第一作者:Gujia Zhang
通讯作者:Chao Xu
通讯单位:State Key Laboratory of Photocatalysis on Energy and Environment, College of Chemistry, Fuzhou University, Fuzhou 350108, P. R. China.
论文链接:https://doi.org/10.1016/j.carbon.2021.10.081
图文摘要

成果简介
福州大学张谷佳(第一作者)在Carbon期刊发表了题为 “Freestanding N-doped graphene membrane electrode with interconnected porous architecture for efficient capacitive deionization” 的论文。在本文中作者制备了独特的自支撑N掺杂石墨烯多孔膜电极,在NaCl溶液中具有约21.8mg/g的高CDI容量,对其它类型盐具有良好的脱盐能力,表明在复杂盐水溶液中的潜在应用。
全文速览
不受添加剂影响的独立式电极被认为是电容去离子(CDI)领域的一种理想电极结构。然而,受电导率、有效表面积、亲水性等因素的影响,有效构建具有高海水淡化性能的独立式CDI电极仍面临巨大挑战。在此,作者制备了一种独特的N掺杂石墨烯独立式多孔膜电极,具有出色的海水淡化性能。制备过程主要包括采用压缩成型方法,将具有不完整氧化石墨烯壳的核壳复合材料组装成一体膜,并在NH3气氛下进行热处理。这些N掺杂的保留球壳构成了具有网络多孔结构的独立膜电极。互连的球壳有效地提高了整体组件中表面和孔隙的可用性,而氮元素的掺杂进一步增强了电解质对石墨烯基表面的可及性。因此,这种石墨烯碳质独立电极表现出优异的海水淡化性能,在NaCl溶液中具有约21.8 mg/g的CDI容量。此外,这种独立式膜电极还对其他一些盐如KCl、CaCl2和MgCl2 具有良好的脱盐能力,表明它们在复杂盐水溶液中的潜在应用。
引言
从盐水介质中高效去除离子对于清洁水和可再生能源的可持续未来至关重要。电容去离子(CDI)作为一种新兴的水修复和离子回收技术,由于其能耗低、环境友好、操作方便等优点而受到广泛关注。通常,CDI装置的海水淡化性能很大程度上取决于电极材料,电极材料通常是通过将粉末活性材料与聚合物粘合剂和导电添加剂混合制成的。然而,这些辅助材料的使用对电容几乎没有贡献,反而对CDI性能带来一些负面影响,如堵塞活性材料的孔隙,降低电极的导电性和润湿性,增加额外的生产成本等。因此,有必要开发一些没有额外添加剂干扰的替代CDI电极,例如独立式CDI电极。
到目前为止,独立式海水淡化电极的研究已经引起了一定的关注。例如,典型的活性炭粉末采用模铸法组装成独立式电极,其脱盐能力约为8.9 mg/g。碳纳米纤维可用作具有高CDI容量(~9.13 mg/g)的有前途的独立电极。除了这些碳质材料之外,最近还利用一些法拉第材料(例如MXene)来制备独立式电极。然而,大多数这些电极的CDI容量并未得到充分利用,这可能是由于这些独立式电极难以同时满足CDI系统的一些特定要求,例如更好的导电性、大的比表面积面积、适当的多孔特征、良好的亲水性等。因此,有效构建具有高海水淡化能力的独立式CDI电极仍面临相当大的挑战。
石墨烯基纳米片作为碳质CDI电极已经表现出优异的脱盐性能,这主要归功于其相对优异的导电性和比表面积。虽然石墨烯片可以很容易地组装成独立的膜,但它们中很少有人适合用作CDI电极,这可能是由于密集堆叠导致它们的可用表面积受限。将石墨烯基片组装成三维(3D)多孔框架被认为是减少聚集和提高其CDI容量的有效策略,例如典型的冻干石墨烯海绵电极。尽管取得了这些进展,但仍有一些关键问题限制了具有高脱盐性能的石墨烯基独立电极的发展。但经常被忽视的关键问题之一是这些单片电极中离子吸附和存储的表面积或孔的真实可用性。
已经证明,石墨烯基片材由于其特殊的纵横比,总是表现出一定的阻隔特性。因此,由这些二维薄片组成的孔壁通常用作隔板,这将阻止开放互连。即使在这些电极中引入了丰富的孔隙,这种相对封闭的结构特征也会给石墨烯基独立电极的CDI性能的提高带来一定的障碍。此外,电极的表面亲和力对于海水淡化电极的表面积或孔隙的实际可用性也很重要,例如亲水性。由于具有一定负载质量的独立式电极可能有点厚,润湿性差会降低电极材料表面电解质的真实可及性,即使可检测表面积很大,影响电极在水中对离子的有效捕获海水淡化过程。因此,提高表面积或孔隙的可用性对于构建具有优异CDI性能的石墨烯基独立电极至关重要,这将有利于促进石墨烯电极的广泛使用,特别是在石墨烯电极中具有独立特征的电极。
在此,作者通过合理的结构设计成功制备了具有优异脱盐性能的N掺杂石墨烯独立多孔膜电极(标记为F-N-GPM)。这种电极的构建主要包括模板介导的不完全石墨烯基球壳使用压缩成型组装成独立的块体,以及在NH3气氛下的热处理。这些形成3D网络结构的不完整石墨烯壳改善了整体组件中孔的互连性和可用性,而氮原子的掺杂进一步加速了电解质对这些形成的孔/表面积的可及性。由于更大的可用表面积、更低的内阻和更好的润湿性,F-N-GPM电极表现出优异的海水淡化性能。特别是1.8 V的100 mg/L NaCl 溶液中实现了21.8 mg/g的超高CDI容量,并且这种电极在持续循环中还具有良好的去离子稳定性和再生性能。此外,F-N-GPM电极还对KCl、CaCl2、MgCl2盐离子表现出优异的电吸附性能,表明它们在不同盐水系统中的广泛适用性。
图文导读
图1显示了典型样品在不同制备步骤的FESEM图像。我们之前的工作已经表明,PS模板介导的GO壳层通常是不完整的,如图1(a)中的箭头所示,这是由于平面和球形表面之间的结构差异。这些未密封的球壳将为构建具有开放互连特征的多孔结构提供有利条件。根据Wang报告的压缩成型方法,这些获得的PS@GO粉末可以在静油压机下成功组装成块状圆盘,如图所示在图2(a)中。从图1(b)所示的FESEM图像可以看出,这些分散的复合球体在挤压成型后排列成有序的结构。尤其是样品表面呈六边形块状,而内部结构也表现出明显的挤压特征,这与PS基复合颗粒在准静态压缩下的变形一致。

