氧化石墨烯(GO)是一种廉价的碳材料,可作为无金属碳催化剂和多种有机反应的高效酸性催化剂。本文综述了近年来(主要是2011年至2020年)天然GO促进有机反应的研究进展,包括氧化偶联反应、官能团转化反应、氧化卤化反应、缩合反应等。值得注意的是,在这些报告的系统中,氧化石墨烯可以被回收和重复使用多次。然而,在可见光诱导的有机反应中,使用氧化石墨烯作为光吸收剂和多相光催化剂的情况仍然很少。我们相信,氧化石墨烯作为多相光催化剂在光催化有机转化中的应用将在未来得到更多的关注。

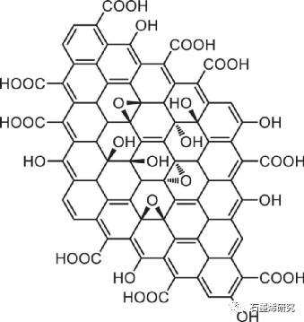
图1. 氧化石墨烯的结构。

图2. 氮杂环脱氢反应。

图3. 叔胺的α-氰化。

图4. 伯胺的官能化。

图5. 芳香胺、酚、茴香醚和酮的硫氰化反应。

图6. 功能化1,4-苯并噻嗪的合成。

图7. α-酮酰胺及其衍生物的合成。

图8. 二芳基化合物的合成。

图9. 芳烃的三氟甲基化。

图10. 1,2,3,4-四氢异喹啉衍生物的三氟甲基化。

图11. 芳烃的三氟甲基化。

图12. 吲哚硫酰化。

图13. 氧吲哚的硫基化和芳基化。

图14. 三嗪类及取代三嗪类化合物的合成。

图15. 羟基的选择性氧化

图16. 芳基硼酸的羟基化。

图17. 苯胺和苯酚的溴化。

图18. 芳烃和酮的碘代反应。

图19. 芳烃与苯乙烯或醇的烷基化反应。

图20. 噻吩与醇的烯丙基烷基化。

图21. 醚的双吲哚化

图22. α-氨基膦酸酯和3,4-二氢嘧啶-2-酮的合成。

图23. 1,3-二羰基化合物的2-烷基化。

图24. 二芳基化合物的合成。

图25. 立体化学吲哚基团的构建。

图26. 对甲苯并氮杂环丙烷的合成。
相关研究成果由郑州大学化学学院生物学院Fan Gao等人于2021年发表在Chinese Chemical Letters (https://doi.org/10.1016/j.cclet.2021.10.081)上。原文:Recent advances in graphene oxide catalyzed organic transformations。
本文来自石墨烯研究,本文观点不代表石墨烯网立场,转载请联系原作者。
