近日,中国科学院上海微系统与信息技术研究所于庆凯团队、时志远团队与中国科学院上海硅酸盐研究所曾毅团队合作,通过等离子体增强化学气相沉积(PECVD)技术制备石墨烯/铜(Gr/Cu)复合材料,调控石墨烯质量以改变其诱导的铜基底应力大小,解决了铜应用中持续高压的挑战及Gr/Cu复合材料制备工艺复杂、应力难控的问题,实现材料电导率最高达109.4%国际退火铜标准(IACS)。相关成果以“Interfacial interaction and stress engineering for enhancing electrical conductivity of graphene/copper composites”为题发表于《Materials Today Physics》期刊。
背景介绍
铜是常用的导电材料,储量丰富且易于加工,电导率在金属中仅次于纯银,但持续的高压力是铜应用中的一大挑战。为缓解这一限制,研究人员尝试将石墨烯与铜结合 —— 石墨烯与铜之间显著的热膨胀系数(TEC)差异,可通过生长与冷却过程中的热失配在界面诱导应力,进而可能改善铜的性能。
此前已有研究通过 CVD 制备 Cu/Gr/Cu 三明治结构、等离子体辅助球磨法合成纳米晶 Gr/Cu 复合材料,观察到石墨烯诱导的应力对铜力学或电学性能的增强作用,但复杂的制备工艺与应力大小控制难题,仍阻碍着相关机制研究与实际应用。
文章亮点
为突破这些瓶颈,研究团队采用 PECVD 技术开展实验:首先选取纯度 99.999%、厚度 25μm 的铜箔,在 1000℃的氩气(Ar)与氢气(H₂)保护气氛下进行 1 小时退火处理,以缓解铜箔原生应力;随后将退火后的铜箔放入 PECVD 装置,在 800℃环境中,以 5‰浓度的甲烷(CH₄)为碳源,搭配 50sccm 的 Ar 与 3sccm 的 H₂作为载气,通过 30-60W、13.56MHz 的射频(RF)功率激发等离子体,持续 10 分钟生长石墨烯,冷却至室温后得到 Gr/Cu 复合材料。
结构表征结果显示,铜基底表面下方可观察到约 5nm 的过渡层,其近表面 1-2nm 区域为晶格畸变层;几何相位分析(GPA)与电子背散射衍射(EBSD)测试表明,石墨烯会在铜基底中引入具有方向性的应力 —— 面内方向以压缩应力为主(最大约 – 60MPa),部分晶粒存在稀疏的拉伸应力(最大约 + 80MPa),面外方向则以拉伸应力为主(最大约 + 108MPa)。
电导率测试方面,经四探针法测量,预退火纯铜的电导率约为 100.1% IACS,Gr/Cu 复合材料的电导率显著提升至 109.4% IACS;为验证石墨烯在冷却过程中的作用,团队还制备了两种等离子体蚀刻样品:高温蚀刻样品(HTE-Cu,生长后立即去除石墨烯再冷却)的电导率回落至 101.0% IACS,室温蚀刻样品(RTE-Cu,冷却后再去除石墨烯)则仍保持 106.7% IACS,证实冷却阶段石墨烯的覆盖是电导率增强的关键。
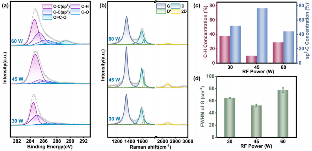
此外,通过调节 RF 功率可改变石墨烯的氢化缺陷程度:当 RF 功率从 30W 升至 45W 时,石墨烯中 sp² C-C 的含量从 52.02% 增至 76.36%,C-H 缺陷含量从 37.7% 降至 10.2%;继续将 RF 功率提升至 60W,等离子体轰击会引入更多缺陷,导致 sp² C-C 含量降至 44.07%,C-H 缺陷含量回升至 28.81%,对应的电导率也呈现先升后稳的趋势 ——30W 时为 103.8% IACS,60W 时为 106.6% IACS。
从机制上看,冷却过程中石墨烯与铜的热膨胀系数差异(石墨烯面内热膨胀系数接近零或为负值,铜的热膨胀系数为 16-17×10⁻⁶ K⁻¹)会产生约 1% 的失配应变,高温环境下铜易发生塑性形变,表面层会产生位错以缓解拉伸力;冷却后样品在空气中储存时,氧气与水蒸气扩散至界面导致石墨烯与铜的耦合作用弱化,铜表面受基底本体的压缩力约束,近表面的压缩残余应力可减少电子 – 声子散射,而四探针法对平面电导率的敏感性,进一步放大了这种应力介导的电导率提升效果。
图文解析

