
第一作者:Zhimin Jia, Mi Peng, Xiangbin Cai, Yunlei Chen
通讯作者:Hongyang Liu, Ding Ma
通讯单位:中国科学院,北京大学
研究内容:
对多相催化剂中活性位点的基本了解对于开发有效的催化剂是极其重要的。一般来说,由于其结构的复杂性,包括大小和特定的原子构型,很难确定催化活性位点。在本文中,我们在纳米金刚石/石墨烯(ND@G)混合载体上制备了不同的Pt种类(单个原子、完全暴露的团簇和纳米颗粒),以了解它们在低温CO氧化过程中的结构演化。值得注意的是,原子分散和完全暴露的铂团簇与几个铂原子的集合显示出对低配位金属位点的最大原子利用。通过催化性能评价、详细的表征和理论计算确定,0.5wt% Ptn/ND@G催化剂在低温下对CO氧化的催化性能优于单原子和纳米颗粒催化剂。这是由于在这些原子分散和充分暴露的铂团簇催化剂上,对CO的吸附减弱,促进了O2的解离吸附。

要点一:
开发了一系列铂催化剂,由纳米金刚石/石墨烯(ND@G)混合载体负载单原子、完全暴露的团簇和不同铂负载的纳米颗粒,以揭示低温CO氧化活性之间的特殊关系和Pt−Pt配位数,探讨了低温CO氧化活性位点的局部结构。在惰性纳米碳载体上完全暴露的Pt团簇(0.5wt%Ptn/ND@G)作为一种活性物种,表现出优越的低温CO氧化活性和低活化势垒,这归因于近100%的Pt分散和拥有多个活性位点。
要点二:
详细的实验结合DFT计算表明,CO的吸附较弱,O2的离解吸附增强(比Pt纳米颗粒),在Pt完全暴露的团簇上,更有利的反应物吸附位点(与Pt单原子相比),导致CO在低温下具有极高的氧化性能。

图1:(a)原始纳米金刚石和(b)ND@G的HRTEM图像。(c−e)0.5wt%Ptn/ND@G的HAADF-STEM图像。(f)沿0.5wt%Ptn/ND@G线的强度剖面。

图2. Pt L3-edge XANES光谱。(b)不同Pt/ND@G催化剂的EXAFS傅里叶变换(FT)k3加权χ(k)函数谱。(c)0.1wt%Pt1/ND@G和(d)0.5wt%Ptn/ND@G的CO吸附原位DRIFTS。

图3.(a)在不同的Pt/ND@G样本中,30°C处Pt−Pt壳的配位数(数据,右轴)与TOF(条,左轴)之间的关系(误差条代表标准差)。(b)不同Pt/ND@G催化剂上的表观活化能(Ea)。反应条件:1vol%CO,1vol%O2气体混合物与He平衡,GHSV=90000 mL g−1h−1。

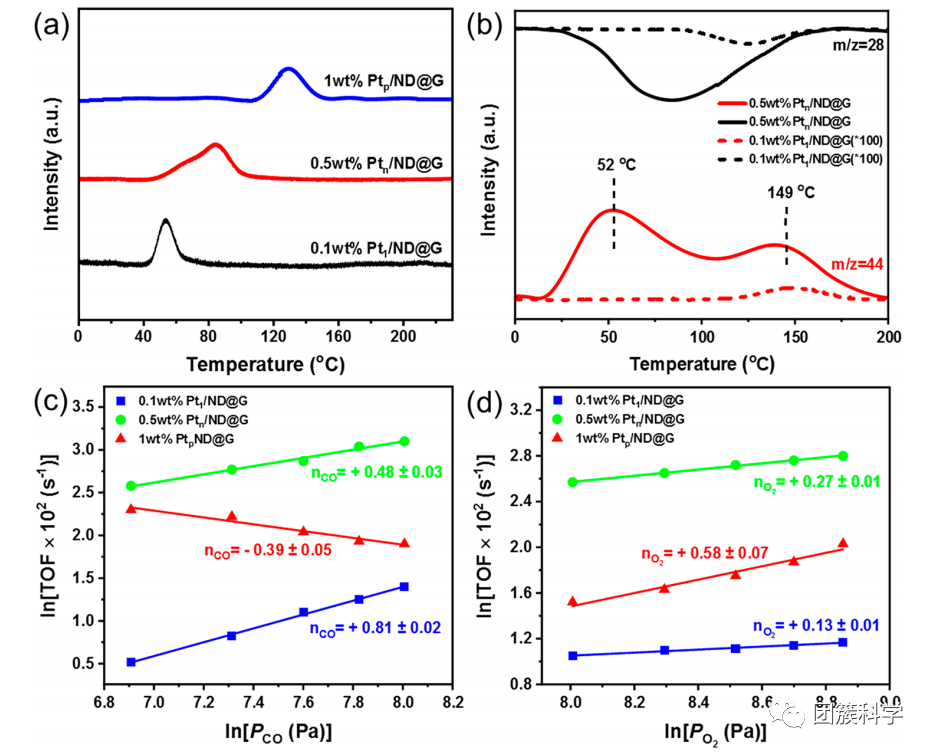
图4.(a)不同Pt/ND@G催化剂的CO-TPD光谱。(b)在室温下吸附O2分子后,在CO流中获得的CO-TPSR-MS谱。在不同Pt/ND@G催化剂上(c)CO和(d)O2分压对TOF的影响。条件:在(c)中PO2=4 kPa,PCO=1−3 kPa。在(d)中PCO=2 kPa,PO2=3−7 kPa。(c)和(d)的所有测量都在30°C下进行。

图5.提出了CO在Pt4O/Gr的氧化反应途径。(i)−(ix)显示了关键步骤和中间产物的结构。插图显示了势能剖面。括号内的数字表示基本步骤的障碍。图例:TS,过渡态;O、C和Pt原子分别为红色、灰色和蓝色。
参考文献:
Jia, Z.; Peng, M.; Cai, X.; Chen, Y.; Chen, X.; Huang, F.; Zhao, L.; Diao, J.; Wang, N.; Xiao, D.; Wen, X.; Jiang, Z.; Liu, H.; Ma, D., Fully Exposed Platinum Clusters on a Nanodiamond/Graphene Hybrid for Efficient Low-Temperature CO Oxidation. ACS Catalysis 2022, 9602-9610.
本文来自科学温故社,本文观点不代表石墨烯网立场,转载请联系原作者。
