
成果介绍
随着集成电子器件的封装密度不断增长,足够的散热成为一项严峻的挑战。最近,具有高导热性的介电材料已经深入了解了电子器件中废热的有效散发,以防止它们过热并保证性能稳定性。层状CrOCl是一种具有低对称性晶体结构和原子级平坦度的反铁磁绝缘体,可能是应对热挑战的有希望解决方案。
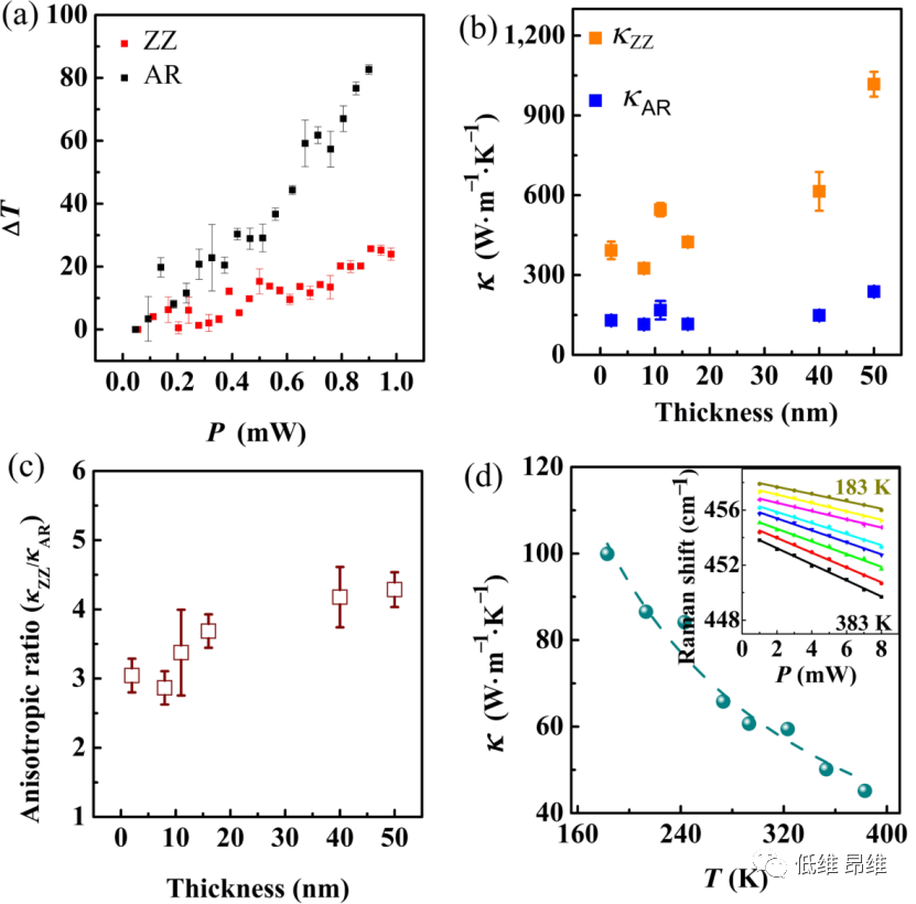
有鉴于此,近日,厦门大学张学骜教授,国防科技大学邓楚芸副研究员和中南大学黄寒教授(共同通讯作者)等合作通过显微拉曼测温系统系统地研究了悬浮的少层CrOCl薄片的热输运。CrOCl薄片沿zigzag方向表现出高热导率,当薄片厚度从2到50 nm时,热导率从~392±33到~1,017±46 W·m-1·K-1。此外,由于声子色散和声子表面散射的差异,在CrOCl薄片中观察到明显的厚度依赖性热导率比(κZZ/κAR从~2.8±0.24到~4.3±0.25)。作为层状CrOCl散热器应用的演示,本文随后分别研究了CrOCl、SiO2和h-BN衬底上石墨烯器件的能量耗散。在相同的电功率密度下,CrOCl上石墨烯器件的温升仅为SiO2上的15.4%和h-BN上的30%,表明了石墨烯器件在CrOCl上的高效散热。本文的研究为具有高导热性和强各向异性2D介电材料在电子器件中的热管理应用提供了新的见解。
图文导读

图1. 少层CrOCl(11 nm厚)的典型表征。

图2. 悬浮CrOCl薄片的角度相关拉曼等值线图和极坐标图。

图3. 使用显微拉曼测温法测量悬浮的少层CrOCl薄片的热导率。

图4. 悬浮CrOCl沿armchair和zigzag方向的各向异性热导率。

图5. 分别在SiO2、h-BN和CrOCl上对单层石墨烯器件进行温度提取。
文献信息
Highly anisotropic thermal conductivity of few-layer CrOCl for efficient heat dissipation in graphene device
(Nano Research, 2022, DOI:10.1007/s12274-022-4611-0)
文献链接:https://link.springer.com/article/10.1007/s12274-022-4611-0
本文来自低维 昂维,本文观点不代表石墨烯网立场,转载请联系原作者。
