2024年5月8日,Phys. Rev. Lett.在线发表了德国亚琛工业大学David Tebbe和Lutz Waldecker课题组的研究论文,题目为《Distance Dependence of the Energy Transfer Mechanism in WS2-Graphene Heterostructures》。
在低维体系中,近邻中的材料通过近场相互作用耦合,这可能导致能量从一种材料转移到另一种材料。这种相互作用不仅是生物系统中光驱动过程的核心,包括植物的光合作用,而且在有机发光二极管或蛋白质成像等应用中也得到了利用。此外,它出现在许多人工低维混合体系中,例如量子点、半导体纳米片或石墨烯上的分子体系,以及范德华异质结中,例如过渡金属硫族化合物(TMDs)和石墨烯。因此,为了充分利用这些异质结提供的机会,对能量转移机制的微观理解至关重要。
在此研究中,作者报道了通过六方氮化硼(h-BN)间隔层实现具有不同层间距的二维半导体WS2-石墨烯范德华异质结中的能量转移机制。记录了在0.5 ~ 5.8 nm(0-16 h-BN层)层间距处的光致发光和反射光谱。研究发现,能量转移主要由光锥外的态主导,这表明Förster转移过程,在0.5 nm层间距处的Dexter过程也有额外的贡献。此外,可以使用热化电荷载流子的Förster转移速率值来定量描述测量的发光强度对1 nm以上层间距的依赖性。
在较小的层间距下,实验观察到的转移速率超过了预测,此外,这还取决于过剩能量以及激发密度。由于Förster机制的转移概率取决于电子-空穴对的动量,在这些距离上的转移是由非驰豫的电荷载流子分布驱动的。这项研究结果建立了不同层间距下范德华异质结中能量转移的主要机制,这可以作为开发需要电荷和能量转移的器件基础,如光学探测器或太阳能电池板。

图1 (a) WS2-石墨烯异质结示意图;(b) 具有0-2h-BN间隔层的WS2-石墨烯异质结的光致发光图像;(c) 竞争电子过程示意图

图2 (a) 含有0-2层h-BN作为间隔层的样品三个区域的PL光谱;(b) 反射对比度(RC)光谱;(c) 室温下最小PL和RC线宽随间隔层厚度的变化;(d) 在4 K下从一个样品获得小层间距离下的最小PL线宽

