第一作者:毛赫南
通讯作者:王晓工
通讯单位:清华大学化工系,清华大学教育部先进材料重点实验室
主要亮点
本文详细研究了氧化石墨烯(GO)分散液的流变行为。通过稳态、动态等流变实验以及理论分析,研究了氧化石墨烯(GO)分散液流变行为和水分散液从粘弹性液体到凝胶态的转变。利用DLVO理论,探讨了GO片之间的范德华作用力以及双电层排斥作用的相互关系对流变性能的影响。通过群体平衡模型(PBE)分析了GO分散液的屈服应力与体积分数的正相关关系。同时,通过蠕变和松弛实验发现,高浓度的GO分散液中结构变化及流变行为在很多方面与高聚物相似。上述研究结果为深入研究复杂的GO分散体系提供理论支撑和实验依据。

研究背景
石墨烯作为一种新型的二维碳材料,因其优异的力学、热学、光学和电学性能而备受关注。氧化石墨烯(GO)是重要的石墨烯衍生物,也是制备还原氧化石墨烯(RGO)等其它石墨烯基材料的前体材料。通过化学氧化剥离得到的氧化石墨烯片,在其基面和边缘均含有大量含氧基团,使得GO具有一定的亲水性,能很好地分散在水和某些有机溶剂中。这一独特的优势使其成为很好的湿法加工材料,在薄膜电子和光电子、光学设备、纳米复合材料、传感器、储能设备等各领域均具有广阔的应用前景。
对GO水分散液流变行为的研究不仅能服务于加工和制造,同时也能更深入地理解GO片在分散体系中的结构变化。对于低浓度的GO分散液,在低剪切速率下表现出剪切变稀行为。而在较高浓度范围下,GO水分散液中存在着强烈的竞争性相互作用(比如同时存在着范德华吸引力和双电层排斥作用),从而对流变行为有较大的影响。在过去的文献中,曾报道盐浓度对于GO水分散液中相互作用力的影响。同时,石墨烯的层数、表面官能化度对于流变行为有重要影响也有报道。通过调节氧化程度及超声时间,调控GO纳米片尺寸及表面官能化度,可影响相邻片层之间的相互作用,进而影响其流变性能。在石墨烯的层数与表面官能化度确定的条件下,pH值、温度和有机溶剂种类是影响GO分散液中结构,进一步改变其流变性能的重要因素。目前,通过改变这些因素调控其流变行为的方法以及其理论解释至今很少有报道。
核心内容
01 pH值对GO分散液流变行为的影响
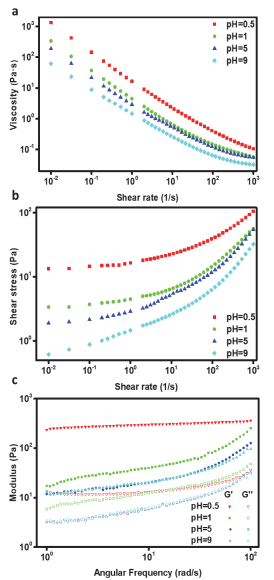
pH的变化会引起Zeta电位的显著变化,进而影响双电层的排斥力。当碱性增加时,随着Zeta电位变负(绝对值变大),ΦEDL将升高,从而导致GO片在介质中的分散性更好。相反,随着分散液中酸性的增加,由于排斥作用变弱,GO片通过有吸引作用彼此缔合。在酸性条件下(pH = 0.5 或1),GO片之间的吸引作用增强了片与片之间的聚集,从而引起粘度和屈服应力的增加,在碱性条件下(pH = 9),排斥作用显著增加,抵消了部分吸引作用。此外,羧基的电离还增强了GO片的亲水性,这又导致了纳米片更好的分散。与低pH情况相比,这些因素将共同导致粘度的降低。

图1 不同pH下,在25 °C条件下对浓度为1.21%的GO水分散液流变行为的影响:(a)粘度;(b)剪切应力随剪切速率的变化;(c) G’和G”随频率的变化。
02
温度对GO分散液流变行为的影响
通过图2可知,在15至30 °C之间,温度的升高均能提升弹性模量及损耗模量,但影响并不明显。而在35 °C以上温度的改变则将极大地提升G’,使GO分散液表现出类固体的行为。这也说明在加工时,尽量需把温度控制在35 °C以下,否则温度对流变行为及加工的影响将不可忽略。

