石墨烯是有史以来最好的热导体吗?普渡大学研究人员基于四声子散射研究提出质疑
西拉法叶,印第安纳 —— 石墨烯是一种由单层碳原子组成的材料,被许多人誉为材料科学的 “下一件大事”。但普渡大学的研究人员发现,石墨烯的热学特性可能并不像人们之前想象的那样具有革命性。
石墨烯是一种由单层碳原子组成的材料,被许多人誉为材料科学领域的 “下一件大事”。但它的热学特性可能并不像之前想象的那样具有革命性。(图片来源:Jynto/维基共享资源)
普渡大学机械工程系阮修林教授说:“石墨烯是人类创造的第一种二维材料。它只有一层碳原子厚。其2004 年首次被发现,2010 年获得诺贝尔物理学奖。因其独特的性质,从那时起许多科学家就开始研究这一材料。”
例如,许多研究指出石墨烯的导电性能比已知的其他任何材料都要好,其力学性能也十分优异。传热科学家们也很快授予它最佳热导体的称号。
阮教授实验室 [1] 的博士生韩哲睿说:“过去人们认为热导率最高的材料是金刚石—热导率高意味着能更快传递更多热量。但当石墨烯问世以后,研究显示它比金刚石好得多。”
热导率是以瓦特每米每开尔文为单位来衡量的。按照这个标准,金刚石(或钻石)的热导率一般被认为有大约 2000。但当科学家们开始测量石墨烯的热导率时,早期的估计值高过 5000。这显然引起了阮修林和其他传热学家的兴趣。
“然而,之后的测量结果和理论模型逐渐修正了石墨烯的热导率。”阮修林说:“近期的论文将这一数值降低到了大约3000;这仍然比金刚石显著要好。但最近,我们发现了一些完全不同的结果。”
阮修林研究团队经过测算,得到石墨烯在室温下的热导率为 1,300 W/(m K)—这不仅低于金刚石,还低于石墨烯的母体原料,石墨。
他们的这一理论研究因其时效性和可能的重要性,最近以快报形式(Letter)发表在《Physical Review B》上 [2]。
他们的这些结果与之前结果之间的差异可归结为一种叫做四声子散射的现象。声子是热物理学者在量子力学层面描述热量如何在固体介质中传递的概念。半个多世纪以来,研究人员只理解了三声子散射,并通过其模型来预测热导率。但在2016年,阮修林和当时他的博士生冯天力(现为犹他大学助理教授)首次成功建立了四声子散射的一般理论 [3];一年之后他们和合作者进一步在第一性原理层面量化了四声子散射对热导的影响 [4]。这些贡献使得阮修林和冯天力在2023年获得了国际声子学会的最高荣誉:布里渊奖 [5]。
那么,四声子散射与石墨烯有什么关系呢?韩哲睿说:“石墨烯是一种二维材料,人们认为三声子散射会受到这种二维性的限制,这在理论上使得石墨烯的热传导性比三维体材料要强得多。但当我们考虑四声子散射后,我们发现它不受石墨烯二维特性的限制。事实上,四声子散射相当强, 强过了三声子散射而成为最主要的声子散射机制——这一结果非同寻常。”
他们研究过程中的一大困难是可用的超级计算资源。计算这种四声子散射需要并行计算策略,即利用一个具有1TB内存的计算集群。这一任务是在普渡大学的Rosen Center for Advanced Computing [6]完成的。
目前,这项工作还是理论预测。研究小组正与德克萨斯奥斯汀大学的石立教授 [7] 合作,在他们的NSF合作项目的资助下,通过实验检验计算结果。以前的文献中实验测量的不确定度非常大,这个需要大大降低才能检验最新理论。他们还计划研究多层石墨烯的导热性质,而不仅仅是单层。
阮修林说:“由于还没有准确的实验验证,我们知道很多人会对这一非主流的理论结果持怀疑态度。2017年,当我们预测出砷化硼(BAs)[8] 的类似性质时也面临着同样的质疑。令人高兴的是,砷化硼的理论预言在一年之后即被三组独立的重要实验所证实。自那以来,四声子散射理论被越来越多的实验证据所支持,我们希望这一次它对于石墨烯也能成立。我们已经把计算软件开源,让其他科学家可以验证我们的发现。”
