电子流过电线时,不可避免地会遇到电阻,一旦遇到电阻,它们就会失去一些能量,而这些能量会以热的形式消散。这就是为什么笔记本电脑在使用太久后会变热。同样地,任何带有能量的粒子在典型的环境中流动时,往往会失去这种能量。也有一些例外,通常发生在非常低的温度下,当粒子形成称为量子凝聚对。这导致了一些金属如铝中电阻消失的超导现象,液化氦中的超流体,然后可以无耗散地流动。
许多应用,从无耗散动力传输到量子计算,都是基于显示这些量子凝聚态的超导材料而开发的。但是,已知的超导材料需要保持低温——通常是不切实际的。为了提高无能量损耗器件的温度,研究人员需要更好地理解是什么首先驱动了量子凝聚体的形成。

理论上,超导现象是成对电子的结果。然而,在大多数材料中,配对是弱的——两个带负电荷的粒子通常不希望彼此配对——而且配对强度是固定的。鉴于此,来自哥伦比亚大学的 Cory R Dean 和哈佛大学的Philip Kim 合作描述了一个可调谐的石墨烯平台,它使用相反的电子和空穴在强磁场下形成量子粒子对。现在,这种配对的强度可以沿着一个连续体变化,这使得研究小组可以测试关于量子凝聚体起源的理论预测,以及它们如何可能提高超导现象的温度极限。在施加的磁场下,电子和空穴穿过势垒耦合形成束缚磁激子,其配对强度可以通过改变有效层间距来连续调整。使用与温度相关的库仑阻力和逆流电流测量,研究小组能够通过从弱耦合到强耦合的整个相图来调整磁激子凝聚体。相关研究成果以题为“Crossover between strongly coupled and weakly coupled exciton superfluids”发表在最新一期《Sciecne》上。 哈佛大学Xiaomeng Liu和布朗大学的 J.I.A Li为论文的共同第一作者。

Figure 1. 带正电的空穴与两片石墨烯之间的带负电的电子相互作用形成玻色子对的示意图

【设计一个可调平台】
基本理论相当简单,如果能让电子成对,它们就能超导。根据巴丁-库珀-施里弗(Bardeen-Cooper-Schrieffer,BCS)理论,电子之间的一种吸引力(无论多么微弱)将导致这些电子成对并形成一种新的粒子,称为“库珀对”这些粒子的行为类似于玻色子,在足够低的温度下,它们可以进入一种集体状态,并在一种无序的物质中移动——这是任何单个电子都无法单独实现的特性。人们早就认识到,费米子凝聚体的性质及其相变直接受配对相互作用U相对于费米能量EF的强度控制(图1A)。在强相互作用的相反极限(U>>EF)中,费米子形成空间紧密结合的对,并且对的大小远小于平均粒子间分离。在这个强耦合极限下,系统表现为玻色子气体或液体,而不是费米液体,低温基态的特征是玻色-爱因斯坦凝聚体(BEC)。
石墨烯是一种具有独特性质的材料,多年来作者一直致力于利用这种材料。根据施加的电压和磁场,可以制造出带负电荷的电子或带正电荷的空穴的石墨烯薄片。当两个这样的薄片放在一起时,一个薄片上的电子想要与另一个薄片上带相反电荷的空穴配对,形成玻色子对。接下来,作者研究了量子霍尔双层 (QHB) 系统中磁激子凝聚相的交叉行为,用石墨烯双层制造了QHB,该双层石墨烯由两个平行的石墨烯层隔开,介电隧道势垒由几层六方氮化硼(hBN)组成(图1B)。在这种几何形状中,中性激子电流在两层中均产生零值霍尔电阻,并且超流体冷凝物的无耗散特性通过消失的纵向电阻来显示(图1D)。图1E和图1F,显示了逆流纵向阻力和霍尔阻力的温度依赖性。图1G中所示的实验相图还揭示了小d/lB(强耦合)和大d/lB(弱耦合)状态之间的不同温度行为。

