对于RFID来说,要实现在全球范围的“布局”,
让不同企业生产的RFID产品能够互相兼容、
促进RFID技术普及、实现RFID产业贸易自由,
一门通用的“标准”显得尤其重要。

▲图源自网络
建立标准体系以促进RFID 产业标准化成为全球瞩目的一个目标。
RFID标准化的主要目的在于通过制定、发布和实施统一标准,解决编码、通信、空中接口和数据共享等问题,最大程度地促进RFID技术及相关系统应用的普及。
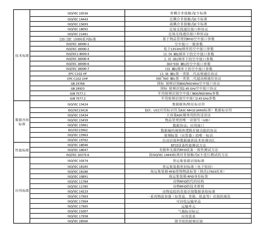
RFID标准体系涉及的内容主要包括以下几方面:
RFID丨技术标准
主要定义不同频段的空中接口及相关参数,包括基本术语、物理参数、通信协议和相关设备等。
RFID丨数据内容标准
主要涉及数据协议、数据编码规则及语法,包括编码格式、语法标准、数据符号、数据对象、数据结构和数据安全等。
RFID丨性能标准
涉及设备性能测试标准及一致性测试标准,主要包括印制质量、设计工艺、测试规范和试验流程等。
RFID丨应用标准
主要涉及特定应用领域或环境中RFID的架构规则。
其中,编码标准和通信协议(通信接口)是争夺比较激烈的部分,两者构成了RFID标准的核心。
现在国际上的RFID标准大部分都是由ISO、IEC两个组织共同发布的,因此称为ISO/IEC 标准。

▲ISO/IEC 标准(由IoT库整理)
如今在全球建立起具有一定影响力的RFID标准体系的六大组织分别是ISO/IEC、EPCglobal、UID、AIM、IP-X、NFC Forum。
目前,ISO/IEC18000、EPCglobal、UID三个空中接口协议仍在完善中。
这三个标准相互之间并不兼容,主要差别在于通讯方式、防冲突协议和数据格式三个方面,而技术上的差距并不大,不过ISO/IEC的RFID标准大量涵盖了EPC与UID两种体系的标准。
ISO / IEC
ISO是国际标准化组织(International Organization for Standardization),IEC是国际电工委员会(International Electrotechnical Commission),两者都是全球非营利性标准化专业机构,二者联合发布的标准称作ISO/IEC标准。与其他组织相比,ISO/IEC的公信力极具权威性,该组织下设多个分技术委员会从事RFID标准研究,并对RFID的多个频段都发布了标准。
EPCglobal
EPCglobal由国际物品编码协会GS1发起成立,GS1(Globe standard 1)是由EAN International 改名而来。EAN原身是1977 年成立的欧洲物品编码协会,在1981年改成国际物品编码协会,2002年UCC(美国统一代码委员会)和ECCC(加拿大电子商务委员会)正式加入EAN,2005年EAN改名为GS1。GS1是全球公认的负责研发推广条码技术的国际组织,致力于推广全球商务语言EAN.UCC系统(在中国被称为ANCC全球统一标识系统,简称ANCC系统)。
EPCglobal是一个中立的、非营利性的RFID标准化组织。EPCglobal由EAN和UCC两大标准化组织联合成立,它继承了EAN、UCC与产业界近30年的成功合作传统。EPCglobal网络是实现自动即时识别和供应链信息共享的网络平台。通过EPCglobal网络,提高供应链上贸易单元信息的透明度与可视性,各机构组织将会更有效运行。通过整合现有信息系统和技术,EPCglobal网络将提供对全球供应链上贸易单元即时准确自动的识别和跟踪。
ISO/IEC标准中有关860-960MHz频段的标准直接采用了EPCglobal Gen2 UHF标准。
其中,EPCglobal Class1 Gen2(简称C1G2或Gen2)标准,是EPCglobal从2003年开始研究的第二代超高频RFID核心标准。Gen2规定了由终端用户设定的硬件产品的空中接口性能,是RFID、Internet和EPC标识组成的EPCglobal的网络基础。Gen2协议标准具有更安全的密码保护机制,它的32位密码保护比Gen1协议标准的8 位密码更安全。在管理性能方面,Gen2的超高频工作频段为860-960MHz,适合欧洲、北美、亚洲等国家和地区的无线电管理规定,为RFID的射频通信适应不同国家与地区的无线电管理创造了全球范围的应用环境条件。
EPC标准体系的空中接口协议规范了电子标签与读写器之间的命令和数据交互,它与ISO/IEC 18000-3、18000-6标准对应,其中UHF C1G2已经成为ISO/IEC 18000-6C标准。
UID
UID全称为泛在识别中心(Ubiquitous ID Center),成立于2003年3月,是日本T-Engine Forum下设的RFID研究机构。日本泛在识别中心制定RFID相关标准的思路类似于EPCglobal,目标也是建立起从编码体系、空中接口协议到泛在网络体系结构的完整标准体系,但每个部分的具体内容存在差异。为了制定具有自主知识产权的RFID标准,日本UID制定了uCODE编码体系,既能兼容日本已有的编码体系,同时也可兼容国际其他的编码体系,由泛在识别码(Ucode)、信息系统服务器、Ucode解析服务器和泛在通信器四部分构成。主要采用的频段是2.45GHz与13.56MHz。
UID的RFID标准体系在我国的RFID业界应用不是很多,在全球影响力也远不如ISO/IEC和 EPCglobal的RFID标准体系。
AIM
AIM全称为全球自动识别组织,成立于1999年,在全球有13个国家及地区性的分支;AIM是可移动环境中自动识别、数据搜集及网络建设方面的专业协会,是世界性的机构。AIM曾指定通行全球的条码标准,现在也推出了RFID标准。
2004年11月,AIM与美国计算机行业协会宣布合作发展RFID的第三方认证。
目前来说,AIM在RFID方面的影响力远不如EPCglobal。
IP-X
IP-X也是一个射频识别标准化组织,为中性主权国的第三世界标准组织;组织成员以非洲、大洋洲、亚洲等地的国家为主,主要在南非等国家推行。
NFC Forum
NFC Forum由包括惠普、万事达卡、微软、NEC、诺基亚、恩智浦、松下、三星、索尼等在内的主要移动通信、半导体、消费类电子产品公司于2004年发起成立,是一个非营利性行业协会。
NFC Forum正式定义了NFC的技术架构,其宗旨是通过开发基于标准的规范,确保各个设备和各项服务之间的互操作性,鼓励使用NFC Forum的规范来开发产品,并面向全球市场推广NFC技术,从而推动近距离无线通信技术的普及应用。
本文来自RFID世界网,本文观点不代表石墨烯网立场,转载请联系原作者。
