尽管大量研究证实添加石墨烯可以改善聚合物复合材料的阻尼性能,但迄今为止,一些关键问题,包括石墨烯的聚集和表面摩擦力,仍未得到改善。在这项研究中,设计和制备了受自然启发的三明治复合材料用于振动抑制,同时还制备了传统的共混复合材料和纯环氧树脂试样作为参考。动态力学分析和振动测试结果证实,夹层复合材料的阻尼性能优于共混复合材料和纯环氧树脂,其中纯环氧树脂的损耗因子为 0.067,而传统共混和夹层复合材料的质量分数为0.75 wt‰,分别增加到0.067和0.0942。然后提出了竞争行为的能量耗散机制来解释夹层复合材料的钟形阻尼随芯层厚度的增加而变化。此外,聚多巴胺(PDA)用于修饰还原氧化石墨烯(rGO)以增大表面摩擦力,从而提高了rGO的阻尼增强能力。具体而言,质量分数为0.5 wt‰的PDA改性rGO增强复合材料的阻尼比比相同质量分数的rGO增强复合材料高42.2%。rGO的改性和三明治复合材料的成功制备为振动能量耗散和阻尼增强提供了一种新的策略。

Fig 1. PDA-rGO 制备示意图。

Fig 2. 具有 PDA-rGO/rGO 芯层的夹层复合材料的制备过程。

Fig 3. rGO 和 PDA-rGO 增强共混复合材料的制备过程。

Fig 4. 振动测试设置。

Fig5. (a) rGO 和 (b) PDA-rGO 的 SEM 图像。

Fig 6. (a) rGO 和 (b) PDA-rGO 的AFM图像以及 (c) 1-2 行和(d) 3-4行的相应高度。

Fig 7. 具有 (a) 0.25 wt‰ PDA-rGO 核、(d) 0.5 wt‰ PDA-rGO 核、(f) 0.75 wt‰ PDA-rGO 核和 (g) 1 wt‰ PDA-rGO 核的夹层复合材料的断裂表面 SEM 图像SEM 图像中相应的红色和黄色框区域的核心和放大视图 (b)、(c)、(e)、(h)、(i)。

Fig 8. 具有 (a) 无芯层、(b) 0.25 wt‰ rGO 芯、(c) 1 wt‰ rGO 芯、(e) 0.5 wt‰ rGO 芯和 (h) 0.75 wt‰ rGO 芯的夹层复合材料的断裂表面 SEM 图像和放大图 (d)、(f)、(g)、(i) SEM 图像中相应的红色和黄色框区域。

Fig 9. (a) 0.25 wt‰ 和 (b) 0.5 wt‰ 的 rGO 核心层以及 (c) 0.25 wt‰ 和 (d) 0.5 wt‰ 的 PDA-rGO 核心层的数码照片。

Fig 10. 质量分数为(a) 0.5 wt‰、(d) 1 wt‰的PDA-rGO-mixed-EP、质量分数为(g) 0.5 wt‰的rGO-mixed-EP、( j)1 wt‰和(a)的放大图(b-c),(d)的(e-f),(g)的(h-i),(j)的(k-l)。

Fig 11. PDA-rGO 和 rGO 的拉曼光谱。

Fig 12. 损耗因子随 (a) PDA-rGO-mixed-EP、(b) rGO-mixed-EP、(c) PDA-rGO-cored-EP 和 (d) rGO-cored-EP 在室温下的频率变化。

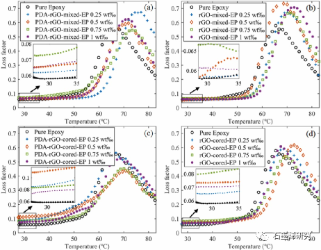
Fig 13. (a) PDA-rGO-mixed-EP、(b) rGO-mixed-EP、(c) PDA-rGO-cored-EP 和 (d) rGO-cored-EP 在 1Hz 时损耗因子随温度的变化。

Fig 14. (a) PDA-rGO-cored-EP、(b) rGO-cored-EP、(c) PDA-rGO-mixed-EP 和(d) rGO-mixed-EP 的损耗模量随温度在 1Hz 下的变化。

Fig 15. 储能模量随 (a) PDA-rGO-cored-EP、(b) rGO-cored-EP、(c) PDA-rGO-mixed-EP 和 (d) rGO-mixed-EP 在 1 Hz 时的温度变化。

Fig 16. (a) PDA-rGO-mixed-EP 和 (b) rGO-mixed-EP 的 Cole-Cole 图。

Fig 17. 环氧树脂与质量分数为 0.5 wt‰ 的复合材料的振动衰减曲线比较:(a) PDA-rGO-mixed-EP,(b) rGO-mixed-EP,(c) PDA-rGO-cored-EP 和 ( d) rGO-cored-EP。

Fig 18. 质量分数为 0.5 wt‰ 的复合材料的振动衰减曲线比较:(a) PDA-rGO-mixed-EP 与 vs.rGO-mixed-EP,(b) PDA-rGO-cored-EP vs. rGO-cored- EP,(c) PDA-rGO-cored-EP 与 PDA-rGO-mixed-EP 和 (d) rGO-cored-EP 与 rGO-mixed-EP。

Fig 19. (a) 夹层复合材料和(b)传统混合复合材料的阻尼比。

Fig 20. PDA-rGO和rGO的比表面积。

Fig21. (a) rGO 和 (b) PDA-rGO 的横向力模式下的 AFM 图像。

Fig 22. 表面摩擦力源自线 1(rGO)和线 2(PDA-rGO)。

Fig 23. (a-b) 低质量分数和 (c-d) 高质量分数的夹层复合材料的层间和层内滑移示意图。
相关研究工作由清华大学Fulei Chu课题组于2023年在线发表在《Composites Science and Technology》期刊上,原文:Nature-inspired energy dissipation sandwich composites reinforced with high-friction graphene。
本文来自石墨烯研究,本文观点不代表石墨烯网立场,转载请联系原作者。
