近年来,随着二维材料研究的蓬勃发展,石墨烯这一“材料之王”再次迎来新的突破口——从电子的传导走向自旋的调控。石墨烯自身无磁性、无带隙,但通过层数、堆垛方式及外场作用,其电子结构可发生显著变化,展现出奇异的量子特性。尤其是菱方(ABC)堆垛的三层石墨烯,因其天然破缺反演对称性与平带结构,成为探索强关联与自旋极化的新舞台。
在这项理论计算工作中揭示了菱方三层石墨烯中自旋简并解除的内在机制,并提出了一个创新的器件概念:完全由菱方三层石墨烯构成的“一体化”磁隧道结(MTJ)。这一设计打破了传统“金属–绝缘体–金属”的三明治式架构,仅通过调控电压,即可在金属态、半导体态和半金属态之间自由切换,开启了全石墨烯低功耗自旋电子器件的新方向。
研究团队利用约束随机相位近似(cRPA)计算以及非平衡格林函数(NEGF)方法,对体系的电子能带与输运性质进行了系统研究。他们发现,电子–电子相互作用在K/K′点附近引发明显的自旋分裂,交换劈裂能约为 2.2 meV。更重要的是,通过外加垂直电场与电子掺杂,体系可在非磁性、半导体与自旋极化三种状态间灵活切换,实现电压驱动的自旋调控。
图1展示了这一“全石墨烯”MTJ的器件结构示意:上下栅极分别调控不同层石墨烯的电势,实现从导电、绝缘到半金属态的逐步过渡。这样的“单一材料三态可编程”特性,使其成为后摩尔时代自旋电子学的理想候选。

图1. 基于全菱方三层石墨烯(ABC堆垛)的器件设计概念示意图。(a) 金属性、原始的菱方三层石墨烯的能带结构,可作为磁隧道结(MTJ)中的电极材料;(b) 施加背栅电场后的菱方石墨烯能带结构,出现可调的半导体带隙,从而可作为MTJ中的隧穿势垒层;(c) 同时施加背栅与顶栅电场时的能带结构。顶栅向体系中注入电子或空穴,解除原本的自旋双简并,分别产生自旋向上或自旋向下极化。这种半金属行为使其可作为自旋过滤层,通过电压调控可实现器件两端自旋极化方向的切换,从而在磁隧道结中获得平行(P)或反平行(AP)磁构型;(d) 完全由菱方三层石墨烯构成的磁隧道结器件的结构示意图。
图2展示了在不同电场下菱方三层石墨烯的能带演化。随着电场增强,能带出现开隙与自旋分裂;平带附近的高态密度(DOS)满足Stoner准则,从而诱发自发磁化。这种“相互作用诱导磁性”无须外加磁场,即可实现100%自旋极化电流。

图2. (a) ABC堆垛三层石墨烯的晶体结构示意图。 灰色方框标出了一个晶胞区域;(b) 未考虑自旋极化的菱方三层石墨烯能带结构(黑色实线)。绿色虚线为单层石墨烯的能带,用于对比;(c) 在两块金属栅极之间沿𝑦方向(间距为 20 Å)施加 0.1 eV 电压时的能带结构(红色虚线)。蓝色实线表示体系在加入额外电子后的能带结构,黑色实线为未加电场的自由三层石墨烯能带(同(b));(d) 放大的自旋极化能带结构,展示了交换劈裂效应。红、蓝虚线分别表示自旋向上与自旋向下的能带,对应区域在(c)中以灰色矩形标出;(e) 用于输运计算的双端器件模型。 绿色与红色原子位置分别代表左电极与右电极。
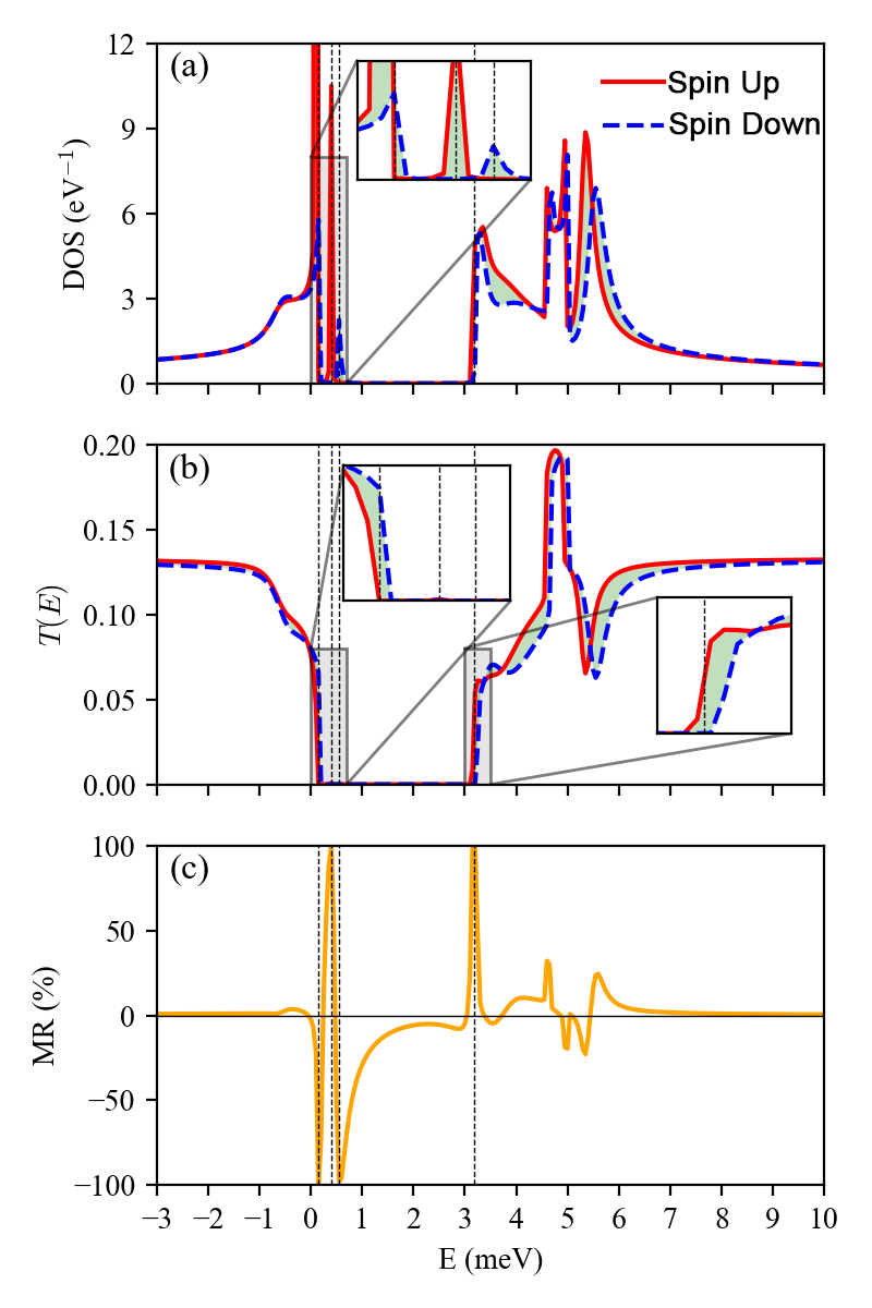
图3给出了器件的透射谱与磁阻响应。研究发现,在费米能附近,器件表现出高达100%的磁阻(MR)。当费米能位于隧穿态区域时,电流虽小但完全自旋极化;而通过外部栅压或掺杂,可将这些态推近费米能,实现高电流密度与高磁阻兼具的工作点。这意味着,未来的自旋逻辑器件或磁存储单元可通过纯电控实现读写切换,无需传统铁磁电极,大幅降低功耗与工艺复杂度。

