电催化全解水是开发绿色能源和促进可持续发展的重要途径,主要涉及OER和HER的两个关键电催化过程。由于它们的动力学缓慢和热力学存在短板,因此需要OER和HER高效电催化剂来减少过电势并加快全解水的反应速率。作为最有前途的候选者之一,NiCo2S4(NCS)由于其低成本,高催化活性和增强的稳定性而引起了极大的兴趣。NCS具有Ni2+/Ni3+和Co2+/Co3+的氧化还原对,它们是OER活性的有效活性中心。此外大量研究表明,NCS与其它导电基材(例如石墨烯,碳纳米管和其它过渡金属硫化物)的复合材料可增加暴露的活性位点并增强OER/HER反应动力学。然而,尚未系统地研究与一维纳米棒组装的NCS微球与N,S共掺杂的还原氧化石墨烯复合对全解水电催化性能的协同作用。
近日,石河子大学陈龙团队报道了一种新型的分层多孔NCS/N,S共掺杂还原型氧化石墨烯复合材料(NCS/NS-rGO)作为一种新型的全解水电催化剂。该研究工作以题为“NiCo2S4 microspheres grown on N, S co-doped reduced graphene oxide as an efficient bifunctional electrocatalyst for overall water splitting in alkaline and neutral pH”发表在期刊Nano research(https://doi. org/ 10.1007/s12274-021-3580-z)上,论文的第一作者为石河子大学化学化工学院硕士研究生李昊泉,通讯作者为陈龙副教授、史玉琳副教授和兰州大学彭尚龙教授。
该工作利用硫脲作为N、S源和沉淀剂,合成了一种新型的多层次、多孔NiCo2S4微球负载在N,S共掺杂还原氧化石墨烯的复合材料作为电催化剂(NCS/NS-rGO)。NCS/NS-rGO在碱性电解质中均具有出色的OER和HER催化活性,过电势分别为253.4 mV和92.7 mV。此外,在中性pH条件中测得的过电势分别为445.4 mV和216.1 mV。并在中性和碱性电解液的全解水测试中也表现出良好的催化活性和稳定性。NCS/NS-rGO优异的电催化活性对于开发中性和碱性系统中经济可行的全解水具有重要意义。

图1. 复合NCS/NS-rGO的形成机理和全解水试验的示意图。

图2.(a)NCS的SEM图像;(b)NS-rGO和(c)NCS/NS-rGO的TEM图像,其中包含粒度分布图;(d)NCS/NS-rGO的HRTEM图像和(e)SAED图像;(f)NCS/NS-rGO的AFM图像;(g)NCS/NS-rGO的HAADF图像;NS-rGO的Ni,Co,S,C,O和N的元素映射图; (h)NS-rGO的HAADF图像;NCS/NS-rGO的S,C,O和N的元素映射图像。

图3. NCS/NS-rGO和NCS的(a)Co 2p;(c)Ni 2p高分辨XPS光谱。NCS/NS-rGO和NS-rGO的(b)C 1s;(d)N 1s;(e)S 2p;(f)O 1高分辨XPS光谱。

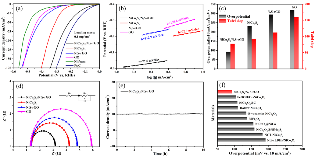
图4.(a)NCS/NS-rGO,NCS,NS-rGO,GO,NF和Pt/C的HER测试LSV曲线图。(b)NCS/NS-rGO,NCS,NS-rGO和GO的塔菲尔斜率图;(c)NCS/NS-rGO,NCS,NS-rGO,GO的HER的塔菲尔斜率和过电势关系图;(d)NCS/NS-rGO,NCS,NS-rGO和GO的EIS图;(e)通过i-t曲线确定NCS/NS-rGO的电化学稳定性图;(f)与近年报道的HER电催化剂的过电势对比直方图。(a)NCS/NS-rGO,NCS,NS-rGO,GO,NF和Pt/C的HER测试LSV曲线图。(b)NCS/NS-rGO,NCS,NS-rGO和GO的塔菲尔斜率图;(c)NCS/NS-rGO,NCS,NS-rGO,GO的HER的塔菲尔斜率和过电势关系图;(d)NCS/NS-rGO,NCS,NS-rGO和GO的EIS图;(e)通过i-t曲线确定NCS/NS-rGO的电化学稳定性图;(f)与近年报道的HER电催化剂的过电势对比直方图。

