英文原题:Geometry-Dependent Thermal Reduction of Graphene Oxide Solid
通讯作者: Jiaxing Huang(黄嘉兴), Northwestern University
作者:Lars Klemeyer, Hun Park (朴宪), and Jiaxing Huang(黄嘉兴)
氧化石墨烯(GO)已经被广泛地用于构建不同的宏观尺寸的石墨烯功能材料,比如薄膜、纤维、泡沫和致密块材等。众所周知,GO在“热还原”过程中实际上是发生了一个歧化反应,并伴随着含碳气体小分子(例如CO和CO2)的释放,而这个脱气过程会影响最终石墨烯产物的微结构以及相应的机械、热学和电学性能。因此,深化对GO热还原过程的理解有助于促进宏观尺寸石墨烯材料的研究和应用。
近日,美国西北大学的黄嘉兴教授团队观察到GO的热还原过程具有明显的几何(密度、尺寸)效应。热还原(实为歧化)反应的温度、速率、释放气体的化学组成和还原产物的碳氧比都会受到样品几何尺寸的影响,原因可归结于样品内部释放的气体(例如CO)在逃逸途中与GO发生了额外的还原反应(图1)。这个发现加深了对GO化学反应性的认识和理解,可以为热还原制备宏观尺寸石墨烯材料的后续研究提供启发。

图1. 氧化石墨烯热还原过程中释放小分子气体及发生副反应的示意图。
研究中测试了两种具有非常不同堆叠密度(对应于不同气体逃逸路径)的GO样品,一种为低密度的冷冻干燥而成的泡沫,另一种为高堆叠密度的各向同性的GO固体,由该课题组在2019年报导的GO面团自然干燥后获得。冷冻干燥的GO泡沫密度只有0.0025 g/cm3,其中GO片层疏松堆积,具有多孔结构。而自然干燥制备的GO固体具有很高的密度(~1.5 g/cm3)和极为致密的GO片层堆积结构(图2)。

图2. 两种形态的GO材料的制备示意图及其微观结构,包括冷冻干燥的泡沫和自然干燥后的固体。
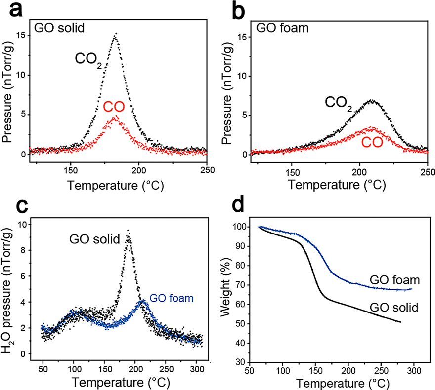
研究人员采用程序升温脱附(TPD)和差示扫描量热(DSC)方法对两种形态材料的热还原过程,以及释放的气体组分进行了分析(图3)。研究发现,虽然两种形态材料都在150 °C左右开始释放含碳气体(CO和CO2),但其脱气行为有明显不同:致密样品释放的含碳气体更多,释放速度更快,峰值温度也更低。

图3. 两种样品的TPD和DSC(差示扫描量热)行为。
GO固体所释放的气体中CO/CO2比例要低于GO泡沫,可以推测,GO固体热还原过程中,有部分CO与GO片层反应转变成CO2,这是因为CO分子更容易被束缚在致密固体内部,从而有更多的机会进一步反应成CO2。此外,GO固体所释放的水分子也要比GO泡沫更多(图4)。通过元素分析对两种形态的GO热还原前后化学组分的对比发现,还原前两者的C/O比几乎相同,但 GO固体还原产物的C/O更高。

图4. GO聚集状态影响气体释放和热还原机理的表征。
英文原文全文开放获取,扫描二维码免费阅读
原文(扫描或长按二维码,识别后直达原文页面,或点此查看原文):

Geometry-Dependent Thermal Reduction of Graphene Oxide Solid
Lars Klemeyer, Hun Park, and Jiaxing Huang*
ACS Materials Lett., 2021, 3, 511–515, DOI: 10.1021/acsmaterialslett.0c00423
Publication Date: April 7, 2021
Copyright © 2021 American Chemical Society
作者介绍

Jiaxing Huang is a Professor of Materials Science and Engineering at Northwestern University. He received his B.S. degree in Chemical Physics from University of Science and Technology of China, Ph.D. in Chemistry from University of California, Los Angeles, and became a Miller Fellow at UC Berkeley before joining Northwestern in 2007. Prof. Huang enjoys integrating education and research to enhance learning experience for his students and himself. In research, his group uses chemical principles and tools to discover new materials, advance materials processing, and use material innovations for better living. Through teaching, they aim to develop intuition, inspire creativity and bring the best out of students and themselves. His work has been recognized by awards from the National Science Foundation, the Sloan Foundation, the Society of Manufacturing Engineers, the American Vacuum Society, and the International Aerosol Research Assembly. He has been a recipient of the Guggenheim Fellowship, the JSPS Fellowship from Japan, and the Humboldt Research Award from Germany. He is a Fellow of the American Association for the Advancement of Science (AAAS) and the founding Editor-in-Chief of Accounts of Materials Research.
(本稿件来自ACS Publications)
本文来自X-MOL,本文观点不代表石墨烯网立场,转载请联系原作者。
