全文概述
量子电动力学(由量子力学和相对论合并而成)提供了对从粒子物理学到宇宙学、从天体物理学到量子化学等各种现象的清晰理解。量子电动力学的基本思想也影响凝聚态理论,但在已知的实验系统中,量子相对论效应通常是微小的,可以用非相对论的Schrödinger方程来精确描述。来自University of Manchester的K. S. Novoselov教授和A. K. Geim教授报告了一项凝聚态系统(石墨烯,碳的单原子层)的实验研究,其中电子传输基本上由Dirac方程(相对论)控制。石墨烯中的电荷载流子模拟静止质量为零的相对论粒子,有效“光速”c* ≈ 106 m s-1。他们的研究揭示了二维Dirac费米子特有的各种不寻常的现象。他们观察到以下特别的情况:首先,即使电荷载流子的浓度趋于零,石墨烯的电导率也不会低于对应于电导量子单位的最小值;第二,石墨烯中的整数量子Hall效应是反常的,因为它发生在半整数填充因子下;第三,石墨烯中无质量载流子的回旋质量mc用E = mcc*2描述。这个二维系统不仅本身有趣,而且允许在台式实验中接触量子电动力学的微妙和丰富的物理学。相关内容于2005年以Two-dimensional gas of massless Dirac fermions in graphene为题发表在Nature (IF=64.8)上。
图文解析
石墨烯是碳原子的单层,填充成致密的蜂窝晶体结构,可以被视为从石墨中提取的单个原子平面,展开的单壁碳纳米管或巨大的扁平富勒烯分子。这种物质以前没有被实验研究过,直到最近,人们还认为它不存在于自由状态。为了获得石墨烯样品,作者使用了石墨的微机械剥离法,然后通过使用光学显微镜、扫描电子显微镜和原子力显微镜的组合来识别和选择单层。通过遵循标准微制造程序,将所选石墨烯膜进一步加工成如图1所示的多端器件。尽管只有一个原子厚且不受环境保护,但石墨烯器件在环境条件下仍能保持稳定,并表现出电荷载流子的高迁移率。在这里,作者重点介绍了“理想”(单层)石墨烯的物理学,它具有不同的电子结构,并表现出与超薄石墨膜(最近研究了其材料特性的半金属)甚至仅由两层石墨烯组成的其他器件(见下文)的特性有质的不同。

Figure 1:Electric field effect in graphene.
图1:石墨烯中的电场效应。
a, Scanning electron microscope image of one of our experimental devices (the width of the central wire is 0.2 µm). False colours are chosen to match real colours as seen in an optical microscope for large areas of the same material. b, c, Changes in graphene’s conductivity σ (b) and Hall coefficient RH (c) as a function of gate voltage Vg. σ and RH were measured in magnetic fields B of 0 and 2 T, respectively. The induced carrier concentrations n are described in ref. 7; n/Vg = ɛ0ɛ/te, where ɛ0 and ɛ are the permittivities of free space and SiO2, respectively, and t ≈ 300 nm is the thickness of SiO2 on top of the Si wafer used as a substrate. RH = 1/ne is inverted to emphasize the linear dependence n∝Vg. 1/RH diverges at small n because the Hall effect changes its sign at about Vg = 0, indicating a transition between electrons and holes. Note that the transition region (RH ≈ 0) was often shifted from zero Vg as a result of chemical doping7, but annealing of our devices in vacuum normally allowed us to eliminate the shift. The extrapolation of the linear slopes σ(Vg) for electrons and holes results in their intersection at a value of σ indistinguishable from zero. d, Maximum values of resistivity ρ = 1/σ (circles) exhibited by devices with different mobilities µ (left y axis). The histogram (orange background) shows the number P of devices exhibiting ρmax within 10% intervals around the average value of ∼h/4e2. Several of the devices shown were made from two or three layers of graphene, indicating that the quantized minimum conductivity is a robust effect and does not require ‘ideal’ graphene.
