
介绍
当今科学技术领域的许多挑战都可以通过利用具有卓越性能的新型材料来应对。阻尼能力、强度和韧性以及极低的密度是许多行业至关重要的材料特性。由多种成分材料制造的复合材料的开发引起了人们的极大兴趣,因为它允许预测设计具有可调特性的新颖工程产品。
Graphene Composites Ltd (GC) 长期以来相信,将世界上最坚固的材料之一石墨烯与世界上最轻的材料之一气凝胶结合在一起,可以产生一种具有极高弹性的复合结构——事实上,弹性如此之大,以至于这种组合形成了这是GC获得专利的防弹保护产品(例如GC Patrol Shield®)的基础。
自2016年以来,GC继续开发其复合材料技术,以探索其弹道性能之外的结构复合材料和减振等领域,但仍使用防弹盾技术中使用的材料。GC系列防弹产品由三种主要材料组成,每种材料的不同部署表明产品形式的变化。下面讨论了使GC弹道材料如此独特的主要物理成分和参数。
材料特性
气凝胶组件:我们的防弹产品中使用的气凝胶具有极其明确的机械、电气、热和声学特性。这是GC在其弹道产品中利用的声学特性。所使用的聚酰亚胺气凝胶具有极其良好的声音传输损耗特性(以分贝/厘米计),即它能够吸收宽范围频率(0-> 3000赫兹)。与橡胶这种将振动能量转化为热量的典型减振材料不同,气凝胶材料通过聚酰亚胺组件的3D晶格结构的运动来吸收振动能量。
下面的图 1(a) 显示了气凝胶的典型开孔结构,该结构在纳米尺度上变形以吸收能量。



图1(a)气凝胶结构(10k放大倍数);(b) 理想的拉胀细胞[5];(c) 不规则多边形中的凹角和凹角[6]
在纳米尺度上,气凝胶在高能(弹道)事件中充当零泊松比或略为负泊松比的材料。具有强负泊松比的材料被称为“拉胀材料”[1,2],具有接近零泊松比的材料被称为“厌氧材料”[3]。这些多孔材料具有独特的功能特性,例如增强机械能的吸收,使设计自由度超出固体材料的能力[4]。这些材料在受到压力时体积不会减小,非膨胀材料保持其体积,拉胀材料体积增加。图 1(b) 和 1(c) 显示了开孔拉胀材料的理论结构,当受到应变时,会导致体积增加而不是拉伸和减少。
所用气凝胶的消胀或拉胀性质是在其制造过程中引入的。气凝胶形成过程中引入的压缩使气凝胶泡沫结构发生转变 (5)。这种消胀或拉胀性质允许在使用过程中更好地吸收低能量、低频振动能量,以及在弹道事件过程中直接施加阻力。
石墨烯成分:虽然石墨烯被认为是人类已知的最坚固的材料之一,但该材料在防弹材料包中具有不同的用途。GC进行功能化过程,使石墨烯能够化学键合到用于涂覆气凝胶的聚氨酯链上。这种键合导致石墨烯颗粒键合在多个聚合物链(具有结晶相)上,这导致聚合物链在弹道事件期间延伸的能力受到严重限制。这种流动性限制导致聚氨酯发生流变变化,导致柔软的柔性层变硬并反射回一些能量。GC将这种现象称为“高超声速剪切增厚”。超高速视频已被用来验证这种高超声速反射的存在。
其次,一种称为声学声子散射的现象会增加系统中的能量减少。这种现象最好用图表来解释。图2显示,当声波前呈现出聚氨酯基质(在本例中为石墨烯颗粒)中的异质性时,会出现与达到的每个异质性相关的声子散射事件。尽管这种散射对于任何给定的石墨烯颗粒来说都是微不足道的,但数十亿颗粒上的现象是波前强度的显着降低。

图2 声学声子散射机理
UHMWPE:GC与学术和工业合作伙伴合作,根据其防弹产品系列(UHMWPE/气凝胶)中使用的成分以及传统碳纤维/nomex(一种常见的复合材料)生产并测试了多种复合材料层压组合),以便能够观察各个损失函数之间的比较。复合材料的损失函数是材料吸收振动能力的量度。
激光多普勒测振法 (LDV) 用于通过实验确定各种测试材料的损失函数。该技术利用电动振动台在样品中心激发振动,并使用样品末端的激光多普勒振动计测量其位移响应[7,8]。图 3 说明了其设置。


