引言
在电化学反应中,电极到电解质的电荷迁移驱动界面上的化学转化,以及在这种界面处的电子转移反应是实现电能和化学能相互转换的关键技术的基础。原子级薄的二维(2D)材料已经为控制界面电荷转移和表面反应活性提供了独特的途径,因为它们的电子特性可以通过细微的结构修饰和其他外部静电扰动进行操纵。二维表面上的缺陷和边缘位置由于其修正的电子性质,被认为是界面电荷转移过程中的反应热点。然而,边缘位置的小面积部分限制了对整个表面的最大利用。此外,实现对原子缺陷的合理控制和缺陷诱导增强的最佳选择性通常是具有挑战性的。
原子级薄的范德华异质结构具有微弱的层间相互作用,允许独立控制二维晶格之间的任意方位角方向(“扭转角度”),为调制二维材料的电子性质引入了一个独特的自由度。最近的工作发现了转角2D材料中异常广泛且不断增加的奇异物理现象。关于转角石墨烯(TBG)以及转角过渡金属化合物的研究表明,这些平坦带产生了一系列相互缠绕的相关电子相,包括相关的绝缘态,非常规超导性和轨道磁性。在这种扭转的二维材料中,在不同叠加域之间的交点处会形成一种“拓扑”缺陷。除了承载低温相关的电子物理特性,这些拓扑缺陷在概念上类似于结构原子缺陷,它们产生的局域态可以影响界面电荷转移化学。虽然有少数研究质疑层间扭转对化学反应性的影响,但这些实验都被限制在大扭转角(≥7°)之外的平坦带和“魔术角”区。因此,利用moiré平坦带和拓扑缺陷的概念来调制界面电荷转移率的可能性仍未被探索。
研究进展
近日,美国加州大学Bediako, D. Kwabena(通讯作者)在Nat. Chem.上发表文章,题为“Tunable angle-dependent electrochemistry at twisted bilayer graphene with moiré flat bands”。团队报道了莫尔平坦带的扭曲双层石墨烯的可调角度相关电化学研究。在扭曲双层石墨烯电极上,异质电荷转移动力学的扭转角强烈依赖性,在“魔角”(~1.1°)附近观察到最大增强效应。结合实验和计算分析表明,moiré角的电化学活性的变化是由<2°扭角的moiré超晶格的结构弛豫控制的,而“拓扑缺陷”堆叠区(其中平带是局域化的)产生了较大反常局部电化学增强,这不能仅由升高的局域态密度来解释。