a,实验装置的扫描电子显微镜图像(中心线的宽度为0.2 µm)。选择伪彩来匹配在光学显微镜中看到的大面积相同材料的真实颜色。b,c,石墨烯的电导率σ(b)和Hall系数RH(c)与栅极电压Vg的函数的变化。σ和RH分别在0和2 T的磁场B中测量。诱导载流子浓度n在参考文献7中描述;n/Vg = ɛ0ɛ/te,其中ɛ0和ɛ分别是自由空间的介电常数和SiO2的介电常数,t ≈ 300 nm是用作衬底的Si晶片顶部SiO2的厚度。RH = 1/ne被反转以强调线性相关性n∝Vg。1/RH在小n处发散,因为Hall效应在大约Vg = 0时改变其符号,表明电子和空穴之间的跃迁。请注意,由于化学掺杂,过渡区(RH ≈ 0)经常从零Vg偏移,但作者的器件在真空中退火后,通常能够消除这种偏移。电子和空穴的线性斜率σ(Vg)的外推导致它们的交点在与零不可区分的σ值处。d,具有不同迁移率 µ(左y轴)的器件所显示的电阻率ρ=1/σ(圆圈)的最大值。直方图(橙色背景)显示了在平均值 ∼h/4e2附近10%间隔内出现ρmax的器件数量P。所示的几个器件由两层或三层石墨烯制成,表明量子化的最小电导率是一种强大的效应,不需要“理想”的石墨烯。
图1显示了石墨烯中的电场效应。对于两个极性,它的电导率σ随着栅极电压Vg的增加而线性增加,Hall效应在Vg ≈ 0时改变其符号。这种行为表明,正(负)栅极电压诱导了大量浓度的电子(空穴)。远离过渡区Vg ≈ 0,Hall系数RH = 1/ne变化为1/ Vg,其中n是电子或空穴的浓度,e是电子电荷。线性依赖关系1/RH∝Vg产生n = αVg, α ≈ 7.3 × 1010 cm-2 V-1,与场效应引起的表面电荷密度的理论估计n/Vg ≈ 7.2 × 1010 cm-2 V-1一致(见图1的标题)。该一致性表明所有诱导载流子都是可移动的,并且石墨烯中没有俘获电荷。根据线性相关性σ(Vg),作者发现载流子迁移率 µ = σ/ne(电子和空穴均达到15,000 cm2 V-1 s-1)与10至100 K之间的温度T无关,可能仍受母体石墨缺陷的限制。
为了进一步表征石墨烯,他们研究了Shubnikov-de Haas振荡(SdHOs)。图2显示了不同磁场B、栅极电压和温度下这些振荡的例子。与超薄石墨不同,石墨烯对电子和空穴都只有一组SdHO。通过使用标准扇图,作者确定了各种Vg的基本SdHO频率BF。在图3a中绘制了BF对n的结果依赖性。两种载流子表现出相同的线性相关性BF = βn,β ≈ 1.04 × 10-15 T m2 (± 2%)。理论上,对于任何二维(2D)系统,β仅由其简并度f定义,因此BF = φ0n/f,其中φ0 = 4.14 × 10-15 T m2是通量量子。与实验的比较产生f = 4,与石墨烯预期的双自旋和双谷简并一致(见图2的标题)。然而,请注意石墨烯中SdHO的一个异常特征,即它们的相。与传统金属相比,石墨烯的纵向电阻ρxx(B)在Landau填充因子ν的整数值下呈现最大值而不是最小值(图2a)。图3b通过比较石墨烯和薄石墨膜中的SdHO相强调了这一事实。“奇数”相的起源解释如下。

Figure 2:Quantum oscillations in graphene.
图2:石墨烯中的量子振荡。
SdHO at constant gate voltageVg = -60 V as a function of magnetic field B (a) and at constant B = 12 T as a function of Vg (b). Because µ does not change greatly with Vg, the measurements at constant B (at a constant ωcτ = µB) were found more informative. In b, SdHOs in graphene are more sensitive to T at high carrier concentrations: blue, T = 20 K; green, T = 80 K; red, T = 140 K. The Δσxx curves were obtained by subtracting a smooth (nearly linear) increase in σ with increasing Vg and are shifted for clarity. SdHO periodicity ΔVg at constant B is determined by the density of states at each Landau level (αΔVg = fB/φ0), which for the observed periodicity of ∼15.8 V at B = 12 T yields a quadruple degeneracy. Arrows in a indicate integer ν (for example, ν = 4 corresponds to 10.9 T) as found from SdHO frequency BF ≈ 43.5 T. Note the absence of any significant contribution of universal conductance fluctuations (see also Fig. 1) and weak localization magnetoresistance, which are normally intrinsic for 2D materials with so high resistivity.