图3 激光多普勒测振;设置和样品安装组件 [9]
然后根据复合材料的杨氏模量 [7,8] 绘制各种材料测量的损耗系数η(Eta)。杨氏模量数据要么通过直接测量获得,要么作为从材料供应商获得的数据。材料的损耗因子(η,Eta)定义为每个周期耗散的能量与存储的最大应变能的比率。材料的损耗因子与结构的几何参数无关,仅取决于材料。
图4显示了阿什比图,显示了损失系数与杨氏模量的关系。使用阿什比图比较构造为层压结构的屏蔽材料,我们可以看到材料不符合预期关系(平均值为虚线)。阿什比图由剑桥大学的迈克尔·阿什比教授开发,是一种显示许多材料或材料类别的两个或多个属性的散点图。这些图对于比较不同属性之间的比率非常有用。
使用该图比较构造为层压结构的屏蔽材料,我们可以看到材料不符合预期关系(平均值为虚线)。使用层压形式的屏蔽材料,所得复合结构已显示出铝合金的强度,同时具有弹性体(例如聚氨酯)的损耗系数(吸收振动的能力)。

图 4 Ashby图显示了与GC数据重叠的杨氏模量的损失函数 [7,8]
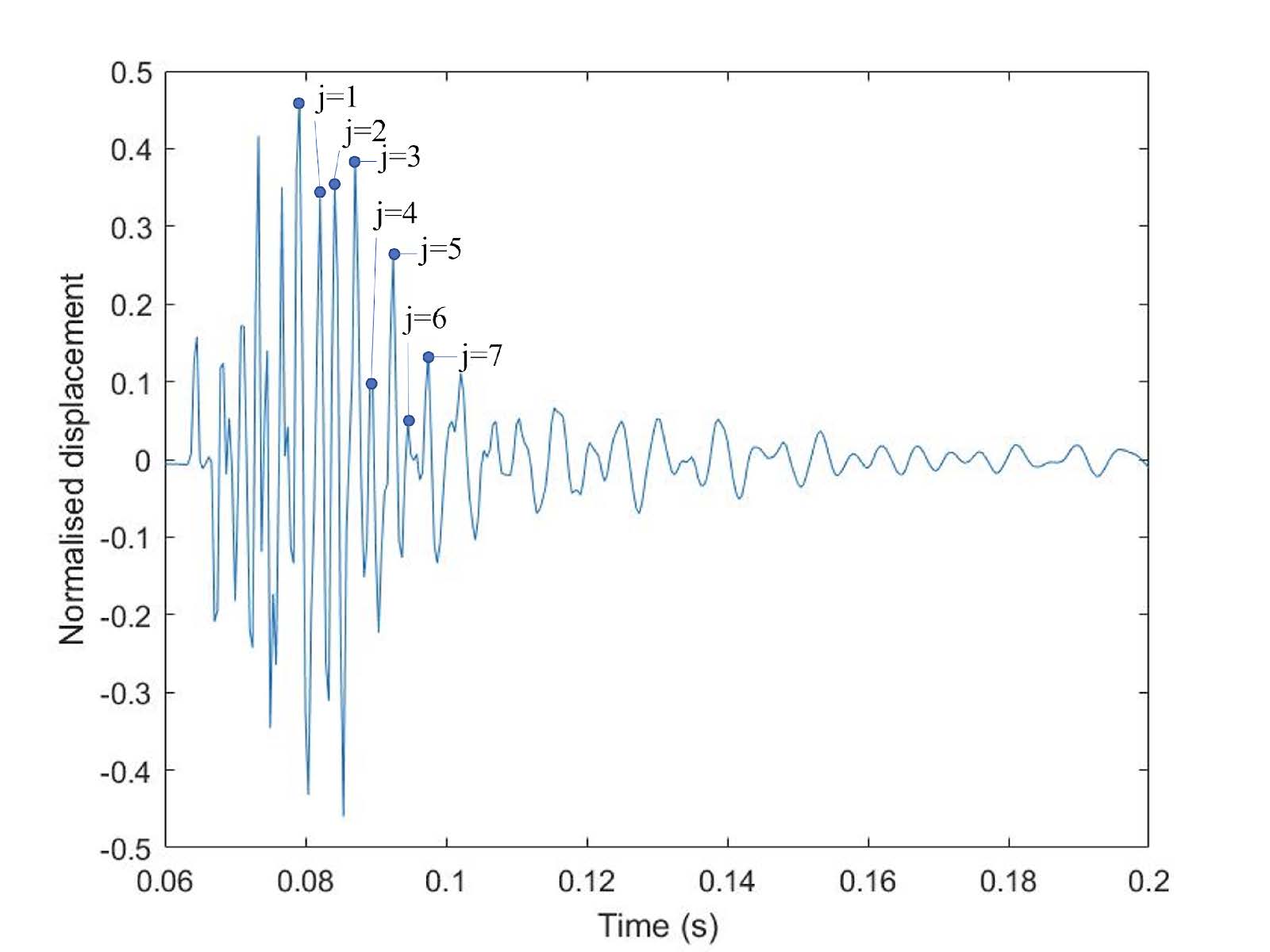
对LDV设置进行修改后 [9],使用突发激励技术对弹道材料进行了进一步分析,以评估样品的阻尼行为。图5显示了典型的突发位移图,其中峰值被注释为用于查找阻尼比ze的值。显示了用于计算阻尼比的峰值j1-j7。图5中的右侧图显示了LDV技术生成的数据的一致性,其中三个样本叠加。
该技术用于分析UHMWPE层内使用的边缘约束。使用LDV技术评估两个关键变量:1) 夹紧压力机,2) 分层技术(切割或折叠样品)。


