据麦姆斯咨询报道,近期,剑桥大学(University of Cambridge)研究团队开发出一种新型的高灵敏度葡萄糖传感器,该传感器由嵌入共面波导(CPW)结构中的石墨烯通道构成,并与微流控通道相耦合。这种创新设计将宽带微波传感和化学场效应晶体管(FET)传感功能集成在单个器件之中,实现了7.30 dB(mg/L)⁻¹的高灵敏度,超过目前已有报道的微波传感器。相关研究成果以“Highly Sensitive Glucose Sensors Based on Gated Graphene Microwave Waveguides”为题发表在Advanced Sensor Research期刊上。
这项研究提出了一种全新的方法,通过水溶液中葡萄糖分子与在石墨烯通道中传播的微波频率依赖性相互作用,以及物理吸附分子引起的石墨烯射频(RF)电导率变化的综合效应,来识别水溶液中的葡萄糖浓度。所设计的葡萄糖传感器由嵌入CPW结构中的石墨烯场效应晶体管通道组成,并在CPW上集成了微流控通道。这种方法使得单个器件能够同时实现宽带微波传感和化学场效应晶体管传感,并生成以散射参数形式呈现的信息丰富的多维数据集。

图1 (a)石墨烯微波传感器的制造步骤;(b)传感器及测量装置示意图;(c)PDMS封装前的代表性器件;(d)嵌入CPW中的石墨烯通道;(e)实验装置
该葡萄糖传感器无需进行功能化处理,由于其将化学场效应晶体管和微波传感器的功能集于一身,因此在浓度低至9 µg dL⁻¹时,其灵敏度可达7.30 dB(mg/L)⁻¹,其最大灵敏度在2.13 GHz时可达到。该特性使其能够轻松兼容无线通信技术中的传统电子元件和电路。该传感器生成的信息丰富的多维数据集,其(复杂的)散射参数取决于葡萄糖浓度和电化学栅极电压。为了全面分析这些复杂的数据集,研究团队使用多种机器学习(ML)模型对数据进行了分析,并在测试集中实现了100%的分类准确率。

图2 九种不同葡萄糖浓度下的射频导纳和直流电导率对比

图3 射频灵敏度

图4 实验数据可视化

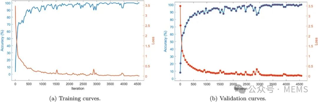
图5 人工神经网络(ANN)训练和验证的准确性和损失曲线

图6 卷积神经网络(CNN)训练和验证的准确性和损失曲线
研究团队表示,这项研究提出的传感和数据分析方法,未来可以扩展到更复杂的物质或多组分混合物的检测中,这些物质的数据将更加丰富,并表现出更高的维度和非线性特征。此外,研究团队指出,该研究提出的葡萄糖传感器和测量装置有望进一步小型化,从而集成在单个芯片上。这种小型化潜力已经在一些系统中得到了验证,例如已有报道的集成多截面定向耦合器和矢量网络分析仪(VNA)的芯片系统。未来,通过将该传感器与市售VNA芯片相结合,也将实现更高的集成度和小型化。
论文信息:https://doi.org/10.1002/adsr.202400091
本文来自MEMS,本文观点不代表石墨烯网立场,转载请联系原作者。
