成果简介
本文,中国科学院上海微系统与信息技术研究所信息功能材料国家重点实验室Min Gao等研究人员在《Science Advances》期刊发表名为“Graphene-mediated ferromagnetic coupling in the nickel nano-islands/graphene hybrid”的论文,研究利用高质量的单层石墨烯介导耦合铁磁镍纳米岛,实现了大面积全局二维铁磁体系的制备。输运测试及磁学性能测试证明了镍纳米岛/石墨烯体系具有铁磁性,存在反常霍尔效应,其居里温度约为80 K。X-射线磁圆二色性(XMCD)测试和密度泛函计算(DFT)进一步表明了石墨烯是铁磁性的,且在石墨烯和镍纳米岛之间存在反铁磁耦合。该人工制备的镍纳米岛/石墨烯铁磁体系为研究复杂的纳米尺度电子关联和磁矩耦合机制提供了途径。
图文导读

图1、镍纳米岛/石墨烯的表征。

图2、镍纳米岛/石墨烯的磁化。

图3、 Ni纳米岛/石墨烯系统的XMCD光谱。

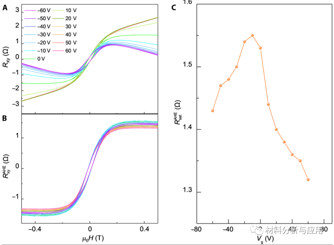
图4、镍纳米岛/石墨烯混合物中的栅极可调 AHE。
文献:

本文来自材料分析与应用,本文观点不代表石墨烯网立场,转载请联系原作者。
