工 作 亮 点
本工作实现了石墨烯材料的无溶剂热塑性成型加工工艺,揭示了氧化石墨烯膜中聚合物插层层间距与其热塑性加工能力的对应关系,拓展了基于热塑加工的新的石墨烯材料多尺度成型工艺,可获得曲面结构、表面浮雕图案、表面纳米柱阵列等多种结构,最小尺寸精度可达360nm。
成 果 出 处
该工作以“Precise Thermoplastic Processing of Graphene Oxide Layered Solid by Polymer Intercalation”为题发表在《Nano-Micro Letters》上(DOI: 10.1007/s40820-021-00755-8),由浙江大学许震研究员、高超教授团队完成。
研 究 背 景
石墨烯宏观材料在结构元件、热管理、传感器和电子器件等方面具有广泛的应用前景,这对石墨烯宏观材料的成型加工工艺提出了高精度、高效率和高设计自由度等更高要求。现有的石墨烯加工方法主要依赖于溶剂调控,包括基于稀溶液(固含量<20%)的宏观组装和基于浓溶液(固含量>35%)的溶剂塑化成型。稀溶液在干燥成型过程中,溶液蒸发导致材料宏观体积收缩严重,限制了加工结构精度;溶剂塑化成型的方法通过溶剂插层削弱二维片层间相互作用,激活相对运动,实现了高精度的近固态塑化加工。
热塑性加工方法在金属、高分子等材料的工业制造中占据了主导地位,但是在石墨烯等二维材料中仍未实现。石墨烯材料热塑性加工的难点在于:石墨烯玻璃化转变温度(6300 K)远远超过了其分解温度。以往的研究工作通过将石墨烯与热塑性聚合物复合,赋予了石墨烯材料一定的热塑加工能力。但是,这些复合物中石墨烯往往不是主体材料;而在石墨烯含量较高的复合材料中,受限聚合物在二维通道中的热运动以及聚合物插层氧化石墨烯层状材料的热塑性行为仍不清楚。
主 要 内 容
本工作通过将聚合物插层进氧化石墨烯(GO)前驱体层间,借由高分子在层间的分子链热运动,实现了整体石墨烯材料的精确热塑加工成型。通过热塑成型,氧化石墨烯复合薄膜可以加工成具有不同高斯曲率的形状,并能在膜表面压印出尺寸精度可达360 nm的浮雕图案。在热处理去除聚合物后,塑性加工形成的材料仍保持了完整的结构以及良好的导电(3.07×105 S m-1)和导热 (745.65 W m-1 K-1) 性能。热塑性加工方法极大地扩展了氧化石墨烯材料和其他层状材料的成型能力,并为更广泛的应用提供了灵活的结构设计基础。

图1:聚合物插层氧化石墨烯复合膜的加工成型示意图
将复合膜加热到玻璃化温度以上时,可以在压力作用下制备出4 mm-390 nm的大范围尺度结构,包括立体折纸形状,多尺度压印图案以及纳米阵列。从微观示意图中可以看出,GO片层的滑移需要借助层间高分子链段的热运动。

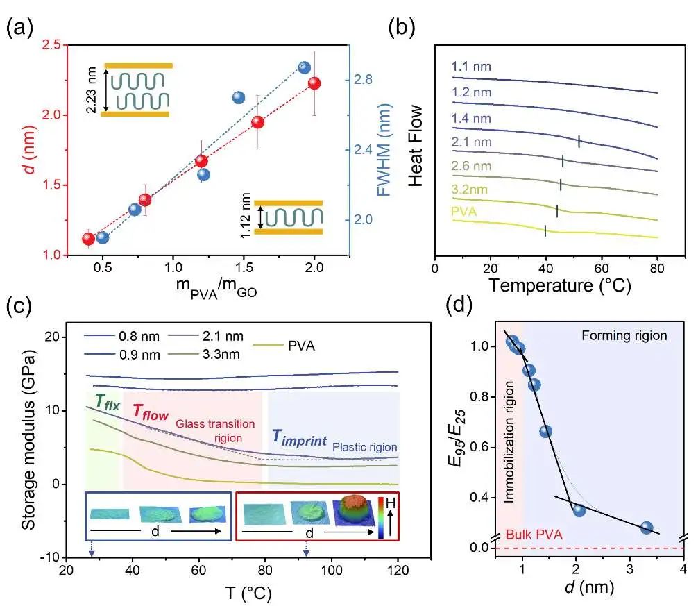
图2:氧化石墨烯复合膜的热塑性成型机理分析
由于GO的层间限域作用,插层高分子的热塑性行为与整体材料的层间距密切相关。DSC与DMA等表征手段表明:(1)GO复合膜的玻璃化转变温度(Tg)与层间距之间呈负相关,并且当层间距小于1.2 nm时,Tg消失;(2)当层间距大于1.2 nm时,储能模量在玻璃化温度范围内表现出二级相转变,而在层间距降到1.1 nm及以下时,储能模量基本不变,复合膜无法进行塑型。

图3:GO复合膜热塑性拉伸的应力-应变曲线以及拉伸过程中的结构变化
在拉伸实验中,当层间距大于1.2 nm时,复合膜从室温环境到被加热至玻璃化转变温度以上,表现出弹性到塑性的转变,极限断裂伸长率最大可提高150%。而当层间距小于临界值时,由于插层高分子的层间运动受限,复合膜无法表现出热塑性。结果表明,只有在层间距与加工温度同时满足条件时,高分子插层的氧化石墨烯复合膜才能出现脆性到韧性的转变。

图4:具有不同高斯曲率形状的复合膜的宏观成型及其力学性能

图5:GO复合膜的微米级多尺度压印
类似高分子和金属材料的热塑性为石墨烯材料提供了新的加工思路,GO复合膜可以通过热塑加工制备成具有不同高斯曲率的三维形状,相较平面膜具有更高的力学刚度。同时,也可以使用热压印技术在复合膜表面进行微米尺度的图案设计。

图6:GO复合膜表面纳米阵列的压印成型

图7:具有纳米阵列的GO复合膜的表面性能
以双通AAO为模板,可以在复合膜表面实现实心阵列微压印,所得纳米柱直径为360 nm。通过表面结构的构筑,可以实现氧化石墨烯材料的表面调控,制备出可用于驱动器的Janus薄膜以及具有电压调控润湿性的响应表面。同时,氧化石墨烯复合膜在热处理除去高分子后,仍能保持了良好的导热和导电性能。
该工作得到了国家自然科学基金、国家重点研发计划、中国博士后基金、浙江大学百人计划等基金的资助。论文第一作者为浙江大学博士生李泽莘,通讯作者为浙江大学博士后郭凡博士,浙江大学许震研究员和浙江大学高超教授。
本文来自纳米高分子高超课题组,本文观点不代表石墨烯网立场,转载请联系原作者。
