在最近发表在《Nanomaterials》杂志上的一项研究中,研究人员分析了原始还原氧化石墨烯(rGO)在从受污染的水中去除亚甲蓝(MB)和汞-(II)(Hg-(II))等阳离子污染物方面的有效性。

研究:使用还原氧化石墨烯从水溶液中去除阳离子污染物。图片来源:kosmos111/Shutterstock.com
在298K时,原始rGO对MB和Hg(II)的吸附能力分别为为121.95毫克每克和109.49毫克每克,效率分别约为89%和73%。此外,捕获的阳离子污染物同时与物理吸附和化学吸附反应。
阳离子水污染物
染料和重金属等工业和农业废物是阳离子水污染物的重要组成部分。
这些对水生生物和人类有害,因为它们是致癌的,致突变的,并促进肾脏,肝脏,生殖系统和中枢神经系统等重要人体器官的功能障碍。
去除这些阳离子污染物的方法包括膜过滤,离子交换,吸附,电凝,电开裂和电沉积。

图 1. 起始石墨源的表征:(a)扫描电镜形态,(b)XRD测量,以及(c,d)1000至3000的拉曼光谱厘米−1使用532激发激光记录。强度由最强烈的峰值归一化。拉曼光谱是使用洛伦兹函数拟合的。© Tene, T., et al (2022)
其中,吸收方法更具成本效益和环保性,它使用活性炭。然而,高昂的成本和复杂的再生工艺限制了活性炭的大规模应用。
作为替代方案,rGO因其亲水性和半导体特性而受到广泛关注。此外,rGO表面氧官能团的存在允许与螯合基团形成强共价键。
这些螯合基团与金属离子反应,形成稳定的水溶性络合物。因此,重金属离子可以通过吸附有效地从水中除去,而不需要任何额外的能量来源。
关于本研究
在这项研究中,研究人员使用环保氧化还原方法,以逐步的方式从纯石墨中合成rGO。随后,在制备的MB和Hg(II)溶液中分别在室温下测量和比较了原始rGO和额外功能化rGO的吸收效率30 min和20 min。
在氧化过程中,纯石墨粉与硫酸(H2所以4)和高锰酸钾4)引起放热氧化反应,然后使用过氧化氢去除残留化合物(H2O2)、盐酸(HCl)和蒸馏水,得到原始的氧化石墨(GO)片。
将制备的GO片用柠檬酸和蒸馏水离心,然后在353 K下干燥2小时,得到原始的rGO粉末。在额外官能化的rGO中,氧官能团rGO与额外的电活性基团一起官能化。

图 2. (a)MB在rGO上的吸附动力学和(b)Hg(II)在298 K时接触时间(60分钟)的函数 ©。
观察
GO的扫描电子显微镜(SEM)显微照片显示,片状物和皱纹聚集的薄片面对面堆叠。相反,rGO具有随机组织的薄片,其表面形态包括介孔和微孔。
与纯石墨相比,GO的拉曼光谱显示出高度宽和非常低的强烈2D峰值。GO的FTIR光谱显示1044 cm处存在C-O-C键−1, C-O 键合在 1222 cm−1, C=C 键合在 1644 cm−1,C=O 在 1729 厘米−1和 C-H 键合在 3426 厘米处−1.然而,在还原后,由于去除含氧官能团,rGO光谱显示出上述键的衰减和减弱的峰。
此外,MB和Hg(II)在298K下对rGO的吸附动力学表明,rGO在30 min后迅速捕获了MB分子,而对于Hg(II)分子,吸附的平衡时间为20 min。
rGO吸附阳离子污染物的有效性的提高是由于还原过程后回收表面积的增加和氧官能团的存在。
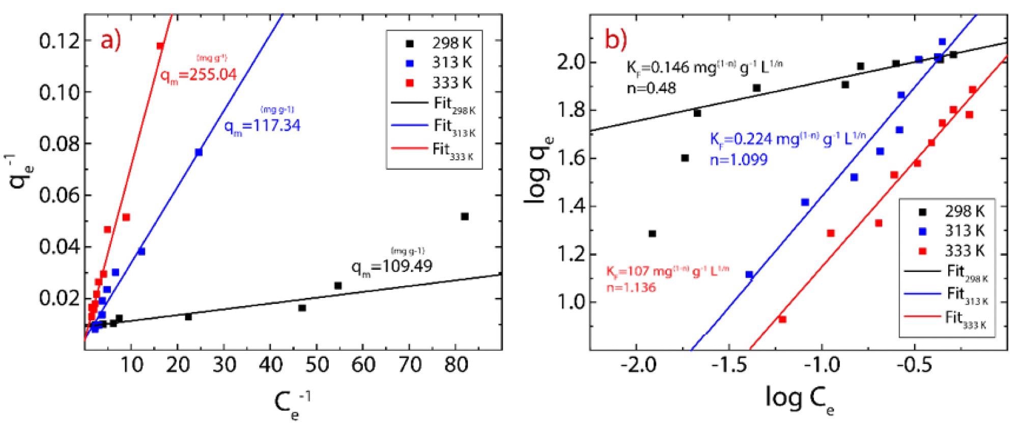
当溶液温度升高时,MB对rGO的最大吸附量从121.95降低至107.53 mg g−1.对于rGO上的汞(II),吸附量从109.49 g增加到255.04mg g−1,证明了温度对阳离子吸附对rGO的显著影响。

图 3. Hg(II)在rGO上的吸附等温线考虑了三种不同的温度(289-333 K)。(a)朗缪尔模型和(b)弗伦德利希模型。© Tene, T., et al (2022)
结论
总之,研究人员研究了原始rGO在去除水中MB和Hg(II)等阳离子污染物方面的作用。此外,该团队还使用了一种环保的氧化还原工艺来合成rGO。
甲基溴和汞(II)的最大吸附量分别为121.95和109.49 mg g−1分别为298 K,远高于先前报告的研究。
使用原始rGO而不是额外的功能化rGO,在298 K时,MB和Hg(II)的吸附效率分别达到89%和73%,为废水净化提供了潜在的绿色替代方案。
参考
Tene, T., Bellucci, S., Guevara, M., Viteri, E., Arias Polanco, M., Salguero, O., Vera-Guzmán, E., Valladares, S., Scarcello, A., Alessandro, F., Caputi, L., Vacacela Gomez, C., (2022) Cationic Pollutant Removal from Aqueous Solution Using Reduced Graphene Oxide. Nanomaterials,12, 309. https://www.mdpi.com/2079-4991/12/3/30
本文来自AZONANO,本文观点不代表石墨烯网立场,转载请联系原作者。