韩哲睿在GitHub上发布了他的四声子热导率求解器FourPhonon [9],并发表了一篇介绍该软件使用方法的论文 [10]。欢迎传热学科学家使用该软件开展类似研究。
“石墨烯是第一个合成的二维材料,很多人都认为它像魔法一样神奇,” 韩哲睿说:“人们认为石墨烯在热学、力学、光学、电学等诸多方面具有卓越的特性。作为热学研究人员,我们的工作就是确定这部分是否属实。石墨烯仍然是一种良好的热导体,但我们的工作预测它并不比金刚石更好。”
“我常说,科学是通过发现例外而推进的。”阮修林说:“我们对自己的最新与主流理论相左的结果持谨慎乐观的态度。有了四声子散射理论,我们希望将来能对材料的传热性质进行广泛而精确的理论评估。”
- 撰稿人:Jared Pike, jaredpike@purdue.edu, (+1)765-496-0374
- 资料来源:Xiulin Ruan, ruan@purdue.edu
- 这项研究得到了美国国家科学基金会(Grants No. 2015946 and No. 2321301)的支持
文中链接:
[1] https://engineering.purdue.edu/NANOENERGY/
[2] https://journals.aps.org/prb/abstract/10.1103/PhysRevB.108.L121412
[3] https://journals.aps.org/prb/abstract/10.1103/PhysRevB.93.045202
[4] https://www.purdue.edu/newsroom/releases/2017/Q4/researchers-solve-four-phonon-thermal-conductivity-obstacle-key-to-tech-applications.html
[5] https://engineering.purdue.edu/ME/News/2023/xiulin-ruan-receives-the-2023-brillouin-medal-for-fourphonon-scattering
[6] https://www.rcac.purdue.edu
[7] https://www.me.utexas.edu/people/faculty-directory/shi
[8] https://journals.aps.org/prb/abstract/10.1103/PhysRevB.96.161201
[9] https://github.com/FourPhonon
[10] https://www.sciencedirect.com/science/article/abs/pii/S0010465521002915
(以下为论文详细信息供专家读者参考)
Thermal conductivity of monolayer graphene: Convergent and lower than diamond
作者:Zherui Han(韩哲睿), Xiulin Ruan(阮修林)
单位:美国普渡大学
DOI:10.1103/PhysRevB.108.L121412
主要学术观点
单层石墨烯被普遍认为具有超高热导率,其二维特性也引起关于热导率是否随尺寸发散的讨论。我们考虑四声子散射、声子重整化和玻尔兹曼输运方程迭代解,通过第一性原理的计算表明石墨烯热导率随尺寸收敛(>10 microns)且在室温下为1300 W/(m K);这一数值低于金刚石也低于体块的石墨。只考虑三声子的热导率在有限的网格密度下未见收敛,我们认为这一现象主要来源于弯曲声子(flexural phonons)ZA模式的正规散射过程(normal process)。
