背景介绍
碳化硅(SiC)作为第三代半导体材料,具有宽禁带、高热导率、高击穿电场等优异特性,广泛应用于高温、高功率电子器件。石墨烯则因其超高载流子迁移率、电导率和力学强度,自2004年被发现以来备受关注。将石墨烯与SiC复合,有望在热管理、电极性能及电磁屏蔽等领域发挥协同优势。目前实现二者结合的方法主要有石墨烯转移与直接生长,其中化学气相沉积(CVD)在SiC表面直接生长石墨烯因其清洁、高质量等优势引起广泛研究。但该方法仍面临成核控制、界面缺陷、应力调节等挑战。为揭示其催化生长机理,本研究结合第一性原理计算与实验,系统研究了双碳源在SiC不同晶面上吸附、裂解及成核等生长行为。
成果简介
本研究通过第一性原理计算与实验验证,系统揭示了乙炔和乙烯两种双碳源在 4H-SiC (0001) 与 (000-1) 面上直接催化生长石墨烯的机理。研究发现,两种分子均可在 SiC 表面发生强吸附和裂解反应,生成碳活性物种CHCH。进一步分析表明,CHCH物种在不同化学势条件下呈现出明显的晶面选择性成核行为:低化学势下更易在 (000-1) 面成核,高化学势下则偏向于 (0001) 面。实验结果进一步证实,乙炔作为碳源具有更优的生长速率,而乙烯作为碳源具有更优的生长质量。该研究深入揭示了碳源类型、反应路径与生长结果之间的关系,为可控合成高质量石墨烯提供了理论基础与实验支持。
图文导读
![Nano Res.[制造]│在碳化硅表面高效催化生长石墨烯](http://www.graphene.tv/wp-content/themes/justnews/themer/assets/images/lazy.png)
图1. 乙烯和乙炔在4H-SiC表面发生裂解、吸附、成核和生长,最终形成石墨烯。
在这些过程中,CHCH在成核和边缘生长阶段发挥主导作用。除此之外,试验结果表明:不同碳源在4H-SiC的不同表面生长石墨烯的质量有明显差异。
![Nano Res.[制造]│在碳化硅表面高效催化生长石墨烯](http://www.graphene.tv/wp-content/themes/justnews/themer/assets/images/lazy.png)
图2. 碳源在4H-SiC表面的最优裂解路径以及能垒,(a) C2H2断C-C键的裂解路径,(b)C2H4断C-C键的裂解路径。
通过对碳源气体在SiC表面的裂解能垒的分析,初步认为CH和CHCH是石墨烯生长的主要活性物质。
![Nano Res.[制造]│在碳化硅表面高效催化生长石墨烯](http://www.graphene.tv/wp-content/themes/justnews/themer/assets/images/lazy.png)
图3. 乙炔(C2H2)和乙烯(C2H4)在SiC两类晶面(0001)与(000-1)上裂解生成的碳活性物种分布情况:(a)(b)为C2H2在两个晶面上的碳活性物种分布,(c)(d)为C2H4对应的碳活性物种分布。
通过分析SiC表面碳活性物种分布,进一步明确CHCH是参与石墨烯生长的主要活性物种。
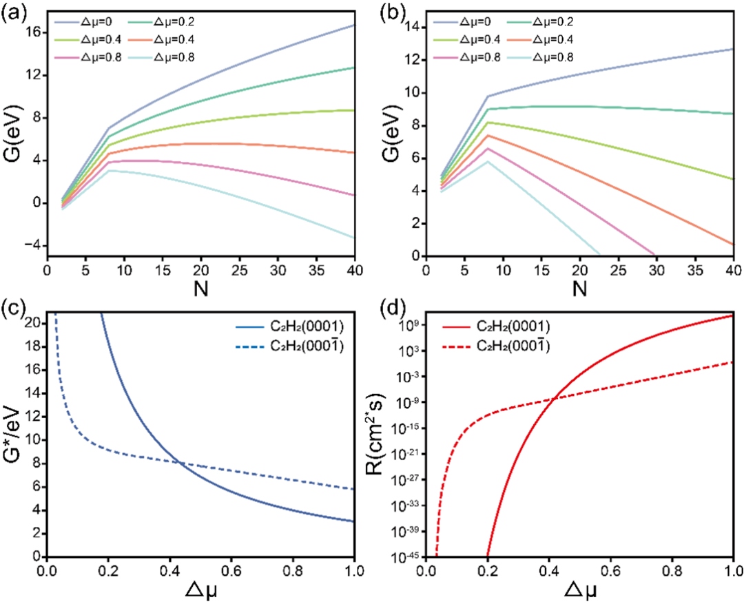
![Nano Res.[制造]│在碳化硅表面高效催化生长石墨烯](http://www.graphene.tv/wp-content/themes/justnews/themer/assets/images/lazy.png)
