研究背景
在当今的材料科学领域,扭曲范德华(vdW)异质结构因其独特的、可调谐的电子性质而备受关注。这些结构形成的莫尔超晶格为诱导和控制各种物理现象提供了理想的平台,如磁性状态、铁电性和非常规超导性等。其中,许多现象的关键成分是自旋-轨道耦合(SOC)。石墨烯作为典型的 vdW 材料,其 SOC 较弱,导致自旋扩散长度较长,但对自旋相关现象的控制有限,这阻碍了其作为自旋操纵平台的潜力。有趣的是,通过功能化石墨烯可以增强 SOC。例如,当石墨烯与过渡金属二卤化物(TMD)接近时,TMD 的强 SOC 会在石墨烯中引入谷 – 塞曼(λVZ)和拉什巴(λR)SOC,分别诱导出平面外和平面内的自旋纹理。理论预测,通过改变石墨烯和 TMD 之间的扭曲角,可以调节 SOC(包括λVZ和λR)。在某些扭曲角下,平面内镜像对称性的破坏会诱导出一种新颖的自旋纹理,导致非常规的自旋 – 电荷相互转换(SCI)。在传统的拉什巴系统中,平面内镜像对称性将电子的自旋锁定在与其动量正交的方向,这是拉什巴 – 埃德尔斯坦效应(REE)的常见配置。如果这种镜像对称性被打破,自旋纹理将获得一个径向分量,由拉什巴角ψ量化,这将导致非常规拉什巴 – 埃德尔斯坦效应(UREE)的出现,其具有共线的自旋 – 动量锁定。虽然 SCI 可以作为研究莫尔异质结构中扭曲角依赖的自旋纹理的重要指标,但尚未有相关的实验观察报道。
成果简介
在这项研究中,来自西班牙、中国、捷克等国的科学家合作,通过制备具有可控扭曲角的 WSe₂/石墨烯 vdW 异质结构,首次实验验证了自旋纹理可以通过扭曲角进行调制。他们使用光学二次谐波产生(SHG)和拉曼光谱准确测量了扭曲角。具体来说,通过将来自同一单晶的两个 WSe₂薄片剥离到聚二甲基硅氧烷(PDMS)薄膜上,然后分两步干压到单层石墨烯薄片上。在第一步中,压印一个 WSe₂薄片;在第二步中,将基板旋转约 30°,然后压印第二个 WSe₂薄片。随后,将这两个具有约 30°扭曲角差异的 WSe₂/石墨烯异质结构图案化为两个单独的霍尔十字,并与几个非磁性和铁磁性(FM)电极接触,形成两个横向自旋阀器件。通过非局部自旋进动实验测量 SCI,研究人员在异质结构中检测到了 REE 和 UREE。在不同扭曲角的器件中,他们观察到了自旋纹理的变化。例如,在设备 1 中观察到了由 UREE 引起的对称分量,而在设备 2 中没有观察到。这表明不同扭曲角的两个器件具有不同的平面内自旋纹理。进一步的实验表明,通过改变扭曲角可以切换 UREE 的开和关,并且当电荷载流子从空穴切换到电子时也能观察到这一现象。此外,研究人员还发现 UREE 信号的符号可以通过调整扭曲角来改变,这表明自旋纹理的径向分量在不同扭曲角下会发生反转,而正交分量则不会随扭曲角改变。通过计算拉什巴角ψ(ψ = arctan(ΔR⁽⁵⁾⁽⁵⁾/ΔR⁽⁵⁾⁽⁽⁾)),研究人员量化了自旋纹理的螺旋度与扭曲角的函数关系。结果显示,WSe₂/石墨烯异质结构在平面内具有 60°周期的旋转对称性,平面内镜像对称轴在 30°扭曲角。实验结果与密度泛函理论预测基本一致,但ψ的估计值约为预测的三倍。
图文导读

图1 展示了器件的概述和通过 SHG 确定莫尔图案的过程。图 a – e 详细说明了扭曲 WSe₂/石墨烯横向自旋阀器件的制备过程,包括将 WSe₂薄片剥离到 PDMS 上,然后将其压印到石墨烯薄片上,最后图案化为霍尔棒并与电极接触。图 f 是器件 1 和器件 2 的光学图像。图 g 展示了两个 WSe₂薄片的光学 SHG 结果作为光偏振方向β的函数,通过此图可以确定薄片的晶体取向。图 h 和图 i 分别是器件 1 和器件 2 的莫尔图案示意图,以及对应的扭曲角φ1 = 36.7 ± 1.0°和φ2 = 7.0 ± 1.0°。