图3. (a) 三层石墨烯的自旋极化态密度(DOS)分布;(b) 三层石墨烯的自旋极化透射谱。 插图展示了能带边缘区域的放大图;(c) 三层石墨烯的磁阻(以百分比表示)曲线。 垂直虚线标出了磁阻达到 100% 的能量位置。
此外,因该设计仅依赖于同质石墨烯材料,界面完美匹配,厚度在亚纳米级保持均一,具备大面积(如4英寸晶圆级)制备可行性。相比传统金属/氧化物体系,它在一致性、稳定性与可扩展性方面均具有显著优势。
这一成果不仅深化了人们对二维材料中电子–电子相互作用的理解,也为超薄、低功耗、可集成的自旋逻辑与存储器件提供了理论基础。随着实验上对菱方堆垛石墨烯的可控合成不断成熟,“全石墨烯自旋器件”或将从理论走向现实,为下一代信息技术带来新机遇。
这项研究得到国家自然科学基金、山东省重点研发计划(重大科技创新工程)、山东省自然科学基金、山东省泰山学者计划、新加坡教育部等项目的支持。
通讯作者
张力舒 研究员 山东大学
山东省泰山学者青年专家,山东大学齐鲁青年学者。2021年6月获山东大学博士学位,博士期间获山东省优秀学生、山东省优秀毕业生、山东省优秀博士学位论文等奖励。随后赴新加坡国立大学物理系开展博士后研究,导师冯元平教授。2022年8月至2024年8月于德国亥姆霍兹联合会-于利希研究中心Peter Grünburg研究所任“洪堡学者”,合作导师Stefan Blügel教授和Yuriy Mokrousov教授,并获德国洪堡基金委资助赴英国剑桥大学物理系/卡文迪许实验室Mike Payne院士课题组访问。后赴美国内布拉斯加大学林肯分校物理与天文系Evgeny Tsymbal教授课题组任博士后研究员。2025年3月回国加入山东大学。近五年,在《Nature》、《Science Advances》、《ACS Nano》、《Physical Review B》、《Applied Physics Reviews》、《Physical Review Applied》等国际期刊发表SCI论文,总发表数50篇,其中第一作者19篇,他引千余次。获美国物理学会APS卓越学生奖、爱思唯尔Elsevier计算材料科学新星等奖励。担任《Nature》、《Science Advances》、《Physical Review Letters》等顶尖期刊同行评审专家,现任《Frontiers》期刊编委、《Materials》客座编辑、《APL Electronic Devices》、《The Innovation》青年编委。
请登录课题组网站了解更多信息(www.zhanglishu.com)
英文原文
英文原题:Lifting Spin Degeneracy in Rhombohedral Trilayer Graphene for High Magnetoresistance Applications
第一作者、通讯作者:张力舒(山东大学)
作者:Lishu Zhang*(张力舒),Jun Zhou(周军),Jie Yang(杨洁),Sumit Ghosh,Yi-Ming Zhao(赵艺明),Yuan Ping Feng(冯元平),Lei Shen(沈雷)
J. Phys. Chem. Lett. 2025, 16, XXX, 11933–11938
https://doi.org/10.1021/acs.jpclett.5c02712
Published November 7, 2025
© 2025 American Chemical Society
本文来自ACS期刊资讯,本文观点不代表石墨烯网立场,转载请联系原作者。