Fig. 1. FESEM images of samples. (a) PS@GO composite powder. (b) PS@GO assembly. (c) and (d) Surface of F-N-GPM sample. Insert in (c) is the element mapping of selected area. (e) Cross-section image of F-N-GPM and (f) element mapping of crosssection. (A colour version of this figure can be viewed online.)
通过热处理去除模板后,除了颜色变黑(图2(b))外,膜的宏观结构得到了很好的保留,这可能是由于这些保留的壳形成了紧凑的框架结构(复合材料中GO片的含量可以通过TG分析计算)。图1(c)和(d)显示了退火后样品的典型表面形貌和元素分布。正如预期的那样,形成了一个统一的3D多孔网络框架,其中网络源自相邻复合球体之间的壳连接,而消失的模板留下了许多空隙。值得注意的是,这些带有漏洞的孔壁(壳层)明显改善了散装样品中这些孔的开放互连性,如放大图像中的箭头所示(图1(d))。同时,样品的横截面也存在类似的形态特征(图1(e)),表明这种相互连接的多孔结构均匀地分布在整个电极上。此外,根据横截面图像,所得多孔膜的厚度约为 540 μm(图1(f))。

Fig. 2. Photos of freestanding samples (a) before and (b) after heat treatment.
由于PS@GO复合样品在NH3气氛下进行热处理,这些GO壳可以同时还原和掺杂,从而形成N掺杂石墨烯独立产品。图3(a)显示了原始GO片和所制备的石墨烯基样品的典型XRD。热还原后,GO层状结构在10°(2θ)附近的特征峰消失,而属于这些重新堆叠的石墨烯片的典型(002)衍射峰出现在26°(2θ)附近。然而,由于大孔结构的引入,石墨烯的有序堆叠结构被破坏,衍射图案出现一定程度的展宽。此外,从拉曼光谱(图3(b))可以看出,退火处理后样品的石墨化程度增强(增加IG/ID比),也表明形成了基于石墨烯的物质。

