论文信息:Shuang Li, Xinke Zhang, Jiaye Su. Surface charge density governs the ionic current rectification direction in asymmetric graphene oxide channels. Phys. Chem. Chem. Phys., 2023, 25, 7477–7486.
论文链接:https://doi.org/10.1039/d2cp05137k
研究背景
纳米通道中离子的传输因其对一些新型纳米流体装置的设计具有重要意义而得到了广泛的探索,例如离子二极管、离子电路、能量收集装置和人工分离膜。纳米通道的几何特性和电化学特性通过改变双电层 (EDL) 的厚度来调节离子选择性传输。值得注意的是,不仅入口和出口处的 EDL 有助于离子传输,通道内部的 EDL 对离子分布也有明显影响。通道表面粗糙度的差异导致离子和水分子对驱动力的反应具有不同的动力学行为。值得注意的是,由于对水合离子的空间限制,电中性不对称通道中的离子也会经历独特的整流现象。这种不对称性会产生各种电动现象,如离子电流整流(ICR)、电渗流整流(EFR)、离子浓度极化。
当在浸入盐溶液中的不对称纳米通道的末端施加电压时,会出现ICR现象,并且整流后的纳米流体膜具有广泛的应用。改变施加电压的方向将导致离子和水的不同动态行为。在正偏置电压下,由于来自尖端的极端几何约束和带负电的不对称纳米通道中残留物的静电排斥,阴离子很难进入通道,最终这种阴离子消耗行为导致阳离子选择性通道,而电流的主要贡献者是阳离子。在负偏置电压下,阴离子和阳离子都在通道中富集,以获得高的电流与电压之比(I–V),这使得从尖端到基底的优先电流方向。
除了驱动力方向外,表面电荷密度和通道几何约束也对离子输运产生了深刻影响。在带电的不对称通道中,入口的反离子可以被残留物静电拖动,这使其很容易克服入口能垒,但是通道壁对离子的连续静电吸附降低了传输效率,因此优先电流方向受到表面电荷密度的影响。开口尺寸与离子相当的不对称通道中的EDL显著决定了离子传输,如离子脱水和ICP,导致在相反驱动力下的ICR现象;另一方面,当通道开口尺寸远大于离子尺寸时,EDL的影响几乎可以忽略不计,导致整流现象消失。
研究内容
图1显示了系统示意图,其中用COO–修饰的两片石墨烯片以特定角度放置,形成带负电荷的不对称氧化石墨烯通道。该通道由xy平面上的两个平行石墨烯片组成,并连接两个储池。

图1 仿真系统模型,其中离子可以在电场中沿z方向通过带负电荷的不对称通道。
如图2a所示,正电场(+E)处的Na+通量随着的增加而线性减小,这是由于Na+-残基引力的增强减慢了其运动。同时,增加碱基尺寸D会明显增加Na+进入的概率,从而导致通量的增加。值得注意的是,当D = 4L和6L时,负电场(-E)条件下Na+通量先增大后减小。这种最大行为是合理的,残基的静电吸引有助于Na+克服通道尖端的入口能垒,提高Na+通量,而进一步增加表面电荷密度则阻碍了Na+的输运。随着D从6L到3L的变化,由于EDL的几何约束和有效范围的增强,Na+通量减小。此外,图2b中Cl–的通量与Na+的趋势相似,随表面电荷密度的增大和D的减小而减小。离子选择性也明显依赖于通道尺寸和表面电荷(见ESI),这对设计基于不对称氧化石墨烯通道的新型膜分离装置具有重要意义。
此外,将图中的离子通量与±E方向进行更仔细的比较。图2a和图2b表明,离子通量在-E处要大得多,尤其是对于Cl–。考虑到入射效应和静电相互作用的方面,这一结果是合理的。在+E时,COO–的几何约束和排斥作用阻止Cl-进入尖端,这最终导致通道内的Cl–流量较小,盐浓度较低。相反,由于较大的碱入口,在E的驱动下,Cl–在通道内大大富集,导致高Cl–通量。特别地,由于尖端附近的EDL促进反离子传输,Na+通量在-E处也更大。
如图2c所示,Na+整流比RNa+表现出有趣的最大行为,峰值位于σ = 0.53 -e nm-2,与-E中Na+通量的最大行为一致。图2d中的Cl–整流比RCl–与Na+大致相似,但由于-E中Cl–通量更大,RCl–的值要大得多。在图2e中,我们显示了在±E下离子电流作为σ的函数。与离子通量行为类似,离子电流随σ的增加而减小,这也取决于通道的大小。在-E处获得更高的离子电流,因为通道内离子的富集对应于更高的电导率。图2f中的ICR比在σ = 0.53 -e nm-2处也有最大值,与离子整流相似,这是由于离子通量和离子电流的相关性。正如预期的那样,ICR的比随着D的减小而增加,因为更窄的通道放大了EDL对离子电流的影响。

