研究背景
在当今信息技术飞速发展的时代,电子器件的小型化、低能耗和高效率是科研人员不断追求的目标。自旋电子学(Spintronics)作为一门新兴的交叉学科,因其在信息存储、逻辑运算和传感等领域的巨大应用潜力而备受关注。自旋电子学的核心在于电子的自旋属性,而非传统的电荷属性,这为电子器件的设计和功能实现提供了全新的视角。石墨烯,作为一种具有独特电子结构的二维材料,自其被发现以来就因其出色的电学性质而成为研究的热点。石墨烯的电子在低能下表现出无质量狄拉克费米子的特性,这使得它在电子器件中具有潜在的应用优势。然而,石墨烯本身并不具备磁性,这限制了它在自旋电子学领域的应用。为了克服这一局限,研究者们探索了通过与磁性材料接触来诱导石墨烯的自旋极化,即所谓的磁近邻效应(Magnetic Proximity Effect, MPE)。磁近邻效应是指当非磁性材料与磁性材料接触时,非磁性材料会因受到磁性材料的影响而表现出磁性的现象。在石墨烯中,通过与磁性材料接触,可以诱导出电子的自旋极化,从而为石墨烯在自旋电子学中的应用铺平了道路。然而,如何有效地控制这种自旋极化,尤其是在没有外部磁场的情况下,一直是该领域的一个重要挑战。
成果简介
在一项具有里程碑意义的研究中,Boxuan Yang及其团队在自旋电子学领域取得了突破性的进展。他们通过将石墨烯与一种新型的范德瓦尔斯反铁磁材料CrSBr相结合,成功地在石墨烯中诱导出了自旋极化,并且这种自旋极化可以通过电场调控。这一成果不仅在学术上具有划时代的意义,也为未来的电子器件设计和应用提供了全新的方向。石墨烯作为一种单层碳原子构成的二维材料,以其独特的电子性质和优异的机械性能而闻名。然而,由于石墨烯本身不具有磁性,这限制了其在自旋电子学中的应用。为了解决这一问题,研究者们探索了利用磁近邻效应来诱导石墨烯的自旋极化。在这项研究中,Yang等人通过将石墨烯与CrSBr这种反铁磁材料接触,观察到了石墨烯中自旋极化的出现,并且这种自旋极化可以通过改变费米能级来实现电场调控。研究团队利用高场磁输运测量技术,精确地提取了石墨烯中的交换能移,并发现这一能移在27到32毫电子伏之间。这一交换能移导致了石墨烯中电子和空穴载流子的自旋极化,且自旋极化的程度可以在-50%到+69%的范围内调节。这一结果表明,通过适当的电场调控,可以实现石墨烯中自旋极化的完全反转,这对于自旋电子学器件的设计具有重要的意义。此外,研究还展示了在高磁场下,石墨烯中出现了非传统的量子霍尔效应,这一现象可以归因于自旋极化的边缘通道的存在。这些边缘通道的形成是由于交换能移改变了石墨烯的能带结构,导致了电子和空穴的自旋极化。通过自洽模型的计算,研究团队能够准确地从实验数据中提取出交换能移的大小,并且验证了自旋极化随门极电压变化的规律。这项研究的成果不仅证明了石墨烯可以作为自旋电子学器件中的活性组件,而且展示了通过电场调控自旋极化的可能性。这为开发新型的自旋电子器件,如自旋阀和自旋过滤器,提供了新的途径。通过电场调控自旋极化,可以实现对电子器件中信息存储和逻辑运算的更高效控制,这对于推动信息技术的发展具有重要的意义。总之,这项研究在自旋电子学领域取得了重要的突破,为石墨烯在电子器件中的应用开辟了新的道路。通过电场调控石墨烯中的自旋极化,不仅可以实现对电子器件性能的优化,而且为未来的电子器件设计提供了新的思路和方法。随着研究的深入,我们有理由相信,石墨烯将在未来的电子器件中发挥更加重要的作用,为信息技术的发展做出更大的贡献。
图文导读

图1 实验中使用的器件结构,其中石墨烯被转移到硅基底上,并在其上沉积了CrSBr薄片。器件的霍尔条形状设计允许在不同的电学独立区域进行磁输运测量,以验证磁近邻效应的可重复性。