Fig. 3. (a) The XRD patterns, (b) Raman spectra, (c) Wide-survey XPS spectra and (d) N1s XPS oforiginal GO sheets and F-N-GPM samples. (A colour version of this figure can beviewed online.)
当然,这种将GO片材转化为基于石墨烯的片材可以通过XPS曲线进一步证实(图3(c))。例如,热处理样品中O 1s峰的强度明显降低,表明 GO基组件经历了显着的脱氧还原过程。从图3(c)也可以清楚地看到,N 1s峰出现在所制备的样品中,表明氮原子在退火后成功地掺入到这种基于石墨烯的独立多孔样品中。特别是,所形成样品的高分辨率N 1s光谱进一步表明,氮原子以吡啶氮、吡咯氮和石墨氮三种形式掺杂到石墨烯中(图 3(d)),这与之前的研究非常一致。根据样品表面和横截面的元素映射(图1(c)和(f)),这些掺杂的N原子在整个组件中的分布是均匀的,这导致形成均匀的N掺杂石墨烯多孔膜(F-N-GPM)。此外,元素分析仪还分析了F-N-GPM中氮(~6 wt%)和碳(~86 wt%)元素的含量。
已经证明,杂原子的掺杂可以改变电极材料的某些性质。例如,除了石墨烯基材料的导电性(下文讨论)外,氮原子的引入还可以提高它们对离子的吸附能力,这有利于提高这些电极的电吸附性能。另一方面,氮掺杂也将有助于提高电极的亲水性,这对于体脱盐电极尤为重要。可以想象,如果这种亲和能力不好,即使电极的可检测表面积很大,盐水溶液中的离子也很难有效地接近这些表面。为了评估电极的润湿性,测量了水接触角。图4(a)显示了放置在F-N-GPM和控制F-GPM电极上不同持续时间的水滴(10μL)的连续照片。显然,F-N-GPM 样品表现出优异的润湿性。F-N-GPM电极的初始接触角仅为6°左右,并在15 s内迅速降至0°。相比之下,对照 F-GPM样品的水接触角在60秒内几乎保持在 80° 左右(图 4(b))。因此,N掺杂引起的良好润湿性有利于进一步提高F-N-GPM电极对离子的吸附空间的可用性,这将使所形成的多孔框架在海水淡化过程中得到更好的利用。

Fig. 4. Water drops on (a) F-N-GPM and (b) control F-GPM samples for different duration time.(A colour version of this figure can be viewed online.)
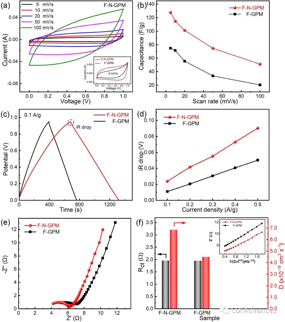
首先研究了与电极材料的CDI性能密切相关的电化学性能,并以未掺杂的F-GPM电极作为对照样品。图5(a)显示了F-N-GPM 电极在5-100 mV/s 的不同扫描速率下的循环伏安曲线。没有氧化还原峰的矩形CV曲线表明,这种F-N-GPM电极上的电荷固定是可逆的,主要由双电层(EDL)电容引起,这与传统碳质电极的电容特性一致。同时,图5(c)中对称的倒三角充放电曲线进一步证实了该 F-N-GPM 电极良好的EDL电容行为。众所周知,EDL电容器的比电容与电极材料的可用表面积密切相关。在相同的测试条件下,从CV曲线计算出的 F-N-GPM 电极的比电容始终高于F-GPM电极的比电容(插入图 5(a)和(b))。例如,F-N-GPM的比电容在5 mV/s 时约为130 F/g,F-GPM电极的比电容仅为 75 F/g左右。此外,图 5(c)中F-N-GPM 的放电时间比F-GPM的放电时间更长,这也表明N掺杂样品的电容值更高,这与CV结果非常吻合。这主要是因为在石墨烯上掺杂N原子可以进一步优化F-N-GPM 电极的一些功能,例如对水性电解质的电导率和表面亲和力,从而有效提高这些 N-的电容性能。

