过渡金属硫化物是公认的储能材料。采用水热法合成了一种高效稳定的氧还原反应(ORR)复合催化剂rGO改性VS4。采用扫描电子显微镜(SEM)、透射电子显微镜(TEM)、X-射线衍射(XRD)、拉曼光谱、BET比表面积法(BET)、X-射线光电子能谱(XPS)和电化学方法对催化剂的结构、形貌、组成和催化活性进行了检测。结果表明,在催化过程中,VS4与rGO之间存在较强的键合,有利于电子的转移。因此,该复合催化剂具有优越的ORR活性、甲醇耐受性和较长的耐用性。本研究为开发廉价、高效、稳定的Pt/C替代催化剂提供了有益的探索。

图1. rGO改性VS4的(a-c)SEM和(d-f) TEM图像。

图2. (a) VS2和rGO-改性VS4的XRD谱图;(b) rGO-改性VS4的拉曼光谱;(c) VS2和rGO-改性VS4的氮吸附-脱附等温线;(d) VS2和rGO-改性VS4的孔径分布数据。

图3. (a) rGO-改性VS4和VS2的XPS谱,rGO-改性VS4的(b) C 1s、(c) S 2p和(d) V2p核级及对应的退卷积光谱。

图4. (a)三个样品在N2-和O2-饱和0.1 M KOH溶液中的CV曲线。(b)在O2-饱和0.1 M KOH中三个样品和Pt/C的线性扫描伏安法(LSV),RDE旋转速率为1600 rpm。(c)三个样品和Pt/ c在0.4 V时的K-L曲线, (d)三个样品和Pt/ c的ORR转移电子数n和Ik。(e) rGO改性VS4的LSV。(f)计算rGO改性VS4的K-L图。

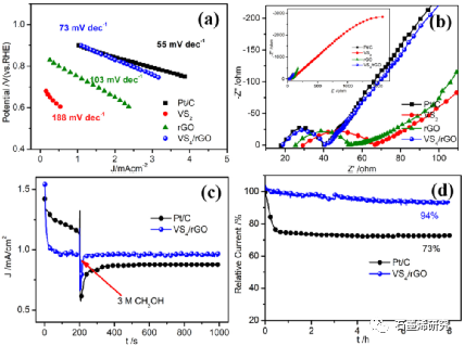
图5. (a)三个样品和Pt/C的Tafel图。(b)三个样品和Pt/C的EIS图(插图:与EIS一致的等效电路模型),(C) rGO改性VS4和Pt/C加入3M甲醇前后的计时安培响应。(d) rGO改性VS4和Pt/C的i-t。
相关研究成果由安徽科技大学化学与材料工程学院Jing Tang等人于2022年发表在International Journal of Hydrogen Energy (https://doi.org/10.1016/j.ijhydene.2022.01.063)上。原文:Reduced graphene oxide-modified vanadium tetrasulfide serves as an excellent catalyst for oxygen reduction reaction。
本文来自石墨烯研究,本文观点不代表石墨烯网立场,转载请联系原作者。
