掺杂含量不同的NG样品,用于ORR评价。系统研究了H2O2产率、2e−ORR电流效率、H2O2选择性和电子转移数(n)。2e−ORR选择性与N含量呈正相关,随着N含量的增加,2e−ORR选择性可接近100% (0.40 V vs. RHE);而电流效率与N含量呈火山型变化趋势,最高可达94%。此外,氮物种验证实验证明吡咯型-N在H2O2合成中的关键作用。另外,与纯石墨烯催化剂相比,在不同吡咯-n含量的NG电极上进一步的污染物降解研究表明,吡咯型-N含量越低,对硝基苯酚(PNP)的去除率越高。进一步的计算结果表明吡咯型-N促进2e−ORR进程,而吡啶型-N有利于ORR过程中活性氧物种的产生。这项工作为无金属催化剂的ORR机理和优化这一重要的环境催化策略提供了一种简便的方法。
图文导读
![Nano Res.[催化]│北京师范大学卞兆勇教授课题组:识别氮掺杂石墨烯在电催化氧还原反应中的关键氮物种](http://www.graphene.tv/wp-content/themes/justnews/themer/assets/images/lazy.png)
图1在纯石墨烯和不同N种(石墨-N、吡咯-N和吡啶-N)掺杂的石墨烯上电化学氧还原反应的吉布斯自由能。(a)ORR过程中的H2O和(b)H2O2路径,分别在1.23V和0.76V电位下的四电子(c)和二电子(d)ORR过程。
![Nano Res.[催化]│北京师范大学卞兆勇教授课题组:识别氮掺杂石墨烯在电催化氧还原反应中的关键氮物种](http://www.graphene.tv/wp-content/themes/justnews/themer/assets/images/lazy.png)
图2(a)SEM,(b)TEM和(c)HRTEM的图像;(d-f)NG3催化剂的C、N和O元素的EDX Mapping图像。
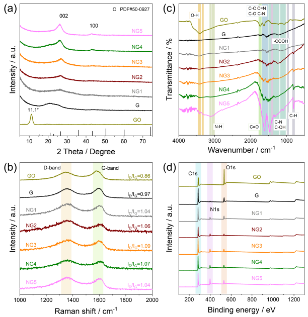
![Nano Res.[催化]│北京师范大学卞兆勇教授课题组:识别氮掺杂石墨烯在电催化氧还原反应中的关键氮物种](http://www.graphene.tv/wp-content/themes/justnews/themer/assets/images/lazy.png)
图3 GO、G和NG催化剂的(a)XRD衍射图谱,(b)Raman光谱,(c)FTIR光谱和(d)XPS光谱。
![Nano Res.[催化]│北京师范大学卞兆勇教授课题组:识别氮掺杂石墨烯在电催化氧还原反应中的关键氮物种](http://www.graphene.tv/wp-content/themes/justnews/themer/assets/images/lazy.png)
图4(a)kH2O2分别与NG催化剂中不同氮物种含量之间的关系图;(b)NG3-430和NG3-800的XPS N 1s光谱;(c)H2O2浓度的变化和(d)NG3-430和NG3-800电极消耗的电量与时间关系变化图;(e)NG-430和NG3-800电极在相同电解时间内的合成H2O2电流效率;(f)NG3-430和NG3-800电极的表观速率常数kapp和相应的kH2O2。
![Nano Res.[催化]│北京师范大学卞兆勇教授课题组:识别氮掺杂石墨烯在电催化氧还原反应中的关键氮物种](http://www.graphene.tv/wp-content/themes/justnews/themer/assets/images/lazy.png)
图5(a)石墨烯和不同N物种掺杂石墨烯结构上原位H2O2转化的自由能变化,包括(b)H2O2脱附和(c)自由基(HO•)生成。
作者简介
卞兆勇教授、博士生导师,现任职于北京师范大学水科学研究院,主要研究领域为绿色能源驱动污染消除理论与技术、水中污染物富集与资源化技术和新型污染物迁移转化规律及控制原理等。在国内外重要学术期刊发表高质量研究论文80余篇,获得国家发明专利授权10余项。主持和参与国家自然科学基金和重点研发项目等10余项。
文章信息
Peng Y, Bian Z, Zhang W, et al. Identifying the key N species for electrocatalytic oxygen reduction reaction on N-doped graphene.
Nano Research, 2023, https://doi.org/10.1007/s12274-023-5421-0.
本文来自NanoResearch,本文观点不代表石墨烯网立场,转载请联系原作者。