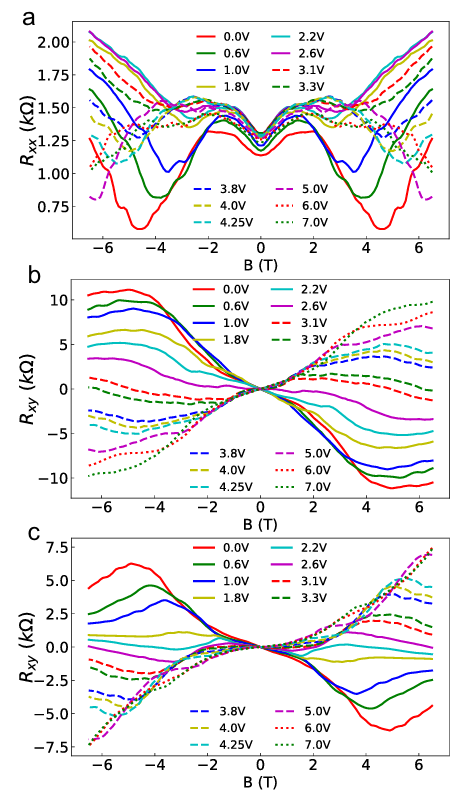
图2 在不同门极电压下,纵向电阻(Rxx)和横向电阻(Rxy)随磁场变化的情况。这些数据揭示了磁近邻效应对石墨烯电子结构的影响,以及自旋极化随门极电压变化的特性。

图3 通过理论模型,展示了磁近邻效应对石墨烯态密度的影响,以及由此产生的自旋极化边缘通道。这些边缘通道的形成是量子霍尔效应(Quantum Hall Effect, QHE)中观察到的非常规现象的原因。

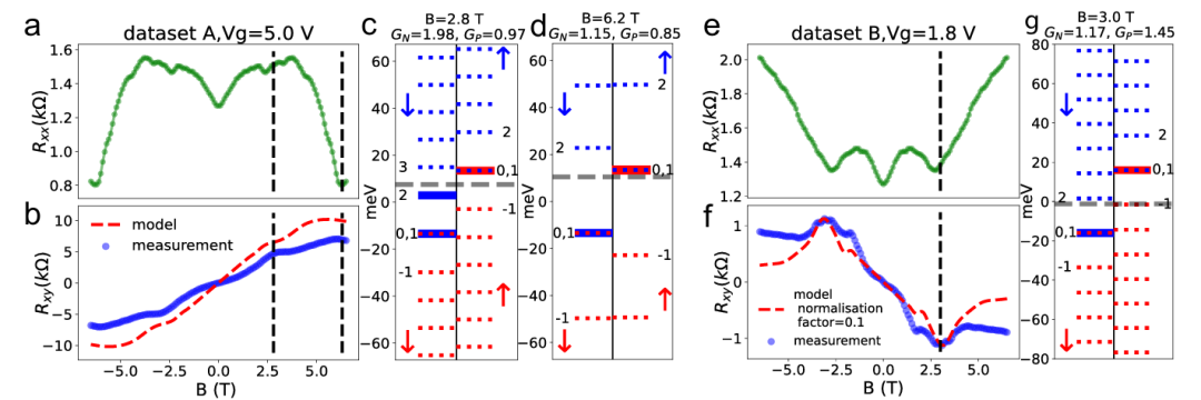
图4 对比了模型预测与输运测量结果,展示了在不同门极电压和磁场下,自旋极化边缘通道的能量级和费米能级的位置关系。

图5 通过实验提取的自旋极化随门极电压变化的情况,以及理论模型与实验数据的对比。

图6 提出了一种基于近邻磁化石墨烯的电控隧道结的概念设计,展示了通过改变门极电压来实现“平行”和“反平行”状态的切换。
小结
这项研究不仅在理论上展示了石墨烯中自旋极化的电场调控可能性,而且在实验上也成功验证了这一现象。通过与CrSBr这种反铁磁材料的接触,石墨烯的自旋极化可以在没有外部磁场的情况下被有效地调控,这对于开发新型自旋电子器件具有重要意义。研究团队的工作为石墨烯在自旋电子学领域的应用打开了新的大门,特别是在实现自旋极化的电场调控方面取得了突破。这一发现不仅有助于推动自旋电子学器件的发展,而且对于理解和利用石墨烯的电子性质也具有重要的科学意义。随着研究的深入,我们有理由相信,石墨烯将在未来的电子器件中扮演更加重要的角色,为信息技术的发展贡献新的力量。
文献:
Yang, B., Bhujel, B., Chica, D.G. et al. Electrostatically controlled spin polarization in Graphene-CrSBr magnetic proximity heterostructures. Nat Commun 15, 4459 (2024). https://doi.org/10.1038/s41467-024-48809-w
本文来自材料研究进展,本文观点不代表石墨烯网立场,转载请联系原作者。