图4. (a)CHCH在SiC (0001) 面上的生成Gibbs自由能拟合曲线,(b) CHCH在SiC (000-1) 面上的生成Gibbs自由能,(c) 两种晶面上成核能垒与化学势之间的关系,(d) 在1373 K下,不同化学势条件下两种晶面上的成核速率对比。
在低化学势下,与(0001)表面相比,CHCH在(000-1)表面的成核能垒较低,成核率更高。这表明在低化学势下,CHCH在(000-1)表面表现出更强的成核趋势。相反,在较高的化学势下,成核在(0001)表面更有利。
![Nano Res.[制造]│在碳化硅表面高效催化生长石墨烯](http://www.graphene.tv/wp-content/themes/justnews/themer/assets/images/lazy.png)
图5. 使用乙炔(C2H2)和乙烯(C2H4)作为碳源,在SiC (0001) 与 (000-1) 两种晶面上直接生长的石墨烯结构与表面特征:(a–d) 为不同条件下的TEM图像,可观察到石墨烯层数及层间排列差异;(e–h) 展示对应样品的SEM表面形貌,反映石墨烯生长均匀性与缺陷分布;(i) 为XPS谱图,验证石墨烯/SiC界面键合情况;(j) 四种不同样品的拉曼光谱; (k) 提取ID/IG强度比,用于定量评估石墨烯缺陷程度。
实验结果表明:用乙炔作为碳源在SiC表面生长石墨烯的的速率更快,但生长质量较差,容易形成垂直石墨烯。而以乙烯作为碳源,生长速率相比于乙炔来说较为缓慢,但生长质量明显更好。
作者简介
宋雨晴,北京石墨烯研究院新型石墨烯材料研究部部长、课题组长、研究员。中国科学技术大学理学博士,北京大学博士后。主要从事具有新结构、新特性的石墨烯/粉体及纤维复合材料制备技术研究,包括基于流化床化学气相沉积法的石墨烯复合粉体材料可控制备方法、规模化工艺与装备开发,以及石墨烯/粉体复合材料的物性研究。在Nat. Commun., Adv. Mater., Small, ACS Nano等期刊发表学术论文20篇,申请专利15项。主持国家自然科学基金青年基金、面上项目等。
孙晓莉,现任北京石墨烯研究院特聘研究员、北京市副研究员,石墨烯生长理论课题组组长。2019年获电子科技大学博士学位, 2019-2021年清华大学“水木学者”博士后。主要从事低维电极材料和电催化材料、石墨烯CVD生长过程的微观机理研究,以第一作者和通讯作者在Adv. Mater., Adv. Sci., Infomat, Carbon, Nano Research, Nanoscale等期刊发表论文20余篇,主持北京市科委项目1项。2017年获第一届ECS会议新加坡分场国际会议论文一等奖,2022年获北京石墨烯研究院成玮科技二等奖,2023年获北京石墨烯研究院孵烯科技奖二等奖。
文章信息
Jing Z, Wang W, Shi J, et al. Catalytic mechanism towards CVD-grown wafer-size graphene on 4H-SiC (0001) and (000-1) using dimer carbon sources. Nano Research, 2025, 18(8): 94907515. https://doi.org/10.26599/NR.2025.94907515.
本文来自NanoReasearch,本文观点不代表石墨烯网立场,转载请联系原作者。
