本文展示了在单晶石墨烯/SiC模板上通过分子束外延(MBE)技术生长的高质量、大面积Fe3GaTe2(FGaT)薄膜。这些薄膜展现出高于室温的强垂直磁各向异性(PMA)和高达400K的居里温度(TC)。通过X射线吸收光谱(XAS)和X射线磁圆二色性(XMCD)光谱进一步验证了自旋和轨道磁矩的贡献,这些发现对于基于二维异质结构的高性能自旋电子器件的未来发展具有重要意义,有望应用于下一代数据存储、逻辑处理和量子技术。
背景
二维(2D)范德华(vdW)磁性材料的出现为基本物理学开辟了新领域,尤其是在探索二维极限下的拓扑非平凡自旋纹理等奇异磁性现象方面。这些材料被认为是实现低功耗自旋电子学和量子技术新型器件的有前途的构建块。然而,大多数FGaT的研究仅限于毫米级块状晶体和剥离的薄片,这些材料不适合实际应用和器件加工。此外,FGaT与其他二维材料形成vdW异质结构仅通过薄片堆叠实现,大面积生长的FGaT及其相关异质结构的研究仍处于未开发状态。
主要内容
研究人员通过分子束外延(MBE)技术在单晶石墨烯/SiC模板上实现了高质量、大面积的Fe3GaTe2薄膜生长。通过结构表征确认了连续的FGaT/石墨烯vdW异质结构具有高结晶质量。温度依赖的磁化和反常霍尔测量揭示了具有强垂直磁各向异性的增强居里温度,高达400K。此外,X射线吸收光谱和X射线磁圆二色性光谱提供了自旋和轨道磁矩贡献的见解,进一步验证了高TC和强PMA。这些发现对于基于二维异质结构的高性能自旋电子器件的未来发展具有重要意义,有望应用于下一代数据存储、逻辑处理和量子技术。
实验细节
实验中,研究人员首先在半绝缘4H-SiC(00.1)衬底上通过SiC表面石墨化方法生长外延石墨烯。然后,在超高真空(UHV)条件下,使用MBE技术在石墨烯/SiC(00.1)模板上生长高质量大面积的Fe3GaTe2薄膜。
创新点
- 实现了在单晶石墨烯/SiC模板上通过分子束外延(MBE)技术生长的高质量、大面积Fe3GaTe2薄膜,这在大面积vdW异质结构的制备上是一个重大进步。
- 展示了FGaT薄膜具有高于室温的强垂直磁各向异性和高达400K的居里温度,这对于实际应用和器件集成至关重要。
- 通过XAS和XMCD光谱提供了自旋和轨道磁矩贡献的见解,进一步验证了高TC和强PMA,为基于二维异质结构的高性能自旋电子器件的发展提供了重要的实验依据。
结论
研究人员成功地在石墨烯/SiC(00.1)衬底上生长了高质量、大面积的二维铁磁Fe3GaTe2薄膜。结构表征确认了FGaT/石墨烯vdW异质结构的优异结晶质量、均匀表面和清晰界面。磁性和输运测量揭示了具有强垂直磁各向异性的高居里温度,达到400K。这些发现进一步得到了XMCD测量的证实,其中在正常入射几何结构下探测到了垂直磁矩。此外,通过在宽温度范围(10至400K)内进行的X射线吸收光谱分析,提取了自旋、轨道和总磁矩贡献。在300K时,10nm厚的FGaT薄膜的μtotal为1.16μB/Fe,与之前对FGaT单晶的研究结果一致。这些发现强调了FGaT作为基于二维异质结构的高性能自旋电子器件平台的潜力,有望应用于未来的数据存储、处理技术和量子计算。
图文内容

图1. 合成的FGaT/石墨烯/SiC(00.1)体系结构配置示意图39:(a)内部Fe3Ga层的俯视图,可清晰观察到六方排列结构;(b)包裹Fe3Ga的外层Te原子排布构型;(c)单层石墨烯的原子结构;(d)沿[2−1.0]晶向的FGaT层侧视图,该层生长在外延石墨烯/SiC(00.1)模板上。需注意石墨烯与SiC界面处存在共价键结合的碳缓冲层,左下和右下的坐标轴标签分别对应(a-c)和(d)图示。

图2. (a)石墨烯/SiC模板[下图]和生长10nm厚FGaT薄膜后[上图]获取的原位反射高能电子衍射(RHEED)图谱,两图均沿SiC(00.1)衬底的⟨2−1.0⟩方向垂直拍摄。(b)石墨烯/SiC(00.1)衬底上10nm厚FGaT薄膜的掠入射衍射(GID)面内倒易空间映射图,除SiC衬底的白圈标记衍射点外,可辨识FGaT薄膜的衍射贡献。(c)FGaT[22.0]衍射峰沿角向的方位角扫描曲线。(d)径向衍射峰FGaT[11.0]、[22.0]以及FGaT[20.0]、[30.0]、[40.0]分别用红色和紫色竖线标注,对应(b)图面内倒易空间映射中的衍射位置。