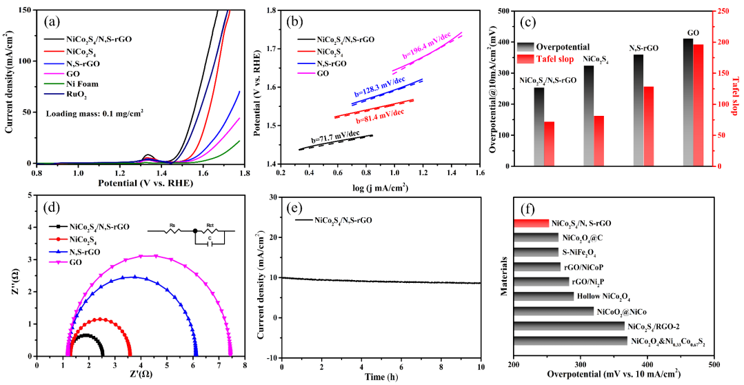
图5.(a)NCS/NS-rGO,NCS,NS-rGO,GO,NF和RuO2的LSV曲线图; (b)NCS/NS-rGO,NCS,NS-rGO和GO的塔菲尔斜率图;(c)NCS/NS-rGO,NCS,NS-rGO,GO的OER的塔菲尔斜率和过电势图;(d)NCS/NS-rGO,NCS,NS-rGO和GO的EIS测试;(e)通过i-t曲线确定的NCS/NS-rGO的稳定性图;(f)与已报道的OER电催化剂在电流密度为10 mA/cm2时的过电势对比直方图。

图6.(a)NCS/NS-rGO,NCS,NS-rGO和GO的Cdl曲线和(b)NCS/NS-rGO,NCS,NS-rGO和GO的经过ECSA归一化后的LSV曲线图像。

图7.(a)用于NCS/NS-rGO,NCS,NS-rGO和GO的面积积分的氧化还原峰图像。(b)由氧化还原峰值电流确定,NCS/NS-rGO,NCS和NS-rGO催化剂在OER的各种电势下计算的TOF图像。

图8. OER测试后NCS/NS-rGO的原位(a)XRD图和(b)Raman光谱。

图9.(a)碱性电解液中双电极系统NCS/NS-rGO || NCS/NS-rGO的LSV曲线图,以及在全解水过程中产生的氧气(左)和氢气(右)的照片插图。(b)在1 M KOH中以10 mA/cm2的电流密度下进行10个小时的稳定性测试。

图10.(a)NCS/NS-rGO的HER和OER的LSV曲线图;(b)中性电解液双电极系统NCS/NS-rGO || NCS/NS-rGO的LSV曲线。插图:在1 M PBS中以10 mA/cm2的电流密度持续10个小时的电化学稳定性测试。
【总结】
综上所述,该研究工作通过一步水热法成功合成NCS/NS-rGO催化剂。由于N和S共掺杂的rGO的独特微观结构,由纳米棒组装的NCS微球均匀地锚定在NS-rGO的表面上。NCS和NS-rGO以及N,S共掺杂的结合可以有效地改善NCS/NS-rGO的电导率和电子结构,并提高其电子传输能力和电催化性能。NCS/NS-rGO在碱性和中性pH电解液中显示出优异的HER和OER催化性能,并且系统地阐明了NCS/NS-rGO的电催化机理。这些结果为开发双功能全水解电催化材料提供了新的研究策略和理论基础。
本文来自能源学人,本文观点不代表石墨烯网立场,转载请联系原作者。
