1成果简介

原始石墨烯在无害介质中的稳定分散体是将该2D材料用于各种实际应用的高度期望。本文,报道了通过冷冻3D打印将高质量的石墨烯纳米片在水分散体中直接逐层制备成具有分层结构的三维石墨烯气凝胶的过程。制备了具有高导电性和与石墨碳的π堆积相互作用的协同作用的水溶性咪唑基聚离子液体,并将其用作水性介质中石墨剥离的稳定剂。浓度稳定的高浓度石墨烯分散体,水中浓度高达5 mg mL –1获得了通过各种喷嘴显示出优异的喷射性的产品。通过将精密点胶系统与使用Peltier模块的快速冷冻过程相集成,开发了冻结3D打印技术,从而提高了将配制的石墨烯纳米墨水打印为三维宏观结构的能力。该技术为3D石墨烯气凝胶的逐层制造提供了可扩展且通用的工艺,这在众多应用中尤其是电池和超级电容器中可能会显得很重要。
2图文导读

图1.(a)咪唑基聚离子液体的合成。
(b)制备的ViEtImBr(橙色线)和聚(ViEtImBr)(蓝色线条)的 H NMR光谱。
(c)制备的ViBuImCl(红色线)和聚(ViBuImCl)(绿线)的H NMR光谱。
(d)制备的聚(ViEtImBr)(蓝色线条)和聚(ViBuImCl)(绿色线条)的FT-IR光谱。

图2.(a)制备的示意图 石墨烯 聚(离子液体)稳定的分散体[照片:典型 石墨烯聚(ViEtImBr)稳定的水分散体]。(b–d)的TEM图像石墨烯聚(ViEtImBr)稳定的薄片。(e–g)的TEM图像石墨烯 聚(ViBuImCl)稳定的薄片。

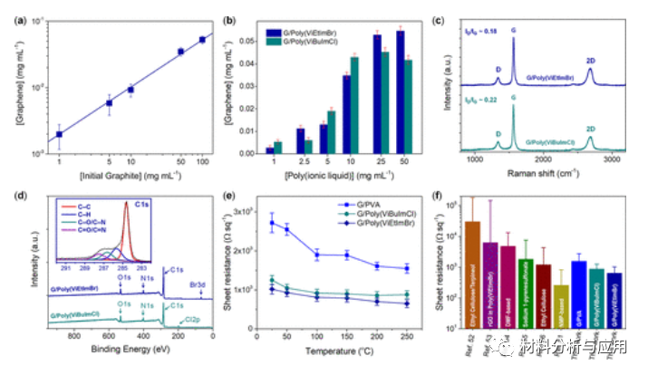
图3.(a)浓度 石墨烯在聚(ViEtImBr)分散液中绘制出相对于初始石墨浓度的图。
(b)集中石墨烯绘制的分散体中聚醚(离子液体)浓度的函数。
(c)拉曼光谱和(d)XPS光谱石墨烯 聚(ViEtImBr)和聚(ViBuImCl)稳定的纳米片[插图:C 1s核心能级图 石墨烯聚(ViEtImBr)稳定的纳米片]。
(e)薄膜电阻石墨烯在不同退火温度下由聚(ViEtImBr),聚(ViBuImCl)和PVA稳定的纳米片。
(f)剥离的薄层电阻的比较石墨烯 在250℃下退火1小时后,在这项工作中制备的结果在文献中报道[间隔条:退火前的薄层电阻]。

图4.(a)冻结3D打印过程的示意图。
(b)对印刷阶段的设计和工作原理解释。
(c)典型的冻结3D打印过程快照石墨烯宏观结构。
(d)典型3D打印结构的照片。
(e)冻干的照片石墨烯蒲公英头上的气凝胶。
(f)冻干的SEM顶视图石墨烯气凝胶。
(g,h)冻干的横截面SEM图像石墨烯气凝胶。

图5.(a)的示意图 石墨烯超级电容器单元。
(b)电化学测试的电路图。
(c)不同扫描速率下的循环伏安曲线。
(d)不同电流密度下的循环充电/放电曲线。
(e)由制造的超级电容器供电的LED芯片的照片。
3小结
一种冷冻3D打印技术,该技术将精密点胶系统与使用Peltier帖模块的快速冷冻技术相结合,利用水基石墨烯纳米墨水的快速凝固,逐层制备具有三维层次结构的石墨烯气凝胶。这项研究可能为石墨烯从实验室走向多种实际应用铺平道路。
文献:

ACS Applied Nano Materials Pub Date : 2020-11-05 , DOI: 10.1021/acsanm.0c02781
Tuan Sang Tran; Naba Kumar Dutta; Namita Roy Choudhury
本文来自材料分析与应用,本文观点不代表石墨烯网立场,转载请联系原作者。