作为磁场B的函数的恒定栅极电压Vg = -60 V(a)和作为Vg的函数的恒定B = 12 T的SdHO(b)。因为µ不会随Vg发生很大变化,所以在常数B(在常数ωcτ = µB)下的测量结果信息更丰富。在b中,石墨烯中的SdHOs在高载流子浓度下对T更敏感:蓝色,T=20 K;绿色,T=80 K;红色,T=140 K。Δσxx 曲线是通过减去σ随Vg增加的平滑(几乎线性)增加而获得的,为清晰起见,对其进行了移位。常数B下的SdHO周期ΔVg由每个Landau能级的态密度决定(αΔVg = fB/φ0),对于观察到的周期为∼15.8 V,B = 12 T时产生四重简并。a中的箭头表示从SdHO频率BF ≈ 43.5 T得出的整数ν(例如,ν = 4对应于10.9 T)。注意,普遍电导波动(也见图1)和弱局域磁阻没有任何显著贡献,这通常是具有如此高电阻率的2D材料所固有的。

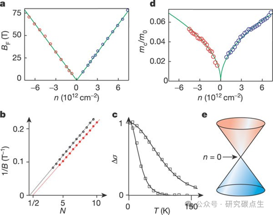
Figure 3:Dirac fermions of graphene.
图3:石墨烯的Dirac费米子。
a, Dependence of BF on carrier concentration n (positive n corresponds to electrons; negative to holes). b, Examples of fan diagrams used in our analysis7 to find BF. N is the number associated with different minima of oscillations. The lower and upper curves are for graphene (sample of Fig. 2a) and a 5-nm-thick film of graphite with a similar value of BF, respectively. Note that the curves extrapolate to different origins, namely to N = 1/2 and N = 0. In graphene, curves for all n extrapolate to N = 1/2 (compare ref. 7). This indicates a phase shift of π with respect to the conventional Landau quantization in metals. The shift is due to Berry’s phase14,20. c, Examples of the behaviour of SdHO amplitude Δσ (symbols) as a function of T for mc ≈ 0.069 and 0.023m0 (see the dependences showing the rapid and slower decay with increasing T, respectively); solid curves are best fits. d, Cyclotron mass mc of electrons and holes as a function of their concentration. Symbols are experimental data, solid curves the best fit to theory. e, Electronic spectrum of graphene, as inferred experimentally and in agreement with theory. This is the spectrum of a zero-gap 2D semiconductor that describes massless Dirac fermions with c* 1/300 the speed of light.
a,BF对载流子浓度n的依赖性(正n对应电子;负对应空穴)。b,在作者的分析中用来寻找BF的扇图的例子。N是与不同振荡最小值相关的数。下曲线和上曲线分别用于石墨烯(图2a的样品)和具有类似BF值的5 nm厚的石墨膜。请注意,曲线外推至不同的原点,即N = 1/2和N=0。在石墨烯中,所有n的曲线外推至N = 1/2。这表明π相对于金属中的常规Landau量子化有相移。这种转变是由于Berry的相位。c,对于mc ≈ 0.069和0.023m0,SdHO振幅Δσ(符号)作为T的函数的行为的例子(参见分别显示随T增加的快速和较慢衰减的依赖关系);实心曲线最匹配。d,电子和空穴的回旋质量mc作为其浓度的函数。符号是实验数据,实心曲线最符合理论。e,石墨烯的电子光谱,由实验推断,与理论一致。这是一个零能隙2D半导体的光谱,描述了c* 1/300光速的无质量Dirac费米子。