图3 光致发光强度对WS2-石墨烯层间距离的依赖性

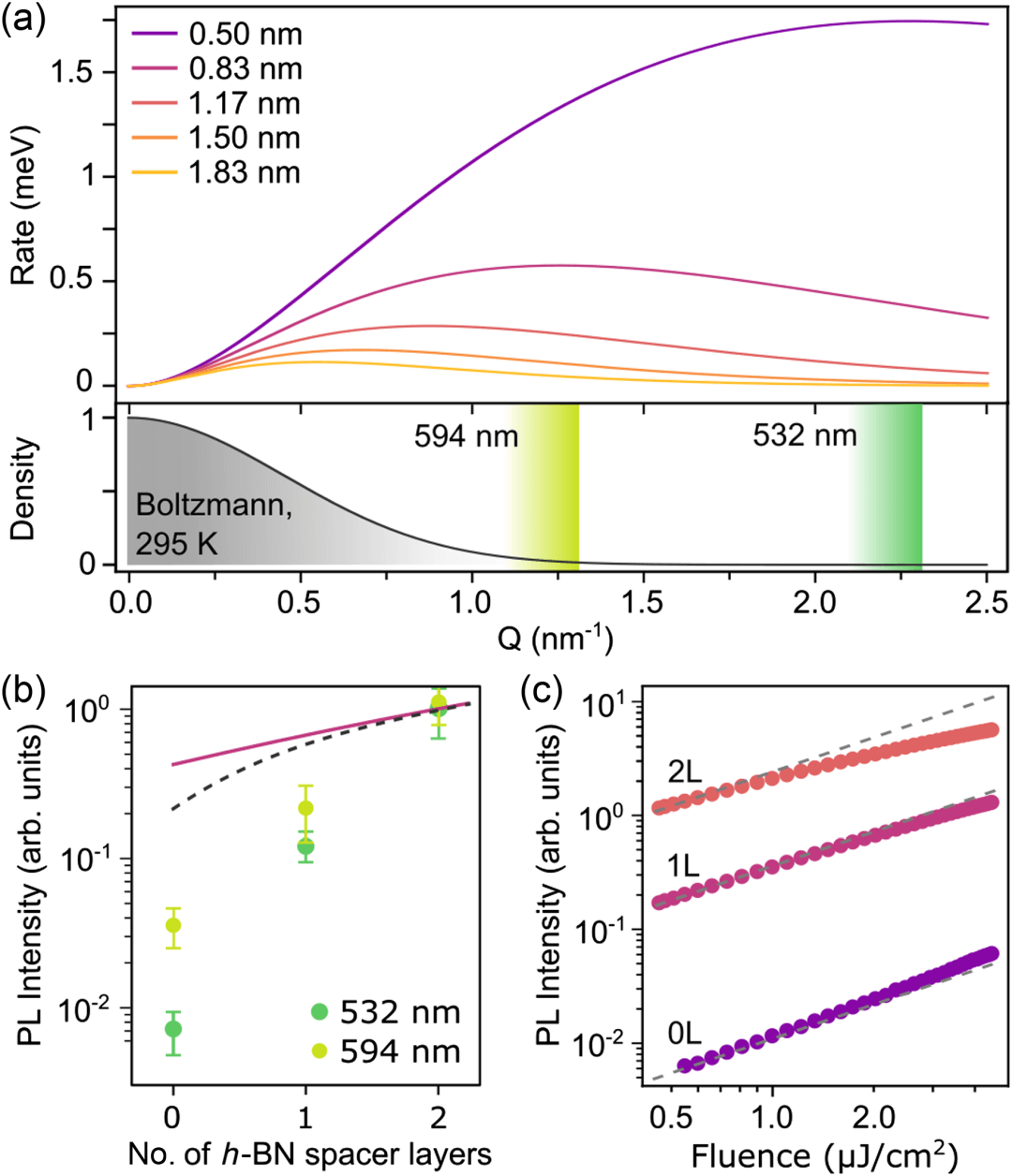
图4 (a) 在不同层间距下,Förster能量转移随动量转移Q变化所计算的展宽;(b) 激发波长为532和594 nm时0-2间隔层区域的光致发光强度;(c) 0-2间隔层PL强度的功率依赖性
论文链接
Tebbe, D., Schütte, M., Watanabe, K. et al. Distance Dependence of the Energy Transfer Mechanism in WS2-Graphene Heterostructures. Phys. Rev. Lett., 2024, 132, 196902. https://doi.org/10.1103/PhysRevLett.132.196902
其他相关文献
[1] Georgiou, T., Jalil, R., Belle, B. et al. Vertical field-effect transistor based on graphene–WS2 heterostructures for flexible and transparent electronics. Nat. Nanotechnol., 2013, 8, 100–103. https://doi.org/10.1038/nnano.2012.224
[2] He, J., Kumar, N., Bellus, M. et al. Electron transfer and coupling in graphene–tungsten disulfide van der Waals heterostructures. Nat. Commun., 2014, 5, 5622. https://doi.org/10.1038/ncomms6622
[3] Wei, K., Sui, Y., Xu, Z. et al. Acoustic phonon recycling for photocarrier generation in graphene-WS2 heterostructures. Nat. Commun., 2020, 11, 3876. https://doi.org/10.1038/s41467-020-17728-x
[4] Trovatello, C., Piccinini, G., Forti, S. et al. Ultrafast hot carrier transfer in WS2/graphene large area heterostructures. npj 2D Mater. Appl., 2022, 6, 24. https://doi.org/10.1038/s41699-022-00299-4
[5] Tebbe, D., Schütte, M., Watanabe, K. et al. Tailoring the dielectric screening in WS2–graphene heterostructures. npj 2D Mater. Appl., 2023, 7, 29. https://doi.org/10.1038/s41699-023-00394-0
[6] Dong, S., Beaulieu, S., Selig, M. et al. Observation of ultrafast interfacial Meitner-Auger energy transfer in a Van der Waals heterostructure. Nat. Commun., 2023, 14, 5057. https://doi.org/10.1038/s41467-023-40815-8
本文来自科研任我行,本文观点不代表石墨烯网立场,转载请联系原作者。
