成果简介
越来越需要用于水净化的节能膜分离,这需要合适的纳滤膜能够有效地去除不需要的溶质并允许水的高渗透性。本文,中国烟草总公司郑州烟草研究院Pengyu Zhuang等研究人员在《ACS Omega》期刊发表名为“Interfacial Hydrothermal Assembly of Three-Dimensional Lamellar Reduced Graphene Oxide Aerogel Membranes for Water Self-Purification”的论文,研究采用一步法、环保型和水/气界面水热组装工艺制备三维层状还原氧化石墨烯 (rGO) 水凝胶膜以及通过冷冻干燥法制备的相应气凝胶膜。
通过在水热过程中控制GO悬浮液的体积,可以将气凝胶膜的结构从层状调整为多孔互连的形态。rGO气凝胶膜非常灵活,可以在液氮和沸水中弯曲而不会变形,并且在各种溶剂中高度稳定至少2个月。当用作纳滤膜时,rGO气凝胶膜显示出约 100% 的有机染料截留率和中等水通量(高达53Lm–2h–1 ) 仅在30cm 高度的有机染料水溶液的重力下。我们灵活且稳定的气凝胶膜的这种水自净特性无需额外的能源消耗,为制造廉价、便携式净化水设备提供了可能,以用于电力不可用或不方便地区的紧急和家庭用净化水系统。
图文导读

图1. 通过界面水热组装和冷冻干燥方法制备 rGO 水凝胶和气凝胶膜

方案1. 分别通过水/蒸汽界面水热和体液热组装方法制备 rGO 水凝胶膜和整料的示意图,以及通过冷冻干燥和水净化相应的气凝胶膜和整料

图2. 不同厚度rGO气凝胶膜的横截面形态

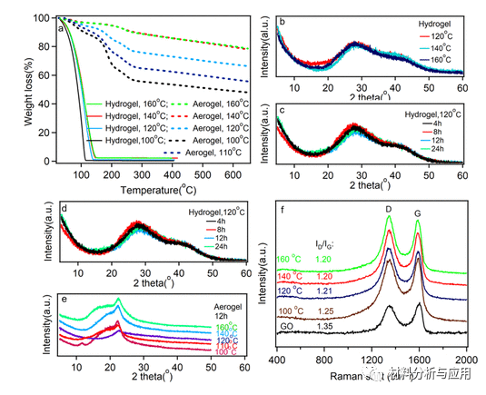
图3. rGO气凝胶膜的特性

图4. rGO气凝胶膜的还原度和亲水性

图5. rGO 气凝胶膜的过滤性能和稳定性。
小结
总之,我们已经通过简便、环保的水/蒸汽界面水热还原法成功制备了3D层状rGO水凝胶膜。层状rGO气凝胶膜不仅适用于制造廉价、便携式的净水设备和没有额外动力的家用净水系统,而且在其他应用中也具有潜力。
文献:https://doi.org/10.1021/acsomega.1c04466

本文来自材料分析与应用,本文观点不代表石墨烯网立场,转载请联系原作者。