石墨烯中2D输运的另一个不寻常的特征清楚地揭示了SdHO对T的依赖性(图2b)。事实上,随着T的增加,高Vg (高n)下的振荡衰减得更快。可以看到,最后一次振荡(Vg ≈ 100 V)在80 K时几乎看不见,而第一次振荡(Vg < 10 V)在140 K时明显存在,即使在室温下也保持显著。为了量化这种行为,他们测量了不同栅极电压和磁场下SdHO振幅的T依赖性。结果可以通过标准表达式T/sinh(2π2kBTmc/ℏeB)精确拟合(图3c),其产生的mc在0.02和0.07m0之间变化(m0是自由电子质量)。mc的变化可以用平方根相关性mc∝n1/2很好地描述(图3d)。
为了解释观察到的mc的行为,他们参考半经典表达式BF = (ℏ/2πe)S(E)和mc = (ℏ2/2π)∂S(E)/∂E,其中S(E) = πk2是在Fermi能量E(k)下轨道在k空间中的面积(参考文献13)。如果将这些表达式与实验发现的依赖关系mc∝n1/2和BF = (h/4e)n相结合,就可以直接表明S必须与E2成比例,从而产生 E∝k。因此,图3中的数据明确地证明了在 E = 0处具有共同原点的电子和空穴的线性色散 E = ℏ kc*(参考文献11、12)。此外,上述方程还暗示了mc = E/c*2 = (h2n/4πc*2)1/2 ,并且与他们的数据的最佳拟合产生 c* ≈ 106 m s-1,与能带结构计算一致。所采用的半经典模型被最近的石墨烯理论完全证明,该理论表明SdHO的振幅确实可以用上面的表达式T/sinh(2π2kBTmc/ℏeB)描述,其中mc = E/c*2。因此,即使石墨烯中费米子的线性光谱(图3e)暗示零静止质量,它们的回旋加速器质量也不为零。
无质量费米子对磁场的不寻常响应通过它们在高场极限中的行为进一步突出,在高场极限下,SdHOs演化为量子Hall效应(QHE)。图4显示了石墨烯的Hall电导率σxy,绘制为常数B中电子和空穴浓度的函数。明显的QHE平台是可见的,但它们不会以预期的顺序σxy = (4e2/h)N出现,其中N是整数。相反,平台对应于半整数ν,因此第一个平台出现在2e2/h,序列为(4e2/h)(N + 1/2)。石墨烯中从最低空穴(ν = -1/2)到最低电子(ν = +1/2) Landau能级(Landau level: LL)的跃迁需要相同数量的载流子(Δn = 4B/φ0 ≈ 1.2 × 1012 cm-2),与其他最近能级之间的跃迁相同(比较ρxx中最小值之间的距离)。这导致 σxy 中等距台阶的阶梯在通过零点时不会中断。为了强调这种极不寻常的行为,图4还示出了仅由两个石墨烯层组成的石墨膜的σxy ,其中平台序列恢复正常,并且第一平台为4e2/h,如在常规QHE中。他们将石墨烯与其双层对应物之间的这种定性转变归因于这样一个事实,即后者中的费米子表现出接近n ≈ 0的有限质量,并且不再可以被描述为无质量的Dirac粒子。

Figure 4:QHE for massless Dirac fermions.
图4:无质量Dirac费米子的QHE。
Hall conductivityσxy and longitudinal resistivity ρxx of graphene as a function of their concentration at B = 14 T and T = 4 K. σxy ≡ (4e2/h)ν is calculated from the measured dependences of ρxy(Vg) and ρxx(Vg) as σxy = ρxy/(ρxy2 + ρxx2). The behaviour of 1/ρxy is similar but exhibits a discontinuity at Vg ≈ 0, which is avoided by plotting σxy. Inset: σxy in ‘two-layer graphene’ where the quantization sequence is normal and occurs at integer ν. The latter shows that the half-integer QHE is exclusive to ‘ideal’ graphene.
