本论文的核心发现是:通过实验与模拟相结合,揭示了石墨烯纳米孔边缘的功能基团(如-COOH, -OH)是其产生“边缘活化”气体传输行为的关键。 这种机制使得气体(尤其是小分子如H₂, He)在高温下的渗透率显著增强,而大分子渗透增强不明显,从而实现了温度升高,选择性反而增加的反常现象。该研究成功制备了具有长期热稳定性(超过1年)和化学稳定性的单层纳米多孔石墨烯膜,并在接近工业脱氢反应的高温条件下,展示了优异的氢气/烃类分离性能(选择性 > 70),为下一代高性能分离膜的设计提供了全新的理论和材料基础。

图1该膜是通过使用聚甲基丙烯酸甲酯(PMMA)辅助载体工艺将单层石墨烯转移到多孔载体上,然后创建纳米孔来制造的。本文采用多孔支架是疏水性聚酰亚胺追踪膜(PITEM)。图1a和图1b为扫描电子显微镜(SEM)下电子原子薄的纳米多孔石墨烯膜采用薄膜复合膜的结构,展示了支撑在聚酰亚胺轨迹蚀刻膜上的石墨烯膜的物理结构。顶部的连续导电石墨烯层和下面的PITEM孔清晰可见(图1a)

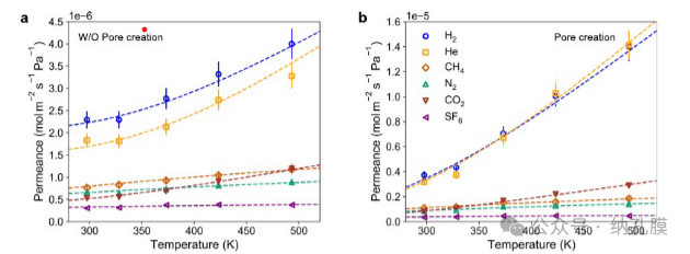
图1图1c,d,e分别是测试支撑体本身(PITEM(10)),未造孔的石墨烯膜(PITEM(10)_G),造孔后的石墨烯膜(PITEM(10)_G_Pore)的气体渗透行为。
图1c结果显示气体渗透率随温度的升高而下降(遵循1/pT关系),遵循符合Knudsen扩散机制,证明了支撑体(PITEM(10))不是选择性传输的来源。
图1d结果显示气体渗透率随温度的升高而增加,表现出“活化传输”特征,这被认为是石墨烯固有缺陷的小纳米孔的活化输运的渗透主导了通过PITEM(10) _G的流动。
图1e结果显示在(PITEM(10)_G_Pore)上人为利用离子辐照使石墨烯晶格上的孔位成核,然后进行化学蚀刻以控制孔的生长的方法引入高密度纳米孔后,活化传输行为显著提高氢气和氦气等小气体种类的增加更为显著,增加了3-4倍,而大气体(如SF6)的活化传输相对较弱。
图1f展示了在220°C下,三个不同膜样品对H₂相对于其他气体的选择性。结果表明:1.选择性远高于Knudsen选择性(虚线)。2.不同批次样品可能重复。3.最关键的是,同一个样品在老化超过1年后,其性能和选择性依然保持稳定甚至略有提升,证明了膜卓越的长期稳定性。
数学模型拟合:使用双机制模型(方程1)对实验数据进行拟合,将总渗透率分解为“活化传输”和“Knudsen扩散(泄漏)”两部分,并提取出表观活化能和前置因子。
理论模拟(刚性孔模型):基于已知的孔径分布和经典的Lennard-Jones势垒计算,预测气体渗透率,而不考虑孔边缘的动态变化。

图2a, 2b展示了模型(虚线)对造孔前后实验数据(点)的拟合效果,证明双机制模型能很好地描述实验现象。

图2c表观活化能与气体动力学直径的关系。反直觉地发现,小分子气体(H₂, He)的活化能反而高于大分子气体(CH₄, N₂, SF₆)。这与传统聚合物膜理论相反,暗示了传输机制的不同。
图2d活化传输的前置因子与气体动力学直径的关系。造孔后,小分子气体的前置因子(与选择性纳米孔密度相关)显著增加,而大分子气体几乎不变,说明成功创建了对小分子有选择性的纳米孔。