Fig. 5.Electrochemical properties of freestanding membrane electrodes.
(a) CV curvesof F-N-GPM sample at different scan rates. Insert displays the typical CVcurves of F-N-GPM and control F-GPM samples at the scan rate of 5 mV/s. (b)Plots of specific capacitances vs scan rate of F-N-GPM and F-GPM electrodes.(c) Galvanic charging curves of F-N-GPM and F-GPM electrodes at current densityof 0.1 A/g. (d) Plots of iR drops vs. current densities at different currentdensities. (e) Nyquist plots and (f) Ionic diffusion coefficients ofelectrodes. The diffusion coefficient D is calculated according to Equation(1). Inset in (f) shows the Warburg coefficients. These characterizations werecarried out in a 1.0 M NaCl aqueous solution. (A colour version of this figure can be viewed online.)
从图5(c)中放电曲线开始时的小电位降可以看出,F-N-GPM和F-GPM电极的内电阻都非常低,这有利于得益于其独特的3D导电网络结构。然而,仔细比较表明,N掺杂电极确实具有比未掺杂电极更低的iR值,这表明石墨烯基多孔材料的导电性可以通过N掺杂进一步提高(图 5(d))。同时,电化学阻抗谱(EIS)也进一步证实了电导率的提高,其中F-N-GPM 样品在奈奎斯特图的高频区域具有较低的等效串联电阻(ESR)(图5(e))。
除了电导率特性外,奈奎斯特图低频区域的线性部分还反映了离子迁移通过电极时遇到的扩散阻力(Warburg阻抗)。根据等式(1),计算出的 F-N-GPM 电极的离子扩散系数(D)高于F-GPM电极(图5(f)),表明离子扩散更快、更容易成F-N-GPM电极。除了电导率的贡献外,F-N-GPM电极中离子扩散能力的增加也可能是由于氮元素的掺杂增强了电极对水性电解质的亲和力。例如,良好的亲水性可以有效提高体电极中多孔通道的可及性和内部的离子传输能力(图4)。因此,具有大量可用表面/孔、良好润湿性和优异电化学性能的N掺杂石墨烯独立电极有可能表现出优异的CDI性能。
这些独立式电极的CDI性能是在自制的对称CDI装置上进行的,如图6所示。图7总结了F-N-GPM 和使用NaCl溶液控制F-GPM电极的CDI性能作为模型。图7(a)和(b)分别显示了在不同初始NaCl浓度和电压下获得的电极的盐电吸附容量(SEC,mg/g)。可以清楚地发现,掺杂和未掺杂的独立电极都表现出良好的电吸附去离子能力,这可能得益于它们独特的互连多孔结构。正如预期的那样,在相同的测试条件下,F-N-GPM电极的SEC始终高于F-GPM 电极,这可归因于上述氮掺杂引起的这些积极影响,例如更高的电导率,润湿性和可及的表面积/孔。

Fig. 6.Schematic diagram of CDI system using F-N-GPM samples as freestandingelectrodes. (A colour version of this figure can be viewed online.)
从图 7(a) 还可以看出,F-N-GPM电极的电吸附容量随着NaCl溶液浓度的增加而增加,这归因于溶液阻抗的降低和更容易形成离子浓度较高的电极表面上的EDL。此外,向右上方移动的F-N-GPM电极的Ragone Kim-Yoon曲线也证实了盐电吸附容量和速率的变化趋势(SEC和SER)。当然,在相同浓度下,F-N-GPM样品的曲线与F-GPM 电极相比显示出右上偏移,表明这些N掺杂的独立式电极具有更好的CDI性能。然而,高盐水浓度也容易增加碳质电极中的共离子排出效应,这反而会降低这种F-N-GPM电极的充电效率,如图7所示。