图 1. 高导电性石墨烯 / 铜(Gr/Cu)的生长过程及相关应力;(a)石墨烯 / 铜(Gr/Cu)与刻蚀石墨烯 / 铜(Etched Gr/Cu)的制备流程;(b)铜样品的电化学(EC)测量装置示意图;(c)石墨烯 / 铜(Gr/Cu)的横截面高分辨透射电子显微镜(HRTEM)图像;(d)图(c)中标记区域的放大图;(e)采用几何相位分析(GPA)计算得出的图(d)所示区域内的应变分布


图 2. 基于电子背散射衍射(EBSD)的铜基底应力分析;(a–c)高温退火铜(HTE-Cu-Cu)、石墨烯 / 铜(Gr/Cu)及室温退火铜(RTE-Cu)的晶粒取向差分布(GROD)结果;(d–e)石墨烯 / 铜(Gr/Cu)中弹性应力场的分布,其中(d)为面内方向,(e)为面外方向;(f)示意石墨烯 / 铜(Gr/Cu)中应力产生过程的示意图

图 3. 石墨烯调控结果;(a)不同射频功率(RF 功率)下生长的石墨烯的 X 射线光电子能谱(XPS)谱图;(b)不同射频功率(RF 功率)下生长的石墨烯的 D′C-H 拉曼光谱;(c)随着射频功率(RF 功率)增加,C-H 键与 sp² 杂化碳(sp²-C)的含量变化趋势;(d)随着射频功率(RF 功率)增加,拉曼 G 峰的半高宽(FWHM)变化

图 4. 射频(RF)功率调控对石墨烯 / 铜(Gr/Cu)应力与电导率(EC)的影响;(a–c)石墨烯 / 铜(Gr/Cu)随射频(RF)功率变化的晶粒取向差分布(GROD)结果;(d)不同射频(RF)功率下生长的石墨烯 / 铜(Gr/Cu)的电导率(EC),采用四探针法测量的结果;(e)示意射频(RF)功率影响石墨烯质量过程的示意图;(f)四探针法测量示意图,图中突出石墨烯 / 铜(Gr/Cu)的面内电导率增强效果
总结展望
该研究的核心价值在于,明确了界面应力工程是实现 Gr/Cu 复合材料电导率突破 100% IACS 的关键路径 —— 既通过实验验证了石墨烯诱导的压缩应力对铜电导率的增强作用,又提供了一套快速高效的 PECVD 制备方案,无需依赖持续高压,仅通过调控 RF 功率即可精准控制石墨烯质量与应力大小。
这一成果不仅解决了 Gr/Cu 复合材料制备工艺复杂、应力难控的问题,还为其规模化应用提供了可行方向,未来通过进一步优化石墨烯与铜的界面相互作用以强化应力诱导效果,有望研发出电导率更高的铜基材料,满足电力传输、微电子等领域对高导电材料的需求。
文献信息
Zhihao Zheng, Wentao Yuan, Yiling Huang, Yifeng Zhao, Jiayao Chen, Xuefu Zhang, Yi Zeng, Zhiyuan Shi, Qingkai Yu, Xiaoming Xie, Interfacial interaction and stress engineering for enhancing electrical conductivity of graphene/copper composites, Materials Today Physics, Volume 59, 2025, 101895, ISSN 2542-5293
https://doi.org/10.1016/j.mtphys.2025.101895.
本文来自先进铜基材料,本文观点不代表石墨烯网立场,转载请联系原作者。