在B = 14 T和T = 4 K时,石墨烯的Hall电导率σxy和纵向电阻率ρxx 与其浓度的函数关系。 σxy ≡ (4e2/h)ν是根据测得的ρxy(Vg)和ρxx(Vg)的相关性计算出来的,为 σxy = ρxy/(ρxy2 + ρxx2)。1/ρxy 的行为类似,但在Vg ≈ 0处表现出不连续性,这可以通过绘制σxy来避免。插图:“双层石墨烯”中的σxy,其中量子化序列是正常的,出现在整数ν。后者表明半整数QHE是“理想”石墨烯所独有的。
受他们在薄石墨薄膜上的工作的启发,石墨烯中的半整数QHE最近由两个理论小组提出,但不知道目前的实验。这种效应是单粒子的,与无质量Dirac费米子的微妙性质密切相关,特别是与零能量下类电子和类空穴Landau态的存在密切相关。后者可以被视为Atiyah-Singer指数定理的直接结果,该定理在量子场论和超弦理论中很重要。对于2D无质量Dirac费米子,该定理通过将具有相反手性的Landau态的数量差异与通过系统的总通量(磁场可以是不均匀的)联系起来,保证了E = 0时Landau态的存在。
为了定性地解释半整数QHE,他们调用量子化场中无质量相对论费米子能量的形式表达式,EN = [2eℏc2B(N+1/2 ± 1/2)]1/2。在量子电动力学中,符号(±)描述了两个自旋,而在石墨烯中,它指的是“伪自旋”。后者与真正的自旋无关,而是“内置”在石墨烯的类Dirac光谱中;它们的起源可以追溯到两个碳亚晶格的存在。上面的公式表明,最低的LL(N = 0)出现在E = 0(与指数定理一致),并且容纳只有一个(负)赝自旋投影的费米子。所有其他N ≥ 1的能级都被具有两个(±)赝自旋的费米子占据。这意味着对于N = 0,简并度是任何其他N的一半。或者,可以说所有LL都具有相同的“复合”简并度,但零能LL由电子和空穴平均共享。结果,第一个Hall平台出现在正常填充量的一半,奇怪的是,两个ν = -1/2和+1/2对应于同一个LL(N = 0)。所有其他能级都具有正常简并度4B/φ0 ,因此保持与标准序列相同的1/2偏移。这解释了QHE在ν = N + 1/2处,同时也解释了SdHO的“奇数”相位(ρxx 中的极小值对应于ρxy中的平台,因此出现在半整数ν处;见图2和图4),与理论一致。然而,请注意,从另一个角度来看,相移可以被视为Dirac费米子在磁场中运动获得的Berry相位的直接表现。
最后,回到零场行为,并讨论与石墨烯的相对论性光谱相关的另一个特征。光谱暗示在Dirac点E = 0附近两种载流子的浓度消失(图3e),这表明零能隙半导体的低T电阻率应该在Vg ≈ 0发散。然而,他们的设备都没有表现出这样的行为。相反,在空穴和电子之间的过渡区,石墨烯的电导率永远不会低于一个明确定义的值,实际上与4 K和100 K之间的T无关。图1c绘制了在零B下在15种不同器件中发现的最大电阻率ρmax值,在~15%的实验误差范围内,所有器件都表现出ρmax ≈ 6.5 kΩ,与它们的迁移率无关,迁移率变化10倍。给定四重简并f,很明显ρmax与h/fe2 = 6.45 kΩ相关联,其中h/e2是电阻量子。作者强调,石墨烯中量子化的是电阻率(或电导率)而不是电阻(或电导)(即,电阻R以通常的方式测量,随着器件长度L和宽度w的变化,实验测量为R = ρL/w)。因此,这种效应与以前在量子输运实验中观察到的电导量子化完全不同。
无论多么令人惊讶,最小电导率是由Dirac方程描述的电子系统的固有属性。这是因为在无序存在的情况下,这种系统中的局域化效应被强烈抑制,并且仅在指数大的长度尺度下出现。假设没有局域化,观察到的最小电导率可以通过援引Mott的论点定性地解释,即金属中电荷载流子的平均自由程l永远不会短于它们的波长λF。然后,σ = neµ 可以改写为σ = (e2/h)kFl,因此对于每种类型的载流子,σ不能小于∼e2/h。众所周知,这一论点对于具有抛物线谱的2D系统是失败的,在抛物线谱中,无序导致局域化并最终导致绝缘行为。对于2D Dirac费米子,没有局域化是预期的,因此,Mott的论点可以使用。虽然有广泛的理论共识认为Dirac费米子的2D气体应该表现出大约e2/h的最小电导率,但这种量子化并不准确,大多数理论建议的值为∼e2/πh,与实验不一致。
因此,石墨烯表现出与Dirac方程描述的2D粒子气体不同的电子特性,而不是Schrödinger方程。这项工作显示了在凝聚态实验中研究量子场论现象的可能性。
本文来自研究碳点生,本文观点不代表石墨烯网立场,转载请联系原作者。