图2e: 证实了非活化部分(泄漏)符合Knudsen扩散机制。
图2f, 2g, 2h: 不同模型预测与实验对比。
图2f (刚性孔模型):该模型完全无法预测出实验中观察到的强烈活化传输行为,预测的渗透率远低于实验值且随温度下降。
图2g (孔开关模型):假设整个孔在“开”和“关”状态间切换。虽然能预测出活化行为,但所需的孔参数与实验不符。
图2h (边缘柔性模型):仅假设孔边缘的原子/基团发生热振动。该模型使用更符合实验的孔参数,成功预测了与实验高度吻合的He渗透率,成为最合理的机制。
气体通过石墨烯纳米孔的分子动力学模拟(无功能基团)
测试/分析方法:分子动力学模拟。在原子尺度上模拟He原子在不同温度下通过不同尺寸的纯碳终端石墨烯纳米孔的过程。

图3a展示了不同尺寸的纳米孔结构及其在300K下的“可渗透孔径”分布。孔径因晶格热振动而有一定分布。

图3b:He渗透率与温度的关系。对于大孔(Pore_20, 16),渗透率随温度升高略有下降;对于小孔(Pore_10),开始出现微弱的活化传输,但强度远低于实验观测值。

图3c: 不同温度下(300K, 400K, 500K)的孔径分布。结果显示,纯碳边缘的孔径分布随温度变化不大。结论:纯碳纳米孔的热波动不足以解释实验中强烈的活化传输现象。

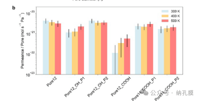
图4测试/分析方法:分子动力学模拟。在石墨烯纳米孔边缘添加-OH或-COOH等功能基团,并模拟He的渗透。
图4a: 带有功能基团的纳米孔在不同温度下的可渗透孔径分布。与纯碳孔(图3)相比,带有功能基团的孔的孔径分布更宽,且均值随温度发生显著偏移。功能基团的类型和所在位置对孔径有巨大影响。

图4b:带有功能基团的纳米孔的He渗透率。在某些构型下(如Pore_12_OH_P1, Pore_14_COOH_P1),He渗透率随温度升高呈现数量级的增长,与实验观测到的强烈活化传输行为高度一致。这直接证明了边缘功能基团的热波动是“边缘活化”传输的分子起源。
测试热稳定、长寿命的氢分离性能
测试方法:
- 单气体和混合气体渗透测试:在高温下测量H₂和CH₄的渗透率和选择性。
- 复杂烃类混合物分离测试:模拟工业脱氢反应条件,使用H₂、四氢化萘、顺/反十氢化萘的混合物进行分离实验。
- 长期稳定性测试:在500K下持续运行膜超过40天,定期检测H₂渗透率。

图5a:单气体测试。H₂/CH₄选择性随温度升高而增加,且过程完全可逆,再饮证明了活化传输是膜的本征特性。
5b: 二元混合气体(H₂/CH₄)测试。结果与单气体测试一致,排除了气体间相互作用导致的假象,验证了其在真实混合气体条件下的性能。
5c:复杂烃类混合物分离性能。在500K反应温度下,膜对H₂/烃类的选择性超过70,且对不同烃类异构体(顺/反十氢化萘)表现出不同的渗透率,展示了其分子筛分潜力。H₂渗透率极高(约2×10⁵ GPU)。
5d:长期稳定性。在40天的连续高温测试中,H₂渗透率没有任何衰减,证明了膜在苛刻工业环境下的应用潜力。
本研究不仅推进了对原子级薄膜分离机制的理解,也展示了纳米多孔石墨烯膜在高温氢分离中的实际应用潜力,为面向工业需求的膜材料设计提供了理论依据与实验支撑。
本文来自多孔膜,本文观点不代表石墨烯网立场,转载请联系原作者。
