聚合物复合材料的多功能化是指通过简单的结构设计将多种性能联系起来,同时实现多种性能共同优化的能力。将聚合物复合材料的热管理、电磁干扰屏蔽和机械性能相结合是多功能化发展的趋势。其中,多功能聚合物复合材料大尺度设计和规模化制备是目前面临的挑战。本文提出通过软模板-分散浸涂法构建得到具有互穿结构的MXene/石墨烯网络,以简单且易于量产的方法实现了复合材料的多功能化。

Interconnected MXene/Graphene Network Constructed by Soft Template for Multi-Performance Improvement of Polymer Composites
Liyuan Jin, Wenjing Cao, Pei Wang, Na Song & Peng Ding*
Nano-Micro Letters (2022)14: 133
https://doi.org/10.1007/s40820-022-00877-7
本文亮点
1. 通过软模板法和简便的分散浸涂法构建得到具有互穿结构的MXene/石墨烯网络,用于聚合物复合材料的多性能改进。
2. 制备的聚合物复合材料具有优异的垂直热导率和电磁干扰屏蔽性能,可应用于下一代智能电子设备功能集成。
3.聚合物复合材料同时获得了优化的相变、动态热机械和力学性能,为其提供了在变温环境中的应用基础。
内容简介
电子器件小型化、集成化发展影响着高分子复合材料转向多功能化研究。在聚合物中构建连续的三维功能网络,已被证明是能够实现复合材料多功能提升的有效策略。上海大学丁鹏研究员课题组通过简便的软模板-分散浸涂法,构建出连续的MXene/石墨烯功能网络,获得的复合材料同时具有出色的电磁干扰屏蔽(EMI SE为43.3 dB)和热管理性能(导热增强率为1118%),并且表现出优化的相变(相对焓效率多次循环后保持在83%)、动态热响应行为(储能模量约为6240 MPa)和机械性能(杨氏模量提升4倍)。这种制备方法在实现材料多功能化的同时,也具有能够实现大尺度设计、样品定制、易于规模化的独特优势。
图文导读
I 三维MXene/石墨烯功能网络的构筑及力学性能
如图1所示,首先采用聚多巴胺对软模板聚氨酯海绵进行修饰,提高聚氨酯海绵的亲水性,随后利用简单的水基浸涂法将MXene和石墨烯功能填料组装在软模板的微孔结构中。最后通过真空灌注聚合物获得聚合物复合材料,所得到的聚合物功能网络依托软模板组装,并且随着MXene和石墨烯含量的增加越来越致密。如图2所示,软模板聚氨酯海绵的引入使得功能网络具有良好的可压缩力学性能,聚多巴胺的修饰加强了聚氨酯海绵在可逆压缩过程中的应力,证实了对功能网络的强化作用。经过多次循环压缩后的功能网络仍然可以基本恢复到原本形貌,这说明功能网络在聚合物复合材料中具有足够强度。

图1. (a) MGPP复合材料的制备流程;(b) PU、(c) PU@PDA、(d) MGP100复合海绵和(e) MGP100-3复合海绵的表面SEM图像及其相应的放大图像。

图2. (a) PU和(b) PU@PDA海绵在80%的最大应变下的循环压缩曲线;(c) MGP25、(d) MGP50、(e) MGP75、(f) MGP100、(g) MGP100-2和(h) MGP100-3复合海绵在16 N相同应力下的循环压缩曲线。
II 复合材料的热管理性能
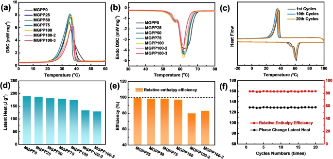
复合材料的热导率随MXene和石墨烯含量增加而增加,如图3所示,在18.7 wt%的MXene/石墨烯含量下,复合材料的垂直热导率达到2.44 W m⁻¹ K⁻¹,导热增强率达到1118%。如图4所示,利用热感扫描显微镜对复合材料中互穿功能网络的导热通路进行可视化分析,在10×7 μm的扫描区域内,出现了强达60 μA的微区电流信号,并且与树杈状突起的形貌图相对应,还原出探针电流加热后在复合材料局部进行的热量传递行为。图5表明互穿功能网络的加入对复合材料相变性能的影响,虽然相变潜热随功能填料含量的增加而降低,但与同时增强的热导率相互抵消,使得复合材料在经过多次多个DSC循环后,相对焓效率依然能够保持在83%的较高水平。

