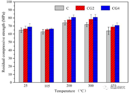
本文研究了在温度为105℃、200℃、300℃和450℃时,含有氧化石墨烯(GO)团聚体水泥浆的高温性能。一般来说,在环境温度下,加入GO可以细化氢氧化钙的孔隙结构和结晶尺寸,这有利于水泥浆体的热阻。在本研究的热处理过程中,发现GO团聚体中的结合水可以忽略不计(通过失重分析)。GO团聚体抑制水泥浆的孔隙结构粗化。在300℃(接近水的临界点),加入0.04%(重量)的氧化石墨烯时,孔隙结构更细,总孔隙度降低了8.5%。在温度为200℃、300℃和450℃时,在水泥浆中加入0.04%的氧化石墨烯,其残余抗压强度分别比参考试样高9.28%、12.63%和10.83%。

图1. C、CG2、CG4在高温后的失重。

图2. C和CG4经高温处理后进行XRD扫描图谱。

图3. C和CG4在不同温度下的XRD(17°-20.5°)扫描图谱。

图4. C和CG4高温处理后的CH晶体大小。

图5. C和CG4在加热前后的(a)累积孔隙体积和(b)孔隙体积差。

图6. C和CG4在加热前后的孔隙分数。

图7. (a, b, c)C和(d, e, f) CG4在300℃下曝光后的扫描电子显微镜(SEM)图像。

图8. CG4的(a)SEM图和(b)X-射线图(bl:氧元素;b2:钙元素;b3:碳元素;b4:硅元素)。

图9. 高温处理后C、CG2和CG4的残余抗压强度结果。

图10. 样品C和CG4在25℃、300℃和450℃时的应力-应变曲线。

图A1. 不同水泥浆体样品的微坍落度。

图A2. GO团聚体示意图:(a)GO纳米片(设定为1克);(b) a四层GO团聚体;(c)一层含有四纳米片;(d)一层含10纳米片。
相关研究成果由太原理工大学土木工程学院Ya Chen等人于2022年发表在Construction and Building Materials (https://doi.org/10.1016/j.conbuildmat.2021.126286)上。原文:High-temperature properties of cement paste with graphene oxide agglomerates。
本文来自石墨烯研究,本文观点不代表石墨烯网立场,转载请联系原作者。
