4月23日,我校物理与光电工程学院2016级“韶峰”实验班本科生龚振昊同学以第一作者身份在物理学著名国际学术期刊《物理学评论B》(Phys. Rev. B.)上发表最新研究成果:“具有本征Type-III型Dirac锥低能量石墨烯异构体的理论预测”(Theoretical prediction of a low-energy Stone-Wales graphene with intrinsic type-III Dirac-cone)。这是该院“韶峰”实验班本科生第二次在该期刊上发表学术研究成果。
《物理评论B》是美物理学会(American Physical Society)旗下的具有重要影响的国际学术期刊之一,主要发表凝聚态物理领域的高水平前沿学术成果,是国际物理学界广泛认可的享有高度学术声誉的期刊之一。

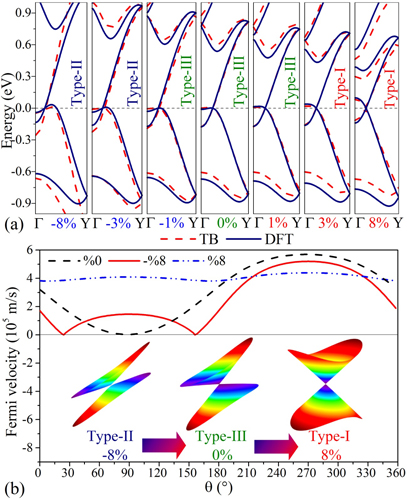
SW40中本征的Type-III型Dirac锥:(a)高对称线上的能带结构图和态密度;(b)Dirac锥附近三维能带结构图;(c)Dirac锥附近各方向上的费米速度。
碳是一种重要的元素,可以以多种形态存在于自然界,如金刚石、石墨和有机物等。自从2004年单元层石墨烯发现以来,由于其优异的物理特性,二维碳材料受到人们的广泛关注。由于碳元素的成键特性,石墨烯存在大量的二维异构体,这些不同的二维石墨烯异构体使得二维碳材料具有异常丰富的物理性质,近年来,探索新型二维石墨烯异构体一直是计算凝聚态物理中的重要研究热点之一,大量潜在的二维石墨烯异构体在理论上被人们预测出来。在描述二维碳异构体的电子性质中,紧束缚近似是一种常用的重要方法,但是目前描述二维碳材料的紧束缚模型和参数都依赖具有的结构,不具有很好的可移植性。寻找具有普适性的紧束缚模型和参数是一件非常重要和有意义的工作,不仅可以更深入的理解其物理性质,而且还可以克服大系统中第一性原理计算量大的问题。
2018年7月开始,龚振昊进入“韶峰”实验班科研兴趣小组。在学术导师李金副教授的指导下学习紧束缚近似和第一性原理计算方法,采用FORTRAN语言编写了紧束缚代码和参数拟合程序;在何朝宇副教授的指导下利用课题组前期开发的晶体结构搜索代码RG2(Phys. Rev. B., 97, 014104, 2018)搜索到30个全新的二维sp2碳晶体结构,并利用第一性原理对这些二维石墨烯异构体的稳定性和电子性质进行了研究。他们的研究表明,一个可由Stone-wales缺陷周期性拓扑而成的二维碳结构(SW40)在能量上稳定于所有前人提出的石墨烯异构体,在动力学上也是稳定的;SW40是一个具有本征Type-III型Dirac-cone的半金属材料,狄拉克锥附近的电子态具有非常强的各向异性;为了理解SW40这种稀有的电子性质,他们提出了距离依赖的紧束缚模型并优化得到一组具有良好移植性的参数,不仅可以非常准确的描述SW40及其应变下的电子性质,而且还可以准确的描述其它半导体型、金属型、半金属型的多种不同构型二维石墨烯异构体的电子性质。

应力可调控的Dirac锥:压缩应力下由Type-III到Type-II转变;拉伸应力下由Type-III向Type-I转变。
他们的研究成果发表在今年4月23日第101期《物理评论B》上(Phys. Rev. B. 101, 155427, 2020,论文链接: https://link.aps.org/doi/10.1103/PhysRevB.101.155427),我校为第一单位,龚振昊为第一作者,李金和何朝宇为共同通信作者。这一工作得到了国家自然科学基金和教育部创新团队项目的支持。
物理学类“韶峰”实验班是我校专业拔尖人才培养改革试点项目之一。龚振昊曾获得全国大学生数学竞赛省级二等奖、湖南省大学生物理竞赛校级二等奖、我校基础学科奖学金和韶峰励志奖学金等荣誉。目前已被南方科技大学免试录取为硕士研究生。
本文来自湘潭大学,本文观点不代表石墨烯网立场,转载请联系原作者。