图 1. 两种激子凝聚态
【通过交叉来提高温度】
大多数超导材料只能在极低的温度下存在,通常低于10 K(或-441华氏度)。然而,在某些被称为高温超导体的材料中,这对超导体能够存活到高达200 K(-100华氏度)的温度。尽管仍然很冷,但是高温超导体的存在表明量子凝聚态可以在室温下发生。然而,尽管经过了几十年的研究,利用电子-电子对或电子-空穴对实现更高温度的量子凝聚体的进展一直很缓慢。
一种理论认为,高温超导体是由既不“弱”也不“强”的电子配对产生的,它们存在于这两个极端之间的交叉点。研究BEC理论所描述的强玻色子对一直是高温超导体中的一个挑战,因为电子之间自然地相互排斥,并且很难控制它们之间的相互作用。本文的可调谐石墨烯平台将电子和空穴结合在一起,而不是电子-电子对,研究小组现在可以首次绘制出电导率随着对力在BEC和BCS两个极端之间的转移而变化的图像。
作者在二维相变性质的背景下进一步研究了QHB中磁激子的凝聚相变。在T<Tc时,激子凝聚物预计是由Berezinskii-Kosterlitz-Thouless(BKT)理论描述的二维超流体。因为二维超流体中孤立涡旋的能量随系统大小成对数发散,所以涡旋在低温下只能以相反符号的束缚对存在(图2B)。这些对的运动不会产生逆流阻力。随着温度升高,涡流在临界温度TBKT处解开(图2A)。高于TBKT,自由涡流的运动导致逆流阻力。图2C以对数刻度绘制了在逆流几何中测量的实验电流-电压(I-V)曲线。图2D显示了两个石墨烯双层器件在大范围d/lB上实验获得的TBKT;在大的d/lB极限下,由I-V曲线得到的TBKT遵循图1G中临界温度Tc的趋势。这表明库仑相互作用在石墨烯双层中激子凝聚物的出现中的关键作用。

图 2. BCS状态中的BKT转变
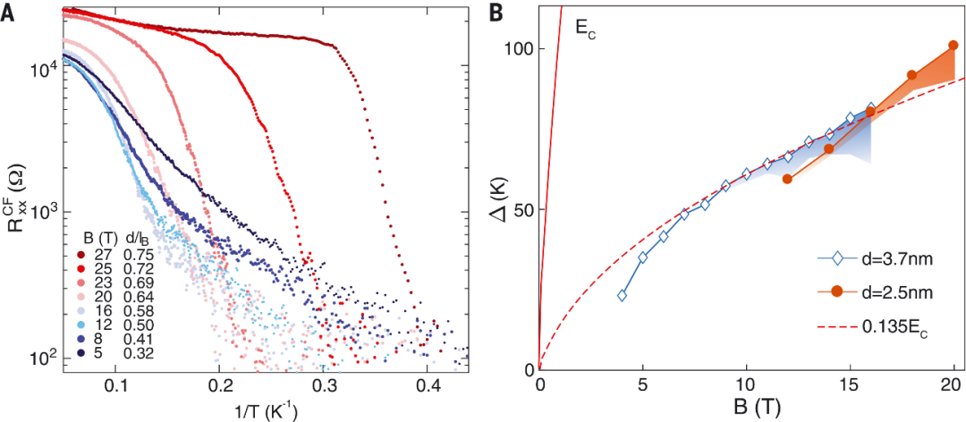
随着B降低,从 BCS 极限(高B)移动到BEC极限(低B),作者发现向低温冷凝阶段的转变发生了质的变化。通过比较,石墨烯QHB的原子级薄层间分离能够获得更强的耦合参数范围d/lB=0.3到0.8,而GaAs中的d/lB=1.3到1.8。石墨烯QHB中的小层间分离使本文的系统不太容易受到无序的影响,并提供比GaAs大两个数量级的激活间隙。

图 3. 强耦合状态下的活化能
【总结】
本文的研究结果表明,石墨烯双层结构中可调节的配对强度允许访问两种不同的费米子对凝聚状态,以强耦合强度和弱耦合强度为特征,研究小组揭示了拓扑激发的不同传输行为和作用。固态器件中费米子配对的这种动态和连续可调性为研究各种配对强度的费米子凝聚物的现象学打开了大门,并可能有助于更好地理解BCS-BEC交叉与非常规超导之间的联系。
本文来自高分子科学前沿,本文观点不代表石墨烯网立场,转载请联系原作者。