图 5 系统对突发激励振荡的典型响应 [9]
图6显示了与这些测试相关的数据。[9] 所示的所有三个参数都有明显的区别,增加制造过程中使用的压力会增加阻尼比和损耗因子,并降低Q因子。这与较高制造压力下更大的能量耗散相关。
测试还表明,水射流切割样品和折叠样品之间的阻尼比存在显着差异,折叠样品比切割样品耗散能量更快。

图 6 切割 (c) 和折叠 (f) 边缘约束的阻尼比、Q 因子和损耗因子数据 [8]
概括
凭借使用标准加工设备加工这些材料的附加能力,正在开发的新GC系列复合材料结构可能是解决您当前材料工程问题的下一个解决方案。这里讨论的结果只是GC新产品开发阶段产生的测试数据的一小部分。我们的开发计划的测试计划表明了我们对了解当前产品以及培育和开发新的创新解决方案的长期承诺。
尽管这项工作仍处于早期阶段(TRL 2-3),但如果您认为您当前或新的产品系列可以受益于这项技术,请随时与我们联系,我们很乐意与您合作利用该专利技术开发新产品。
参考
- Evans, K.E.; Nkansah, M.A.; Hutchinson, I.J.; Rogers, S.C. Molecular network design. Nature 1991, 353, 124.
- Kelkar, Parth & Kim, Hyun & Cho, Kyung-Hoon & Kwak, Joon Young & Kang, Chong-Yun & Song, Hyun-Cheol. (2020). Cellular Auxetic Structures for Mechanical Metamaterials: A Review. Sensors. 20. 3132. 10.3390/s20113132.
- Dagdelen, J.; Montoya, J.; deJong, M.; Persson, K. Computational prediction of new auxetic materials. Nat. Commun. 2017, 8, 323.
- Gibson,L.J.;Ashby,M.F.CellularSolids:Structure&Properties;PergamonPress:Oxford,UK,1989;p p.165–166. ISBN0-08-036607-4.
- Friis, E.A.; Lakes, R.S.; Park, J.B. Negative Poisson’s ratio polymeric and metallic foams. J. Mater. Sci. 1988, 23, 4406–4414.
- Hearn, E.J. Introduction to the finite element method. Mech. Mater. 1997, 2, 300–380
- Harland, C., Vibration Analysis of Advanced Composites, University of Durham, B.ENG ENGINEERING PROJECT, APRIL 2022
- Davis, J., Creation of non-vibrating composites, analysis and processing of vibrational test data, University of Durham, M.ENG ENGINEERING PROJECT, APRIL 2022
- Flanders, C.M., The Effects of Manufacturing Technique onDamping Capabilities of Ballistic Armour Panels, University of Durham, M.ENG ENGINEERING PROJECT, APRIL 2023
作者:Graphene Composited Ltd首席技术官Stephen Devine博士
本文来自Graphene Composites Ltd,本文观点不代表石墨烯网立场,转载请联系原作者。