图3. 不同(a)浓度和(b)循环次数的MGPP复合材料的垂直热导率;(c)不同MXene/石墨烯含量对应的TCE;(d)不同三维网络填充复合材料的导热系数比较。

图4. (a)形貌及(b) SThM及其对应的MGPP100-3复合材料的三维立体图像。

图5. MGPP复合材料在(a)冷却和(b)加热过程的DSC曲线;(c)不同热循环次数的DSC曲线、(d)相变潜热和(e)相对焓效率;(f) MGPP100-3在不同热循环次数下的相变潜热和相对焓效率。
III 复合材料的动态热响应行为
如图6所示,具有热响应性能的复合材料表现出和温度变化的强相关性,复合材料在循环加热-冷却过程中表现出动态的热机械性能,具体表现为:加热过程中的复合材料能够在外力作用下产生形变,冷却后复合材料维持在形变后的临时形状。当再次加热后,复合材料能够自发形变恢复为原始形状,由于填充其中的功能网络决定了复合材料的永久形状,所以多次循环加热后的复合材料冷却后依保持在其永久形态。

图6. MGPP复合材料的(a)循环热响应特性的示意图;(b)储能模量;(c)损耗模量和(d)损耗因子tan δ曲线。
IV 复合材料的电磁屏蔽性能
通过软模板构建的多孔结构功能网络能够有效地反射和吸收入射的电磁波,如图7所示,对于电子器件通常释放的X波段电磁波辐射,复合材料的屏蔽效能最大值达到43.3 dB,满足该类材料的商业应用标准。复合材料对电磁波的屏蔽机理以吸收为主,有效的解决了电磁波二次污染的问题。

图7. MGPP复合材料在X波段频率范围内的(a) SET,(b) SEA和(c) SER,(d) 在12.4 GHz下的EMI屏蔽性能对比。
V 复合材料的力学性能
力学性能是复合材料实际应用的基础,如图8所示,在聚合物中仅填充软模板聚氨酯海绵时,复合材料由于不良的界面相容性而产生力学性能的下降。浸涂不同含量的MXene和石墨烯分散液后,功能网络在聚合物中的界面相容性因氢键相互作用而得到改善,复合材料的力学性能显著增强,应力、杨氏模量和刚度对比于聚合物基体均成倍提高,极大增加了复合材料的可应用性。

图8. MGPP复合材料的力学性能:(a) 应力-应变曲线,(b) 应力强度,(c) 杨氏模量和(d) 刚性。
作者简介

丁鹏
本文通讯作者
上海大学 研究员
▍主要研究领域
1) 高分子结构设计与机器学习;2) 碳中和与废旧塑料资源化。
▍主要研究成果
上海市优秀技术带头人、江苏省双创人才;在Nano-Micro Lett、Chem Mater、Carbon、ACS Appl Mater Interface等期刊上发表论文60余篇;参与再生塑料相关国家标准制定3项(第一起草人2项);公开专利60余项,授权20余项。科研成果得到央视《新闻联播》、《经济半小时》等关注。
▍Email:dingpeng@t.shu.edu.cn
▍个人主页:https://www.scholarmate.com/P/U7Br2u
https://www.scicol.shu.edu.cn/szdw/faculty/dp.htm
本文来自nanomicroletters,本文观点不代表石墨烯网立场,转载请联系原作者。