图2 浓度为1.21%,pH = 5条件下(a) G’和(b) G”在不同温度下随频率变化的情况。
03
有机溶剂对GO分散液流变行为的影响
我们选择了甲醇、吡啶和二甲基甲酰胺,来研究微量有机溶剂的添加对GO水分散液流变行为的影响。理论上来说,加入有机溶剂会破坏双电层结构,导致Zeta电位的绝对值减小,ΦEDL将降低。但是结果却发现,如图3所示,这四组实验测得的粘度非常接近,但是加入吡啶的GO水分散液在频率较低的时候模量有着显著的提升,而在高剪切速率下结构被破坏,G’曲线迅速下降并与G”交叉,呈现一种典型的弱凝胶的流变行为;而加入另两种有机溶剂的GO水分散液和对照组相比,模量的频率敏感度更强。

图3 浓度为1.21%,pH = 5、25 °C条件下加入不同有机溶剂,(a)粘度和(b)模量随频率变化的情况。
04
PBE模型对GO水分散液的动力学分析
一般来说,GO片间的聚集和分散动力学很复杂,很难建立一个详细的微观模型来描述剪切流作用下的结构变化。PBE (群体平衡模型)模型为研究分散液中的动力学平衡提供一种途径。研究表明,该模型通过跟踪分散颗粒的数密度函数的变化将分散相的微观行为与宏观特性联系起来,能增进对分散相的微观理解,同时能表征连续相的动力学。
05
高浓度GO分散液的粘弹性
通过蠕变和弹性后效实验,并进行拟合和优化分析,发现Poyting-Thomsom模型能较好地模拟高浓度氧化石墨烯凝胶的这种粘弹性,将此模型看成一个胡克弹簧和一个Maxwell体并联在一起;后者由一个弹簧和一个粘壶串联而成。对于高浓度GO分散液,其结构与流变性质在很多方面与高聚物流体相似,通过借鉴一些在高聚物中成功的模型对其进行分析,以更好地理解其结构和流变行为的变化。前期实验表明,高浓度的GO凝胶的粘弹性适用于刮涂法,此方法被证明是制备柔性多孔石墨烯薄膜的有效方法。通过调节GO分散液的pH值,从而影响其流变性能,制备出的GO水凝胶可以很容易地加工成尺寸良好的多孔膜。本研究中得到的实验结果可以为后续类似应用提供进一步的理论支持和实验依据。
结论与展望
稳态实验和动态流变实验表明,除了浓度的影响外,pH、温度以及加入不同的有机溶剂均对GO水分散液的流变性产生重要影响。降低pH值,适当增加温度,以及加入吡啶均可促进GO水分散液从粘弹性液体到凝胶态的转变。在这些条件下,弹性凝胶网络结构是通过范德华相互作用,氢键,疏水作用和其他吸引作用,使得相邻的GO片聚集而形成的。在此条件下,该网络保持稳定,能很好地抵抗外部剪切。对于碱性环境,或者适度降低温度,来自双电层的排斥作用增强,GO片更易分散,显示出软玻璃频率响应行为。采用片与片之间的DLVO理论可定性解释pH,温度及有机溶剂的影响,但是对吡啶来说,其出现的反常现象目前无法解释,有待进一步探索。这项研究的结果对于理解这种新型二维碳材料的独特结构和性质非常重要,并且通过调控这些简单的条件来极大地影响GO分散液的流变行为,进而影响其加工性能的影响。利用PBE模型分析了GO片聚集的动力学,阐明了屈服应力与GO体积分数之间的正相关关系。同时,通过蠕变和松弛实验发现,高浓度的GO分散液其结构与流变性质在很多方面与高聚物相似,同时能用Poyting-Thomson模型较好地拟合其粘弹性行为,这将为我们深入研究复杂的GO分散体系提供理论支撑和借鉴作用。
参考文献及原文链接
毛赫南, 王晓工. 影响高浓度氧化石墨烯分散液流变行为的重要因素及群体平衡动力学分析. 物理化学学报, 2022, 38 (4), 2004025. doi: 10.3866/PKU.WHXB202004025
Mao, H. N.; WANG, X. G. Key Factors Affecting Rheological Behavior of High-Concentration Graphene Oxide Dispersions and Population Balance Equation Model Analysis. Acta Phys. -Chim. Sin. 2022, 38 (4), 2004025. doi: 10.3866/PKU.WHXB202004025
http://www.whxb.pku.edu.cn/CN/10.3866/PKU.WHXB202004025
通讯作者

王晓工 教授
清华大学化学工程系教授、博士生导师。本科和研究生毕业于清华大学化工系,获博士学位。主要从事功能性高分子和石墨烯材料研究。
第一作者

毛赫南 硕士
1994年出生,2017年获清华大学化工系高分子材料专业学士学位,2020年获清华大学化工系高分子材料专业硕士学位。主要从事氧化石墨烯分散液流变行为的研究工作。
本文来自物理化学学报WHXB,本文观点不代表石墨烯网立场,转载请联系原作者。
