巴克明斯特富勒烯(C60)分子的发现另人类可以合成了其他碳同素异形体,包括碳纳米管和石墨烯。虽然它们的结构以六元周期性碳环的存在为主,但也有非六元碳环结构。例如,C60结构承载12个五边形,它们负责富勒烯的高斯曲率。在碳纳米管和石墨烯中,四元,五元,七元和八元环被作为扩展和机械诱导五-五-七-七和四-四-八-八缺陷,以及化学气相沉积生长诱导的晶界。曲率的产生可以通过将这些环视为其他完美六角形结构(圆柱形或扁平)中边缘位错的核心来理解。由于石墨烯的极低弯曲刚度和极高的面内刚度,面外尺寸的延伸成为放松核心应变并使刚性C-C键更接近其优选平衡值的有效方法。
来自深圳巨浪计算科学与应用研究所、明尼苏达大学和不来梅大学的学者进行了全面的从头开始计算,以比较原始石墨烯的声子和电子基传导与T-石墨烯、联亚苯基和净石墨烯碳同素异形体的传导。有一种既定的观点认为,二维碳材料中的热传递主要是基于声子的,并且只有在n掺杂下,可忽略不计的电子基传导才会变得重要。与此概念相反,在这里本文发现,在具有非六边形环的2D碳同素异形体中,通过考虑电子 – 声子(el-ph)散射计算的电子热导率(κe)是最重要的。大κe补偿了κph的下降,这里计算的不仅是三声子(3ph),还包括四声子(4ph)和声子-电子(pe)散射。后一种贡献被其他方法所忽视,但最近它被证明会引起石墨烯, MoO3,和BeN4中κph的强抑制。相关文章以“Ultrahigh Electron Thermal Conductivity in T-Graphene, Biphenylene, and Net-Graphene”标题发表在Advanced Energy Materials。
论文链接:https://doi.org/10.1002/aenm.202200657


图1. a) 石墨烯、叔石墨烯、联苯和净石墨烯的晶体结构计算。颜色代码显示键的长度。晶胞用黑线表示。ΔE是相对于石墨烯测量的总能量。b)计算的κtotal = κph + κevs. T。c) T=300 K时单层2D材料的热导率。

图2.a) κph和κe与T的关系,b)谐波声子色散,以及c)石墨烯、T-石墨烯、联苯和净石墨烯的DFT计算和Wannier插值得出的电子能带结构。

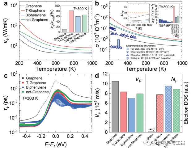
图3. 比较石墨烯、T-石墨烯、联苯和净石墨烯在费米水平上的a)κe与T、(b)σ与T,c)电子弛豫时间,以及d)费米速度和电子DOS。

图4. a)T = 300 K时κ3phph和κ3 + 4phph的比较,b)T = 300 K时的体积热容量,c)声子群速度,d)正常和Umklapp过程的声子散射速率以及T = 300 K时由于3相散射引起的寿命衰减,e)声子DOS,f)Grüneisen参数,g)3ph和4ph散射事件的相空间, h)100个最大的第三和第四IFC基体元素的强度。i)石墨烯,T-石墨烯,联苯和净石墨烯的ELF。

图5. a)所有声学模式和ZO模式对κph的归一化贡献归因于3ph,3 + 4ph和3 + 4ph + pe相互作用,其中插入是相对于声子频率ω。b,c)3ph,4ph和pe散射的所有声学模式的累积κph,以及d)Eliashberg光谱函数α2tr F和传输el-ph的耦合强度λtr在T = 300 K下石墨烯。
总之,利用玻尔兹曼输运方程形式主义结合密度泛函理论计算,本文发现了具有电子基和声子热传导的二维碳同素异形体。虽然电子基热传导在石墨烯中很小,但在具有非六角形环的2D碳同素异形体中却是超高的。基于声子的传导仍然很重要,尽管应变和晶格对称性变化引起的C-C键合变化引起的非谐波效应使效果恶化。基于电子的传导补偿了κph的降低,并使T-石墨烯,联亚苯基和净石墨烯的κ总数接近石墨烯、h-BN和MoS2,它们均表现出基于声子的热传导。其他理论上预测的2D碳同素异形体,如五石墨烯、α石墨烯、g石墨烯、Ψ石墨烯和pop-graphene,它们均显示出金属特性,因此可以获得T-石墨烯、联亚苯基和净石墨烯的令人印象深刻的属性。2D碳同素异形体可能有助于实现下一代技术,该技术需要纳米结构,能够通过电子扩散和声子振动的组合来传递热能。(文:SSC)
本文来自材料科学与工程,本文观点不代表石墨烯网立场,转载请联系原作者。
