1
成果简介
本文,上海理工大学材料科学与工程学院陈爱英副教授团队在《Energy Fuels》期刊发表名为“Overlapped T-Nb2O5/Graphene Hybrid for a Quasi-Solid-State Asymmetric Supercapacitor with a High Rate Capacity”的论文,研究利用T-Nb2O5特殊的插层电容行为和还原石墨烯( rGO )良好的导电性,开发了一种具有重叠结构的T-Nb2O5 / rGO复合材料,以满足电化学性能显著的储能设备需求。
采用水热法制备的T-Nb2O5纳米线( NWs )通过静电作用逐层组装到GO表面,得到T-Nb2O5 / rGO杂化体。重叠的T-Nb2O5 / rGO复合材料在1Ag-1处表现出优异的电容1492Fg-1,优于纯T-Nb2O5纳米线,在KOH水溶液中经过3000次充放电循环后,也表现出较好的循环稳定性,为初始电容的88.6%。在KOH水溶液和准固态KOH /聚乙烯醇凝胶中评估了T-Nb2O5 / rGO / /活性炭( AC )的非对称超级电容器( ASC )的超级电容性能。T-Nb2O5 /rGO//AC 准固态 ASC 装置在 479Wkg –1 时提供 72Whkg –1的能量密度。此外,ASC 设备可以在快速充电时为数字定时器和红色发光二极管供电,在未来的便携式电子产品中具有潜在应用。
2
图文导读

图1. 重叠的T-Nb2O5 /rGO复合材料的制备过程。

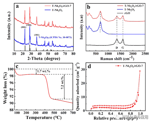
图2. (a) 纯T-Nb2O5纳米线和 T-Nb2O5 /rGO-7 复合材料的XRD图。(b) rGO、纯T-Nb2O5纳米线和T-Nb2O5 /rGO-7 样品的拉曼光谱。(c)和(d)是T-Nb 2 O 5 /rGO-7样品的TGA和BET曲线。

图3. T-Nb 2 O 5 /rGO-7样品的TEM 图像;(b) (a) 中矩形区域的放大倍数,(c) (b) 的高转速TEM 图像。(d) 中的插图是 SAED 模式。

图4. T-Nb2O5 /rGO-7 样品的XPS 光谱。

图5. T-Nb2O5 /rGO-7 电极的超级电容性能。

图6. 以 KOH 溶液为电解质的ASC装置的CV (a) 和 GCD (b) 曲线。(c) (d) 是由两个连接的ASC设备供电的红色和绿色LED的图片。

图7. 以准固态 KOH/PVA 凝胶为电解质的 ASC 器件的超级电容性能。

图8. (a) (b)准固态 T-Nb2O5 /rGO-7||AC ASC 器件的比电容 和 Ragone 图。(c) (d) 是由 ASC 设备供电的红色 LED 和数字计时器的图片。
3
小结
通过在GO纳米片之间嵌入T-Nb 2 O 5纳米线,开发了一种T-Nb 2 O 5 /rGO复合材料,以结合T-Nb 2 O 5特殊的嵌入拟电容行为和rGO良好导电性的优点。T-Nb2O5 /rGO杂化物具有高比容量、超长循环寿命和良好的倍率保持率,在高性能非对称超级电容器中显示出良好的应用前景。
文献:https://doi.org/10.1021/acs.energyfuels.1c00932

本文来自材料分析与应用,本文观点不代表石墨烯网立场,转载请联系原作者。