Fig. 7.Desalination performance of freestanding electrodes.
(a) The SECs and (c)Charge-Efficiency of F-N-GPM and F-GPM electrodes collected under differentsaline concentration at 1.2 V, respectively; (b) The SECs and (d)Charge-Efficiency The SECs of electrodes collected under different voltage in100 mg/g NaCl solution, respectively. (e) The SEC and Charge-Efficiency ofF–N-GPM under different operation time in 100 mg/g NaCl solution at 1.8 V; and(f) The SECs and desalination regeneration profiles of the F-N-GPM electrodesin 100 mg/L NaCl solution at 1.8 V. (A colour version of this figure can beviewed online.)
从图 7(b)Ragone 曲线可以看出,在100 mg/L NaCl溶液中,这些独立式电极的SEC和SER 随着工作电压从1.0 V增加到1.8 V而增加。例如,F-N-GPM 的 SEC 在1.8 V时高达16 mg/g,几乎是1.0 V (5.5 mg/g) 电压的三倍。这种现象主要是由于电压越高,双电层越厚,电极与盐离子之间的库仑力越强,这两者都有利于离子的迁移、吸附和储存,从而提高了CDI海水淡化电极的性能。与盐水浓度增加引起的影响不同,F-N-GPM 电极的充电效率随施加的电压呈上升趋势。此外,由于整个测试过程中没有产生气泡,盐水溶液的pH值没有明显波动(可能是由氯化物氧化和氯的歧化引起的),即使电压为增加到1.8 V,表明这种F-N-GPM电极系统即使在高施加电压的情况下也能正常发挥其CDI能力。
通常,由于其固有的结构限制,独立式电极仍然具有某些缺点,例如电解质在体电极中的低效扩散。为了进一步评估其潜在的脱盐能力,我们通过延长操作时间进一步研究了 F-N-GPM 电极在优化条件(100 mg/L,1.8 V)下的脱盐性能。从图 7(e) 可以看出,虽然充电效率逐渐降低,但 F-N-GPM 样品的SEC随充电时间明显增加(图7(e))。特别是当充电时间延长至2 h时,N-FGP样品的 CDI 容量可达21.8 mg/g。此外,F-N-GPM 电极在这种测试条件下也表现出优异的去离子稳定性和再生性能。如图 7(f)所示,即使经过10个循环(~21 mg/g),F-N-GPM样品的SEC也几乎保持在第一次脱盐量的95%左右,表明它们在持续循环中具有出色的稳定性。

Fig. 8.Desalination performance of F-N-GPM samples towards different salts in 500 mg/Lbrine solution at 1.2 V. (A colour version of this figure can be viewed online.)
除了高CDI容量外,该工作中的F-N-GPM 电极对其他盐类也具有一定的适用性。图8显示了F-N-GPM 样品在除NaCl(1.2 V,500 mg/L)之外的相同测试条件下对一些常见盐(包括 KCl、CaCl2和MgCl2)的SEC。显然,这些F-N-GPM电极在去除这些离子方面表现良好。具体来说,对KCl、NaCl、CaCl2和 MgCl2的 SEC 分别约为15.2、14.2、13.1和12.5 mg/g(图 8(a))。假设SEC 之间的这种差异可能是由阳离子水合半径引起的(K+、Na+、Ca2+和Mg2+的水合半径分别约为0.331、0.358、0.412和0.428)。由于相对较小的水化半径有利于减少孔结构中的离子重叠,提高离子在电极EDL中的吸附,因此阳离子水化半径越小,SEC和SER 越高,这由图8(b)所示的Ragone曲线。因此,这种具有出色脱盐能力的独立式 CDI 电极可以扩展到广泛的水修复应用,包括去除重金属、有价值的元素(尤其是锂);水软化等,拓宽了这些独立电极在水处理领域的广泛使用。
4. 结论
综上所述,我们成功构建了一种具有优异CDI性能的石墨烯基独立电极。制备过程包括通过压缩方法将模板介导的不完全GO球壳组装成独立的块体和在NH3气氛下的热处理步骤。保留的具有特殊缺陷的N掺杂石墨烯壳形成3D网络结构,有效增加了整体组装中的互连性和孔隙的可用性。同时,氮原子的掺杂进一步提高了电解质对这些形成的孔和表面的可及性。因此,这种具有独特3D网络架构的独立式电极表现出出色的海水淡化性能。特别是,在优化条件下,F-N-GPM 电极的CDI 容量高达21.8 mg/g,即使经过10个循环,归一化容量也几乎保持在95%左右。此外,这种F-N-GPM电极还表现出对其他盐类如KCl、CaCl2和MgCl2的一定脱盐能力,表明它们在复杂盐水溶液中的潜在应用。这项工作表明,通过有目的地增加大块组件中吸附和储存离子的表面可用性,可以有效提高石墨烯独立电极的CDI性能,这不仅促进了石墨烯基材料在CDI领域的发展,而且还为设计具有高脱盐性能的独立式电极提供了替代策略。
本文来自CDI Advances,本文观点不代表石墨烯网立场,转载请联系原作者。