图2 展示了在不同扭曲角下 REE 和 UREE 的平面内非局部自旋进动测量结果。图 a 和图 b 分别是器件 1 和器件 2 的莫尔图案和平面内自旋纹理的示意图,蓝色和红色箭头分别代表切向和径向自旋。图 c 和图 d 是非局部自旋电阻作为 Bz 的函数的测量结果,展示了器件 1 和器件 2 在不同磁化方向下的自旋电阻变化。图 e – h 分别是从图 c 和图 d 中提取的净反对称和对称Hanle进动信号,通过这些信号可以确定 REE 和 UREE 的存在以及它们的幅度。

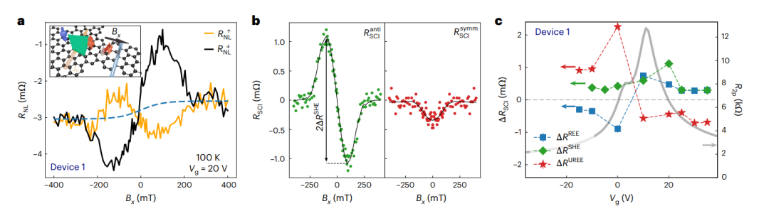
图3 展示了平面外非局部自旋进动和 SCI 的栅极依赖性。图 a 是非局部电阻作为 Bx 的函数的测量结果,展示了在不同磁化方向下的电阻变化,同时也表明了 REE 引起的 SCI 贡献。图 b 是从图 a 中提取的净反对称/对称 Hanle 进动信号,通过这些信号可以确定 SHE 和 UREE 的存在以及它们的幅度。图 c 展示了作为背栅电压函数的近邻化石墨烯的两点电阻,以及不同自旋分量的 SCI 幅度随栅极电压的变化。

图4 展示了自旋纹理的螺旋度在不同扭曲角下的变化。图 a 和图 b 是 WSe₂/石墨烯异质结构的示意图,展示了在相同 REE 符号但相反 UREE 符号下的器件 1 和器件 3。图 c 和图 d 是非局部电阻作为 Bx 的函数的测量结果,展示了在不同磁化方向下的电阻变化,以及 S 形基线的极性,表明了 REE 符号的一致性。图 e 和图 f 是非局部电阻作为 By 的函数的测量结果,展示了 UREE 信号的极性变化。图 g 和图 h 是相应的自旋纹理示意图,展示了自旋纹理的螺旋度在不同扭曲角下的变化。

图5 展示了拉什巴角随扭曲角的变化。通过计算拉什巴角ψ并将其作为扭曲角的函数进行绘图,结果显示 WSe₂/石墨烯异质结构在平面内具有 60°周期的旋转对称性,实验结果与密度泛函理论预测基本一致,但ψ的估计值与预测值存在差异。
小结
这项研究通过实验证明了通过改变 WSe₂和石墨烯层之间的扭曲角可以调节自旋纹理。扭曲角的调整改变了异质结构的 SOC,从而导致自旋纹理的变化,这在 SCI 中得以体现。自旋进动实验证实了来自径向自旋纹理的 UREE 的可切换性,并且该径向自旋纹理甚至可以通过轻微改变扭曲角来改变螺旋度。此外,扭曲角诱导的 UREE 在室温下仍然存在。这一结果突出了通过扭曲角调节自旋纹理的能力,建立了自旋电子学和扭曲电子学之间的联系。进一步探索扭曲角对 SOC 的作用,有望深入了解自旋电子学和莫尔异质结构之间的相互作用,最终为开发具有可调扭曲角的新型自旋电子器件铺平道路。未来的研究可以进一步探究垂直电场对自旋纹理的影响,以及通过双栅极扭曲异质结构来实现更复杂和理想的自旋纹理的工程设计。此外,还可以利用自旋分辨角分辨光电子能谱或其他自旋散射研究,如中子散射,来更深入地研究扭曲近邻化异质结构中的自旋纹理。总之,这项研究为自旋电子学和莫尔异质结构领域的发展带来了新的机遇,为基础研究和实际应用提供了有价值的见解。
文献
Yang, H., Martín-García, B., Kimák, J. et al. Twist-angle-tunable spin texture in WSe2/graphene van der Waals heterostructures. Nat. Mater. (2024).
https://doi.org/10.1038/s41563-024-01985-y
https://www.nature.com/articles/s41563-024-01985-y
本文译自Nature。
本文来自材料研究前沿,本文观点不代表石墨烯网立场,转载请联系原作者。
