引气剂(AE)能提高水泥材料的抗冻性。但其发泡性能会显著降低抗压强度。为了在不影响力学性能的前提下提高冻融耐久性,本研究在室内进行了在带气砂浆中添加氧化石墨烯(GO)的实验,并在此基础上通过微观结构和数值分析探讨其机理。试验结果表明,0.03 wt%的GO(最佳掺量)可使掺气砂浆的抗冻性和抗压强度分别提高18.9%和41.9%。从微观试验可以看出,AE和GO都能降低砂浆的间距系数,而在砂浆中加入AE和GO对孔隙率的影响趋势相反。为了预测冻融过程的恶化,首先提出了考虑氧化石墨烯对冻融过程中水输运和成核规律影响的热-水-力学模型。结果表明,水流和自压缩均可阐明冻融损伤机理。通过对实验数据的验证,证明所建立的模型能够较好地模拟加气砂浆的冻结劣化过程,尤其是片状纳米添加剂的情况。数值结果表明,在忽略纳米分散性的前提下,随着氧化石墨烯含量的增加,其抗冻性会不断提高,因此随着分散性技术的发展,其抗冻性会得到显著提高。

图1.氧化石墨烯分散体的稳定性(从左至右对应样品为UV-0 ~ UV-9)。

图2. GO分散体的UV-Vis光谱。

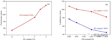
图3. AE和GO含量对砂浆稠度的影响。

图4. AE和GO含量对抗压强度的影响。

图5. 150次循环后不同样品的降解:(a) M00;(b) MGO-2;(c) MAE-2;(d) MAG-2。

图6. 质量损失随冻融次数的变化。

图7. GO-水泥砂浆抗压强度随冻融次数的变化。

图8. 加气砂浆抗压强度与冻融次数的关系:(a)不含GO;(b)含GO。

图9. 折减系数与冻融次数的关系。

图10. 不同尺度冻/融条件下加气混凝土的孔隙压力。

图11. (a)顺序排列和(b)随机排列的纳米片示意图。

图12. 几何模型。

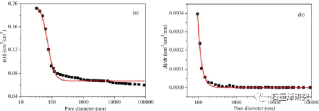
图13. 加气砂浆孔径分布的函数。

图14. 耦合模型与实验数据的验证。

图15. 温度随时间的变化。

图16. MAG-2模型不同时刻温度的变化。

图17. 液压随时间的变化。

图18. MAG-2模型不同时刻液压的变化。

图19. 应变随时间的变化。

图20. MAG-2模型不同时刻应变的变化。
相关研究成果由中国科学院西北生态环境资源研究院、冻土工程国家重点实验室Hongyan Zeng等人于2022年发表在Construction and Building Materials (https://doi.org/10.1016/j.conbuildmat.2022.126708)上。原文:Exploring the effect of graphene oxide on freeze–thaw durability of air-entrained mortars。
本文来自 石墨烯研究,本文观点不代表石墨烯网立场,转载请联系原作者。