图文介绍
图1. 转角双层石墨烯moiré超晶格及其电化学响应©2022 Springer Nature

a. 三种叠加结构(AA, AB/BA和SP)的示意图
b. TBG超晶格的微布里渊区
c,d. 计算出1.1°TBG的moiré带(c)和相应的DOS (d)
e. TBG/hBN异质结的光学图像
f. 1.15°TBG恒流STM图像
g. TBG表面的局部循环伏安测量原理图
h. 稳态伏安曲线
图2. 量化TBG界面电子转移中的量子电容效应©2022 Springer Nature
a. 电极-电解质界面示意图
b. 在不同的扭转角度下Cq与化学势(Vq)的关系
c. 不同扭转角度下双层上的电势降(Vdl)与外加电势(Vapp)的关系
d. 电极DOS和Vdl和Vq相对贡献的界面电荷转移的能量图
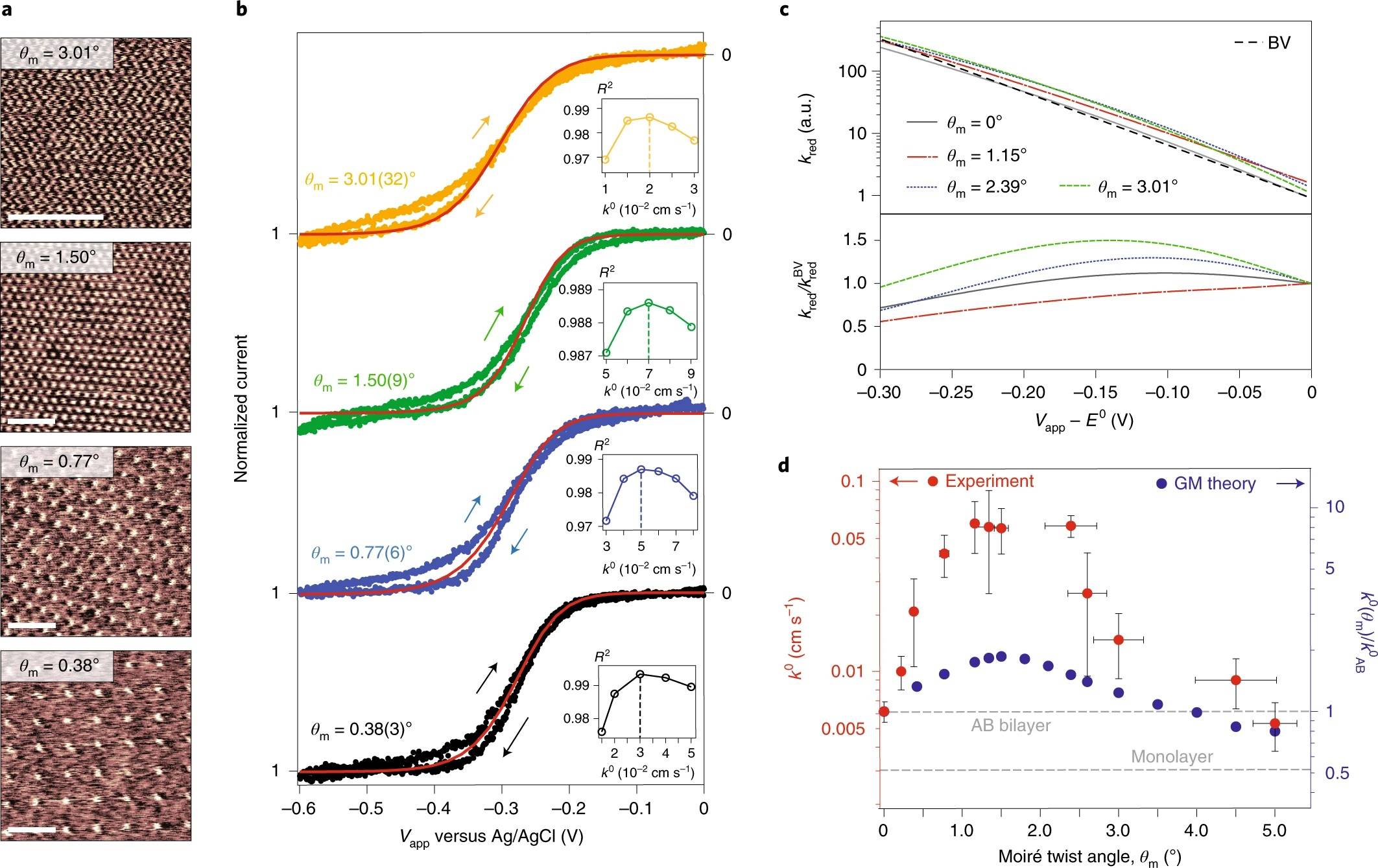
图3. moiré角与电子输运速率的相关性©2022 Springer Nature
a. TBG的恒流STM图像
b. 稳态伏安曲线
c. 用Gerischer-Marcus (GM)框架计算不同θm时的kred与Vapp的关系
d. 从实验伏安图中提取的标准速率常数(k0)与扭角的关系
图4. TBG moiré晶胞内的理论电子输运动力学©2022 Springer Nature

a,b. 计算θm = 1.1°(a)和3.0°(b)时TBG中AA、AB/BA和SP的LDOS与能量的关系
c. 计算TBG的LDOS、Vdl和kred的实空间映射
图5. TBG-AA区晶格弛豫和电子输运动力学的异常增强©2022 Springer Nature

a. AA位点的实验局域k0随θm的变化
b. 晶格弛豫过程的示意图
小结
该项研究展示了,扭曲双层石墨烯TBG的界面电子转移行为,除了低温相关电子相之外,范德华异质结vDW结构中莫尔Moiré衍生平带,提供了独特可调材料平台,以系统地操纵和从根本上探测在明确定义表面上的界面电荷转移和(电)化学转变。由此,可代替难以控制的外来引入掺杂剂,或者晶体 结构缺陷。
研究证明了激活拓扑缺陷的原始石墨烯基面表面的可行性,该拓扑缺陷源于扭曲双层的结构对称性破缺。通过精确控制层间扭曲角,可以利用在实空间中固有地局限于纳米尺度区域平带,调整外层电荷转移反应的速率常数。据预计,莫尔结构的平带工程将成为一种通用策略,以调节石墨烯以外的各种二维材料表面化学反应特性。
文献链接:Tunable angle-dependent electrochemistry at twisted bilayer graphene with moiré flat bands. Nature Chemistry. 2022. DOI: 10.1038/s41557-021-00865-1.
本文由纳米小白供稿
本文来自材料牛,本文观点不代表石墨烯网立场,转载请联系原作者。