图2 在±E条件下,对于不同的D,(a)Na+和(b)Cl–的通量作为表面电荷密度σ的函数。(c)Na+和(d)Cl–作为σ的函数的整流,R由E和+E处的通量比定义。(e)±E下的离子电流和(f)不同D的ICR比作为σ的函数。
平均离子浓度的轴向分布如图3所示。由于残留物的吸引,图3a中的Na+浓度在+E处的COO–位置显示出五个不同的峰。当接近尖端时,峰值高度大大增加,因为通道的逐渐收缩会在尖端附近积聚离子。此外,由于Na+的吸附增强,Na+的浓度随着σ的增加而增加,尤其是在尖端附近。类似地,Na+的浓度在图3b中的-E处导致五个主峰,但其值明显更大,除了靠近尖端的那个。图3c和d中的Cl–浓度分布与Na+的浓度分布完全不同。在+E时,由于通道尖端的强空间排斥,Cl–很难进入通道,导致浓度极低。同时,通道内的Cl–将迅速从碱中逸出,如图3c所示,Cl–在+E处的易位时间极短,这也导致Cl–的耗尽。从图3d可以看出,在-E处存在一些Cl–浓度峰值的高值,这些峰也随着σ的增加而显著增加。因此,离子在-E处通道内富集,而在+E处通道内耗尽。

图3 (a)+E处的Na+,(b)–E处的Na+,(c)+E时的Cl–和(d)-E处的Cl–的浓度分布作为沿z轴位置的函数。
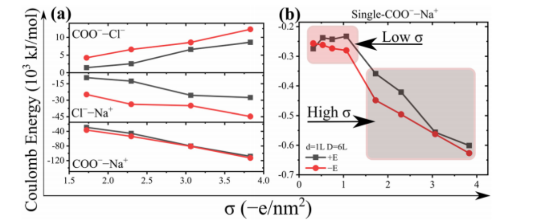
如图4a所示,高σ时,COO–-Na +库仑相互作用能随σ几乎呈线性增加,由于Na+占位(ESI)较大,-E的值略大。Cl–-Na+库仑能也随σ的增大而增大,在-E处的值约为+E处的2倍,这主要是由于Cl–在-E处占据较大(ESI)。此外,Cl–在-E的占位越大,COO–-Cl–的库仑排斥能也越大。值得注意的是,在σ的所有范围内,-E的离子占位总是较大的;然而,对于高σ,COO–-Na+和Cl–-Na+的强相互作用-明显减缓离子运动,导致-E处的离子通量较小,随后发生整流逆转。图4b中展示了单个COO–与通道内所有Na+的相互作用。可以看出,单COO–-Na+库仑能在低σ时波动较小,但随着σ的进一步增加而迅速增加。

图4 (a) COO–-Na+、Cl–-Na+、COO–-Cl–和(b)单COO–-Na+在±E下在d = 1L和d = 6L通道中的库仑能随表面电荷密度σ的变化规律。
总结与展望
利用分子动力学模拟,这篇文章研究了离子在外加电场作用下通过带负电荷的不对称氧化石墨烯通道的输运。特别有趣的是,当改变表面电荷密度时,观察到ICR的逆转。在低σ时,由于静电屏蔽效应增强导致通道内离子富集,使得-E的离子通量大于+ E,导致-E方向的整流。此外,离子整流对阳离子和阴离子都表现出最大值行为,但阴离子的值明显更大,因为它的水合壳更大,约束更强。对于高σ,离子富集也发生在-E上,但增强的离子残余引力会减慢离子运动,从而导致较小的离子电流,此结果导致+E方向整流。总体而言,低σ时,静电屏蔽主导离子输运,而高σ时强残留引力形成的离子团块阻碍通道。这些发现为新型纳米流体器件和整流方向可调离子二极管的设计提供了前景。
本文来自微纳流控,本文观点不代表石墨烯网立场,转载请联系原作者。