图3. (a)石墨烯/SiC(00.1)衬底上生长的10nm厚FGaT薄膜的原子力显微镜高度图像,该薄膜表面覆盖有约7nm厚的Te保护层,插图为标记1和2对应的线扫描轮廓。(b)沿[11.0]晶带轴获取的10nm厚FGaT薄膜明场扫描透射电子显微镜图像,左侧显示包含Pt/Te覆盖层的完整堆叠结构,右侧放大区域可清晰观察到FGaT与石墨烯的层状结构。(c)6nm、10nm和32nm厚FGaT薄膜的θ-2θ扫描曲线显示系列衍射峰,其位置与FGaT理论粉末衍射图谱(灰色竖条)吻合良好,其中红点标示32nm厚样品中出现的四方相FeTe杂质峰,垂直虚线代表SiC衬底的布拉格衍射峰位置。

图4. (a)室温下通过扫描NV中心显微镜测量的32nm厚FGaT薄膜在石墨烯/SiC(00.1)衬底上的NV场分布图。(b)石墨烯/SiC(00.1)衬底上10nm厚FGaT薄膜在不同温度下测得的磁化强度(M)随磁场(H)变化的磁滞回线。(c)提取的矫顽场HC和饱和磁化强度MS随温度变化的函数关系。(d)面内(H∥ab)和面外(H∥c)构型下剩余磁化强度MR随温度的变化曲线,插图为相应的MR/MS比值。(e)面外构型(H∥c)下MR随温度的变化曲线,以及使用方程1和不同临界指数获得的拟合结果。

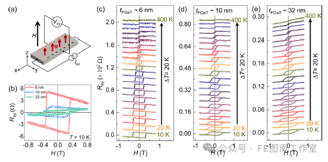
图5. (a)磁输运测量示意图:霍尔电压(Vxy)沿y方向测量,直流电流(Ixx)沿x方向流动,外磁场(H)沿z方向扫描。(b)石墨烯/SiC(00.1)衬底上6nm、10nm和32nm厚FGaT薄膜在10K下测量的横向电阻(Rxy)随外磁场(H)变化的磁滞回线。(c)-(e)分别为石墨烯/SiC(00.1)衬底上6nm、10nm和32nm厚FGaT薄膜在10-400K温度范围内以20K为步长测量的温度依赖性横向电阻(Rxy)曲线。

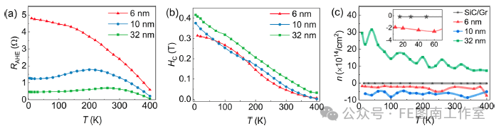
图6. (a)不同厚度FGaT薄膜的反常霍尔电阻RAHE随温度变化曲线。(b)由横向电阻贡献提取的矫顽场HC值随温度变化的依赖关系,实线为视觉引导线。(c)不同厚度FGaT薄膜及原始石墨烯/SiC(00.1)模板(星号标示)的空穴/电子载流子密度随温度变化关系,电子/空穴载流子密度(ne/h)平均值通过曲线确定;(c)中插图为石墨烯/SiC模板与6nm厚FGaT薄膜的载流子密度对比放大图。

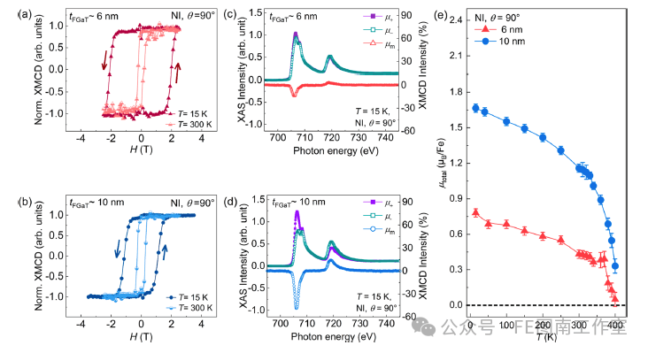
图7. 在Fe L3边探测的XMCD磁滞回线于NI模式(θ=90°,即外磁场沿FGaT层c轴扫描)下测量,温度分别为15K和300K:(a)6nm厚FGaT薄膜,(b)10nm厚FGaT薄膜。(c)和(d)分别为6nm和10nm厚FGaT薄膜在15K下NI模式测得的XAS和XMCD图谱。(e)闭合三角形和圆形符号代表NI几何构型下测量的6nm和10nm厚FGaT薄膜总磁矩(μtotal)随温度变化的关系曲线。
文献:https://doi.org/10.1021/acsnano.5c07732
本文来自FE图南工作室,本文观点不代表石墨烯网立场,转载请联系原作者。
