研究背景
随着信息技术的飞速发展,电子设备对性能的要求越来越高,尤其是在高速电子领域,对于能够处理高频信号的电子器件的需求日益增长。石墨烯,作为一种具有卓越电子迁移率的二维材料,因其在高速电子学中的潜在应用而备受关注。然而,石墨烯的一个主要缺陷是它缺乏能带隙,这使得石墨烯场效应晶体管(Graphene Field-Effect Transistors, GFETs)难以实现高开关比,限制了其在某些领域的应用。为了解决这一问题,研究人员探索了多种方法来引入传输隙,例如通过纳米带和应变等手段。但这些方法往往会严重降低石墨烯的迁移率,从而削弱了其最大的优势。因此,如何在不损害石墨烯高迁移率的前提下,有效地控制载流子流动,成为了一个关键的科学问题。
成果简介
在这项研究中,研究团队提出了一种创新的方法,利用机器学习技术来优化石墨烯场效应晶体管的射频性能。通过深度神经网络(Deep Neural Networks, DNNs)来管理载流子的伪光学轨迹,并发现优化的几何结构。这种方法类似于弹球游戏,通过多个预定的反射来控制钢球的轨迹。研究中,神经网络经过训练,能够设计出具有目标性能的石墨烯场效应晶体管,特别是射频特性。使用这种方法,研究团队成功地将机器设计的晶体管的最大振荡频率(fmax)提高到了59.6 GHz,这是传统石墨烯场效应晶体管的大约20倍。这一成果不仅展示了机器学习在物理系统设计中的潜力,也为石墨烯电子器件的发展开辟了新的道路。
图文导读

图1 DNN支持的伪光学GFET的设计概念,以及如何通过控制栅极形状来操纵Dirac粒子的轨迹,类似于弹球游戏。

图2 在n-p-n结中高斯电子波包的动力学,包括Klein隧穿现象和在p-n结处的负折射现象。

图3 锯齿形栅极的配置和栅极区域中载流子密度对电阻特性的影响。

图4 前向、后向和串联DNN的结构,以及它们在解决收敛问题中的作用。

图5 提供了通过完全随机方法和二维随机游走算法生成的随机栅极形状的例子。

图6 逆向设计的传输概率结果,以及训练数据集的传输偏差直方图。

图7 DNN设计的栅极形状和GFET中线电子波包的动力学。

图8 不同设计参数对电子传输抑制的影响。

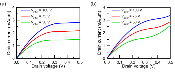
图9 展示了DNN设计的GFET和传统GFET的电流-电压特性。
小结
这项研究成功地展示了如何利用深度神经网络来设计高性能的石墨烯射频场效应晶体管。通过结合石墨烯的伪光学特性和机器学习技术,研究团队不仅在保持电子迁移率的同时成功地引入了传输隙,而且还显著提高了射频性能和漏极电流饱和度。这一方法不仅适用于射频GFET设计,还可以扩展到各种设计目标,包括逻辑器件和非线性器件。此外,通过训练DNN来优化开关比,该方法还可用于设计改进的开关GFET。这项工作为利用机器学习和石墨烯的独特属性来高效设计和优化基于石墨烯的器件提供了一个有希望的途径。随着制造技术的进步,结合DNN设计的GFET有潜力在更高的频率下工作,这为未来高速电子设备的发展提供了新的可能性。
文献:https://doi.org/10.1021/acsaelm.4c00236
Enhancing Radio Frequency Performance of Graphene Field-Effect Transistors through Machine-Learning-Based Physical Prediction and Optimization
本文来自材料研究前沿,本文观点不代表石墨烯网立场,转载请联系原作者。