石墨烯的声子自能
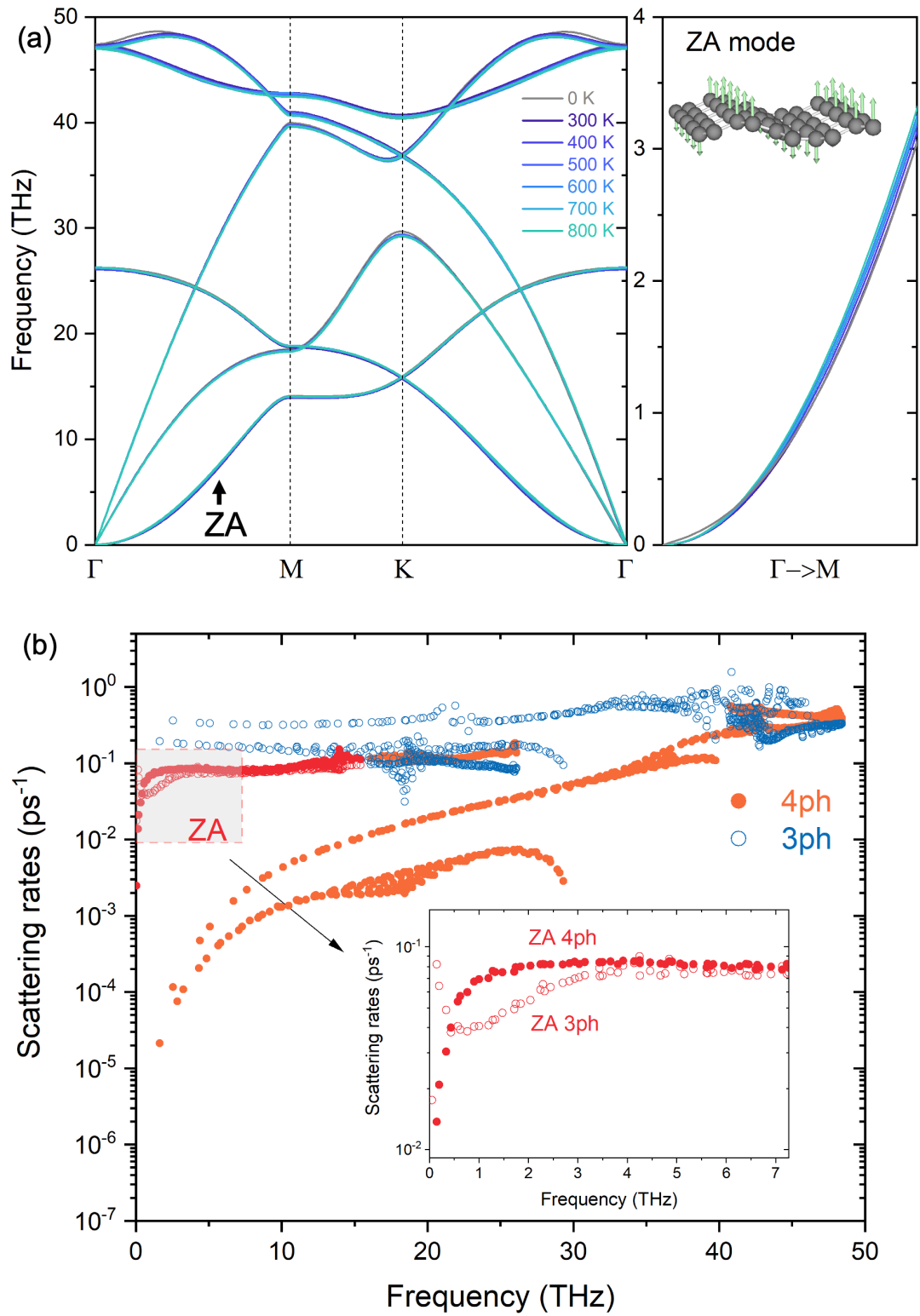
计算得到的依赖于温度的色散关系表明了石墨烯的高刚度。面内光学支随温度升高而红移,但ZA和ZO声子模式的频率随温度在升高。同时,光学支声子和ZA声子也具有很高的四声子散射率。对于光学支,高散射率可以由它们的色散关系理解:四声子过程容易满足能量守恒条件。对于ZA声子模式,既往的研究表明二维体系有选择定则 [1,2]:只有包含偶数个ZA声子的散射过程才能发生。因此,ZA模式的三声子相空间被大大约束,但大量四声子过程可以发生 [3]。

石墨烯中的声子自能:(a)色散关系的温度依赖性;(b)室温下散射率。小图为ZA声子散射率。
热导率的收敛
对热导率的计算考虑了玻尔兹曼输运方程的迭代解。我们得到了随网格密度收敛的曲线和热导率,这说明考虑四声子散射的情况下,无限大的石墨烯体系应具有有限的热导率(1300 W/(m K));如果只考虑三声子,得到的结果在有限网格下仍未见收敛。若考虑边界散射,得到的随尺寸变化的热导率也表明,石墨烯体系在约10 microns时逐渐趋近本征数值,而三声子图景下热导率已经高于3000 W/(m K)而仍未见收敛。分析具体的散射过程,我们发现对于ZA声子,三声子几乎由正规散射过程主导,而四声子有着相当一部分是倒逆过程(Umklapp)。这造成在长波ZA声子中,只考虑三声子会出现奇点,热导随着网格密度加大而发散。

室温下石墨烯热导率的收敛:(a)随网格密度的收敛;(b)尺寸相关的热导率数值。

(a)按频率贡献的热导;(b)按模态贡献的热导。
上图进一步说明了三声子长波声子的奇点问题。与此同时,ZA声子对热导率的贡献仍然占主要,达到70%之多:ZA声子作为面外振动仍然是石墨烯中的主要热载体。这一支振动模态也是理想二维体系和实际二维材料的重要区分:在理想的二维非谐振子模型中,原子的运动是二维的,无三维离面振动。
与金刚石和石墨的对比

(a)与金刚石的对比;(b)与石墨的对比。
我们的计算结果表明,石墨烯的热导率显著低于金刚石。金刚石的热输运有着比较完整的理论和实验验证,其中过去的理论计算已经说明金刚石四声子散射率很低 [3,4]。当将计算结果与石墨的实验对比时,我们发现单层石墨烯的热导率也低于块体石墨,这与当前很多领域的主流认知不同。值得注意的是,石墨的实验误差相对较小,而石墨烯目前还没有足够精确的实验测量。一个可能的解释是,在多层材料中,四声子的相空间比单层要小,导致散射不强。未来需要理论和实验共同对这些问题进行进一步探索。
参考文献
本文: Z. Han and X. Ruan, Phys. Rev. B 108, L121412 (2023).
[1] L. Lindsay, D. A. Broido, and N. Mingo, Phys Rev B 82, 115427 (2010).
[2] L. Lindsay et al., Phys Rev B 89, 155426 (2014).
[3] T. Feng and X. Ruan, Phys Rev B 97, 045202 (2018).
[4] N. K. Ravichandran and D. Broido, Phys Rev B 98, 085205 (2018).
[5] X. Gu et al., Phys Rev B 100, 064306 (2019).
[6] Z. Han et al., Phys Rev Lett 128, 045901 (2022).
*Cover graphic was created with the aid of Microsoft Designer.
本文来自微纳尺度传热,本文观点不代表石墨烯网立场,转载请联系原作者。
