石墨烯作为一种具有优异电学、热学和力学性能的新型二维材料,近年来在电子、能源、生物医学等领域展现出巨大的应用潜力。氧化石墨烯 (GO) 作为石墨烯的合成前驱体,具有成本低、产量高、易于制备等优点,成为石墨烯研究的热点。然而,GO的还原过程对其导电性和迁移率等性能至关重要。传统的还原方法存在效率低、产率低、难以控制等问题。近年来,随着材料科学和器件物理的不断发展,新型GO还原方法不断涌现,其中基于焦耳加热的还原方法因其高效、可控等优点而备受关注。本文将介绍基于焦耳加热的GO还原方法的研究进展,并重点讨论其机理和应用。
论文概要
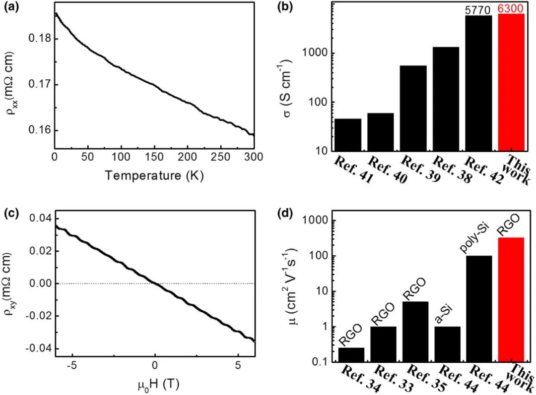
2018年,马里兰大学胡良兵教授团队报道了一种具有创纪录电导率和迁移率的还原氧化石墨烯(RGO)薄膜。通过在3000 K的高温下利用焦耳加热进行热还原,制得的RGO薄膜电导率达到了6300 Scm^-1,迁移率达到了320 cm^2 V^-1 s^-1。研究采用了两步还原和曲面RGO薄膜的方法克服了焦耳加热热还原过程中的挑战。随着还原温度的升高,含氧官能团逐渐被移除,导致载流子浓度降低,而迁移率和电导率则逐渐提高。此外,该RGO薄膜的石墨sp^2域尺寸达到8.7 nm,超过了之前的报道值。这种RGO薄膜的独特特性,包括缺陷/杂质较少和密集结构中的大石墨sp^2域,使其具有卓越的电导率和迁移率。该成果以“Reduced graphene oxide film with record-high conductivity and mobility”为题发表在Materials Today期刊上。
研究亮点
1. 创纪录的电学性能:通过 3000K 焦耳加热还原制备的还原氧化石墨烯 (RGO) 薄膜,实现了创纪录的导电率 (6300 S cm-1) 和迁移率 (320 cm2 V-1 s-1),超越了现有文献报道的所有 RGO 薄膜。
2. 高温还原的优势:高温还原有效地移除了 RGO 薄膜中的氧官能团,减少了缺陷和杂质,并增大了石墨烯 sp2 域的尺寸,从而显著提高了其电学性能。
图文概览

图 1:展示了 3000K 焦耳加热还原制备的 RGO 薄膜的结构特征。SEM 图像显示,RGO 薄膜由数千层堆叠的 RGO 片组成,片层在平面内随机取向,表面光滑连续。截面 SEM 图像揭示了 RGO 片层之间紧密堆积的层状结构,表明薄膜具有高致密性。此外,光学图像展示了 RGO 薄膜在 3000K 焦耳加热后的明亮白色,表明高温还原过程的成功进行。

图 2:研究了不同温度下 RGO 薄膜的电学性能。longitudinal resistivity (ρxx) 随温度升高而降低,表明其导电性随温度升高而增强。在室温下,RGO 薄膜的电阻率仅为 0.159 mΩ cm,对应导电率高达 6300 S cm-1,远超现有文献报道。Hall resistivity (ρxy) 与磁场强度呈线性关系,表明薄膜中主要载流子为空穴,且迁移率高达 320 cm2 V-1 s-1,同样刷新了现有记录。

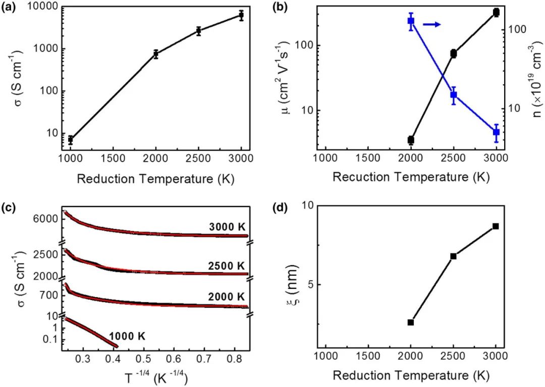
图 3:进一步探究了还原温度对 RGO 薄膜电学性能的影响。随着还原温度的升高,薄膜的导电率、迁移率和载流子浓度均显著增加。1000K 还原的 RGO 薄膜由于缺陷较多,其电荷传输主要受 VRH 机制控制,迁移率极低。而 2000K、2500K 和 3000K 还原的 RGO 薄膜则表现出明显的热激活和量子隧穿行为,迁移率随温度升高而增加。此外,通过分析 ρxx-T 曲线,计算得到不同温度下 RGO 薄膜的局域化长度,发现其随还原温度升高而增大,这与石墨烯 sp2 域尺寸的增大趋势一致。

图 4:利用多种表征手段研究了不同还原温度下 RGO 薄膜的结构和组成。SEM 图像显示,1000K 还原的 RGO 薄膜表面存在明显的皱纹,而 3000K 还原的 RGO 薄膜表面则非常光滑,这归因于高温还原过程中缺陷和杂质的去除,以及片层之间连接的改善。拉曼光谱、XPS 和 XRD 结果表明,随着还原温度的升高,RGO 薄膜中的氧含量显著降低,石墨烯 sp2 域的尺寸增大,结晶度提高,这些结构变化与薄膜电学性能的提升密切相关。
总结展望
总之,本研究报道了一种基于焦耳加热的高温还原方法,成功地制备了具有创纪录高导电率 (6300 S cm-1) 和迁移率 (320 cm2 V-1 s-1) 的 RGO 薄膜。研究结果表明,高温还原有效地移除了 RGO 薄膜中的氧官能团,减少了缺陷和杂质,并增大了石墨烯 sp2 域的尺寸,从而显著提高了其电学性能。此外,研究还深入分析了不同还原温度下 RGO 薄膜的电荷传输行为,揭示了石墨烯 sp2 域尺寸与局域化长度之间的关系。该研究为制备高性能 RGO 薄膜提供了新的思路和方法,有望推动其在柔性电子、光伏、储能等领域的应用。
文献信息
Yilin Wang, Yanan Chen, Steven D. Lacey, Lisha Xu, Hua Xie, Tian Li, Valencia A. Danner, Liangbing Hu. Reduced graphene oxide film with record-high conductivity and mobility. Materials Today, Volume 21, Issue 2, 2018, Pages 186-192, ISSN 1369-7021.
https://doi.org/10.1016/j.mattod.2017.10.008.
本文来自中科精研,本文观点不代表石墨烯网立场,转载请联系原作者。
